Aller au contenu

Messages recommandés

Posté (modifié)
Tous les développements partent d'équation d'Einstein dans le vide, notamment

http://hal.inria.fr/docs/00/62/48/16/PDF/FredericVincentPhD.pdf

Je pencherais donc pour la seconde solution...

Il semblerait bien, en toute humilité, que j 'ai dit une ânerie...:be:

 

Dans l'ouvrage de chandrasekar "The mathematical Theory of Black Holes" p66, il décrit le fait d'intégrer un mouvement de rotation dans le tenseur énergie-impulsion (TEI) ce qui lui permet, par des considérations de symétrie, d'en déduire la forme générale de la métrique.

 

Puis, plus loin, il l'applique au cas du trou noir chargé en symétrie axisymétique pour obtenir la métrique de Reissner-Nordström, et là, l'énergie électromagnétique vient bien alimenter le TEI dans l'équation d'Einstein (qui lui permet d'obtenir la métrique spécifique).

 

Ensuite, il généralise le raisonnement pour aboutir à la métrique de Kerr où il conclue au terme complémentaire correspondant au "dragging of the inertial frame...interpreted as the angular momentum per unit mass of black hole" (p289).

 

Donc, si j'interprète correctement, c'est bien l'énergie de rotation qui déforme l'espace temps.

Modifié par Poussin38
Posté

oui c'est qui me semble aussi.

L'espace-temps est modifié par l'inertie créée par le mouvement, donc l'énergie développée par le mouvement...

enfin d'après ce que j'ai compris :)

Posté (modifié)
oui c'est qui me semble aussi.

L'espace-temps est modifié par l'inertie créée par le mouvement, donc l'énergie développée par le mouvement...

enfin d'après ce que j'ai compris :)

 

Pour pinailler je le dirais différemment : l'espace temps est modifié par l'énergie du mouvement :)

 

Juste pour pinailler hein :be:

Modifié par Poussin38
Posté
D'où la dite ergosphère d'un trou noir : on est avant l'horizon, on peut en sortir mais il est impossible de rester immobile par rapport à des étoiles à l'infini parce qu'il faudrait aller plus vite que la lumière pour cela.
Juste pour pinailler, c'est ergorégion, la région se trouvant entre l'horizon et et l'ergosphère où un observateur ne peut se trouver au repos par rapport à un observateur à l'infini.
Posté

Juste pour pinailler, si tu tapes "ergosphère" dans un moteur de recherche, tu tombes sur des définitions qui disent "ergosphère, ou ergorégion"...

 

La différence que tu cites est plus le fait des anglophones que des francophones apparemment.

Posté

Pinailles si tu veux, mais si on remonte aux origines grecques :

 

- sphère : c'est bien une frontière bidimensionnelle, donc tu peux dire entre l'ergosphère et l'horizon des événements

- région : c'est un volume

 

L'ergosphère délimite l'ergorégion.

Tu peux dire dans l'ergosphère.

Posté (modifié)

A ce rythme vous n'avez pas fini : l'ergosphère n'est pas une sphère :D

 

Et dans l'espace temps de Schwarzshild, il n'y a pas d'ergorégion :be:

Modifié par Poussin38
Posté

Je suis désolé pascal_meheut d'avoir ramené le débat au niveau des paquerettes. Je te prie de m'excuser.

La question posée est intéressante, pourquoi l'horizon des événements diminue quand le trou noir se met à tourner ?

Posté

On constate que le coeff gtt (celui qui nous intéresse pour l'horizon des événements puisqu'il va s'y annuler) de la métrique de Kerr diffère significativement de celui de la métrique de Schwarzshild .

 

En creusant un peu, notamment http://www.ensta-paristech.fr/~perez/cours/swcharzchild/swcharzchild/swcharzchild.html on constate que ce coeff gtt est lié a un potentiel énergétique (cf solution du TN chargé) qui s'apparenterait dans le cas de Kerr à une énergie de rotation "allégeant" le potentiel gravitationnel, ce qui expliquerait la diminution de la taille de l'horizon des événements avec la rotation du TN. Je vais poursuivre dans cette voie pour tenter de conclure rigoureusement...

Posté

Heu... excusez-moi de vous d'mander pardon, mais Valentino est venu avec une question, et n'arrête pas de vous dire qu'il ne comprend pas vos réponses.

Et j'avoue que même moi, je ne suis pas vos joutes verbales (bon, c'est 1h du mat' et le vieux bouquin de relat' que j'ai sorti ne traite pas des TN de Kerr... il faudrait que je sorte l'autre, mais je ne sais plus où il est! :p).

 

Bref, j'ai l'impression que ce que Vantentino voudrait savoir, c'est si on peut créer une gravité artificielle en faisant tourner un objet, et si elle augmente lorsque l'objet tourne de plus en plus vite... Vous voyez quoi, le vieux truc de SF... ;)

 

Allez, je retourne bosser un peu... A pluche les cerveaux de WA! :D

Posté (modifié)

Poussin> Ce qui me dérange dans la question, c'est le fait que l'on raisonne en coordonnées ®, et non en distance.

 

On pourrait tenter de calculer la distance à la singularité, mais je crois que les coordonnées de Schwarzschild sont singulières, donc pas forcément significatives. Et même en Kruskal-Szekeres on doit buter sur la singularité.

Ou bien il faudrait calculer le temps propre ? et le comparer au cas de Kerr ?

 

Lasilla> justement l'objet de la discussion sur la position de l'horizon des événements répond à la question de Valentino.

Où est l'horizon des événements pour un corps statique ? Où est cet horizon pour un corps en rotation ?

Modifié par bongibong
Posté

Pour vous oui, et pour moi aussi, vous répondez à sa question.

Mais je crois que vous ne vous rendez pas compte qu'il posait une question appelant une réponse simple, et lui ne se rendait pas compte que sa question simple impliquait une réponse aussi complexe. :)

 

Vous voyez? :)

 

Alors oui, Valentino, plus ton objet va tourner vite et plus tu vas pouvoir créer une gravité artificielle importante, c'est le principe de la centrifugeuse qui sert d'entrainement aux astronautes.

Ce n'est pas une "vraie" gravité, c'est juste une accélération qui apparait quand on applique la relation fondamentale de la dynamique (somme des forces = masse x accélération) et qui provoque la même sensation.

 

Par exemple, dans le film Elysium, c'est assez bien rendu: les gens habitent sur la face interne du vaisseau toroïdal, celle qui est orientée vers l'extérieur.

f3_05_elysium.jpg

elysium_vfx_13_h_2013.jpg

 

Mais peut-être que c'est moi qui interprète mal la question de Valentino :)

Posté

Au post 77 il demande pourtant bien ce que la relativité génère comme changement ;)

 

J'ai bien conscience que la (non) réponse apportée pour l'instant n'est pas limpide mais c'est justement pour lui construire cette réponse qu"on a cette discussion avec bongibong et pascal.

 

D'ailleurs un fil sur futura qui abordait un sujet similaire disait que la réponse n'était formellement posée nulle part à part dans le bouquin de chandrasekhar que je cite (faut que je retrouve la discu).

 

Sinon effectivement la réponse "newtonnienne" que tu apportes est très claire :)

Posté

Il n'y a rien dans le bouquin de Shapiro?

Il me semble pourtant qu'il traite de manière assez exhaustive les TN de Kerr et Kerr-Newman.

Seulement, le livre doit encore être chez mes parents... je ne lis pas (plus) ça tous les soirs! :be:

Posté (modifié)

retrouvé la discussion de futura : http://forums.futura-sciences.com/physique/611059-metrique-de-kerr.html

 

Poussin> Ce qui me dérange dans la question, c'est le fait que l'on raisonne en coordonnées ®, et non en distance.

 

On pourrait tenter de calculer la distance à la singularité, mais je crois que les coordonnées de Schwarzschild sont singulières, donc pas forcément significatives. Et même en Kruskal-Szekeres on doit buter sur la singularité.

Ou bien il faudrait calculer le temps propre ? et le comparer au cas de Kerr ?

 

Pour préciser ma pensée je pense que l'énergétique de la rotation du TN engendre une modification de l'espace temps qui modifie de fait les grandeurs caractéristiques de la situation statique et notamment le rayon de l'horizon des évènements (la relation mouvement = énergie = masse est manifestement imprécise comme le souligne Pascal).

 

En comparant la solution du TN de Schwarzshild obtenu via sa métrique et celle de Kerr on constate que le rayon de l'horizon des évènements du TN de Schwarzschild est lié à la neutralisation des coordonnées temporelles de la métrique (le coeff gtt qui s'annule en r=Rs).

 

Et cf le cours de Gourgoulhon par exemple, le rayon de l'horizon du TN de Kerr s’obtient aussi par l'annulation en r=R* du coeff gtt de la métrique de Kerr.

 

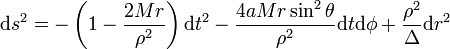
Dès lors il peut être intéressant de voir comment cette métrique de Kerr est construite pour générer dans gtt un terme fonction de r mais de forme complètement différente de celle de la métrique de Schwarzschild :

 

b794f0ff975865f367832ba6858b1090.png

 

au lieu de

 

c0aca33ec3b8437987bcdb4a8190a6ed.png

 

où le terme en 1/r est remplacé par r/rho² .

 

A suivre...:cool:

 

Nb : l'ouvrage de Shapiro cité par Lasilla parle bien (p 360 et suivantes) d'un lagrangien à formulation non triviale avec des termes similaires à rho² mais il part de la métrique de Kerr pour trouver le dit lagrangien, on tourne en rond. :cool:

 

Il nous faudrait l'interprétation du lagrangien direct, "avec les mains", sans passer par la case symétries + choix de jauge + changement de coordonnées qui n'est pas trop explicite sur le plan physique...

 

+8Me3Hv8Bs+gNne1YRCsAAAAASUVORK5CYII=

Modifié par Poussin38
Posté (modifié)

Après avoir creusé un peu le bouquin de Chandrasekahr, il ressort que les calculs des coefficients de la métrique de kerr, de par les caractéristiques spécifiques et différentes des TN en rotation, génèrent bien des termes quadratiques supplémentaires aux termes radiaux "simples" apparaissant dans la métrique de Schwarzschild (calcul des tenseurs de Riemann et Ricci à partir de la page 273 du chapitre 6 dédié à à la métrique de Kerr).

 

Il me semble intéressant de noter que le paramètre a (= paramètre de longueur du TN) intervient en diminution de la masse centrale dans de nombreux calculs, laissant à penser que dans cette métrique (ce qui n'est pas le cas dans celle de Schwarzshild), la rotation à tendance à diminuer l'influence de la masse centrale et in fine, à diminuer de fait la longueur du Rayon de l'horizon des évènements.

 

A noter ce qu'en dit JP Luminet ("les trous noirs" cité chez wiki) pour le TN de Kerr maximal "En langage newtonien, on dirait qu'à la surface d'un trou noir maximal les forces de répulsion centrifuges compensent exactement les forces d'attraction gravitationnelles", qui vient corroborer mon interprétation ci-dessus.

 

Bref en conclusion, la gravitation générée par un objet tournant est bien différente de celle sans rotation, la rotation induisant un entrainement global de l'espace temps dans le même sens que l'objet central (tout corps tombera en chute libre vers l'objet mais suivra une spirale générée par la déformation de l'espace temps et non une chute "droite").

 

:)

Modifié par Poussin38
orthographe et mise en forme
Posté

Sympa. En effet, l'explication de la force centrifuge engendrée par la rotation de l'espace-temps lui même qui compense en partie la gravité du trou noir et donc diminue le rayon de l'horizon me semble convaincante et "compréhensible intuitivement".

 

Merci.

Posté

poussin38> ton explication me plaît bien, tout cas merci d'avoir creusé.

D'ailleurs dans le cours de Gourgoulhon, a doit être inférieur à 1, sinon il parle de singularités nues ? Cette limite permet de borner vitesse angulaire maximale d'un trou noir.

Posté (modifié)

ben l'approfondissement a été un peu un survol quand même, heureusement le père Chandra a relativement détaillé les étapes de calcul sinon on en reste à une approche purementm athématique, estétique peut être mais assez frustrante sur le plan physique.

 

Pour a=1 la vitesse de rotation de l'horizon est celle de la lumière. Au delà, je pense que les phrases pour aborder les solutions (singularité, nue ou pas) sont des termes politiquement corrects pour dire qu'on est largement au delà des convictions étayées par la théorie, sans même bien sur parler de "vérité" :be: avec tout mon humble respect pour toutes ces théories bien sur...

Modifié par Poussin38

Rejoignez la conversation !

Vous pouvez répondre maintenant et vous inscrire plus tard. Si vous avez un compte, connectez-vous pour poster avec votre compte.

Invité
Répondre à ce sujet…

×   Collé en tant que texte enrichi.   Coller en tant que texte brut à la place

  Seulement 75 émoticônes maximum sont autorisées.

×   Votre lien a été automatiquement intégré.   Afficher plutôt comme un lien

×   Votre contenu précédent a été rétabli.   Vider l’éditeur

×   Vous ne pouvez pas directement coller des images. Envoyez-les depuis votre ordinateur ou insérez-les depuis une URL.

  • En ligne récemment   0 membre est en ligne

    • Aucun utilisateur enregistré regarde cette page.
×
×
  • Créer...

Information importante

Nous avons placé des cookies sur votre appareil pour aider à améliorer ce site. Vous pouvez choisir d’ajuster vos paramètres de cookie, sinon nous supposerons que vous êtes d’accord pour continuer.