Aller au contenu

Quoi faire avec la Lune?


Maitre Rubhan

Messages recommandés

Posté

Hello,

 

Quand il y a la Lune... On fait avec.

 

-Une image de la Lune de plus, oui, mais on peut faire un peu de mini-science sans prétention avec.

 

-Exemple une image de la région de Gassendi, avec une PL1, sur un Newton 200/800 et tout un tas de bouts de tuyaux pour le rallonger:

 

gassendi-101008.jpg

 

-Le but est simplement de compter les cratères, en fonction de leur taille. Histoire de voir si la répartition est aléatoire ou pas. A l'occasion, j'ai fait un bout de programme qui ne sert qu'à ça: on ouvre l'image, on trace à la souris les diamètres de cratères, et on envoie directement tout ça sur un tableur. Le soft est ici si vraiment vous vous ennuyez à mourir.

 

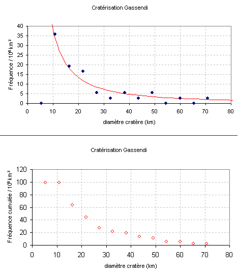
-Une fois dans le tableur, on traite les données. En voilà deux formes:

 

craterisation.gif

 

-En bas, simplement le nombre de cratères de chaque taille. En haut, la fréquence cumulée (en vertical, le nombre de cratères plus grands que la taille indiquée).

 

-Et qu'est-ce qu'on voit-il?... Ben, ce n'est pas du tout aléatoire... Bon, super, et on en fait quoi?... Ch'ais encore pas trop, mais j'ai des pistes...

 

-Toutes les régions lunaires ont-elles la même distribution?

-Si ça se trouve, ça dépend de leur âge? Non?...

-C'est pareil sur Mercure (avec de belles images de ... Messenger...)?

...

 

-Tout un champ nouveau et merveilleux de questions s'offre à nos méninges naïves et avides de connaissances.

 

Un peu plus de détails chez Robert

 

A+

Phil

Archivé

Ce sujet est désormais archivé et ne peut plus recevoir de nouvelles réponses.

  • En ligne récemment   0 membre est en ligne

    • Aucun utilisateur enregistré regarde cette page.
×
×
  • Créer...

Information importante

Nous avons placé des cookies sur votre appareil pour aider à améliorer ce site. Vous pouvez choisir d’ajuster vos paramètres de cookie, sinon nous supposerons que vous êtes d’accord pour continuer.