Aller au contenu

Messages recommandés

Posté

La règle NPF pour des étoiles ponctuelles
J’ai développé en 2010 une règle qui permet de calculer (assez) facilement le temps de pose maximal pour prendre un ciel étoilé en photo sans que les étoiles ne filent trop. La première publication se trouve sur la page de la Société Astronomique du Havre. Cette règle se substitue à l’antique « règle des 500 » qui donne des résultats trop incertains.

 

La règle NPF est un peu plus complexe que la règle des 500. Mais elle a le mérite de donner immédiatement et à coup sûr le temps de pose idéal pour avoir des étoiles bien ponctuelles quand on prend des photos sans suivi.

 

La règle NPF est implémentée dans diverses applications, par exemple PhotoPills, PlanIt!qDSLRDashboard, Pin Point Stars, et d'autres encore.

 

Je propose deux formulations du temps d'exposition, exprimé en secondes (à arrondir à la valeur la plus proche que permet votre boitier) :

 

  • Si vous connaissez N, l'ouverture de l'objectif à la prise de vue,  p la taille des pixels de votre boitier (en µm) et f, la focale de l'objectif (en mm) :
    image.png.ae05399775ed1c23908f4d613faa526b.png
  • Si vous cherchez une formule simple, mais meilleure que la règle des 500. Je l'ai appelée "Règle des 4-crop" :
    image.png.fc04b9b242621d8652acf24e6b12d7fa.png
    elle revient à une règle des :
    • 200 pour les capteurs µ4/3,
    • 240 pour les capteurs APS-C Canon,
    • 250 pour les autres capteurs APS-C
    • 300 pour les capteurs pleins format
       
  • Des formulations complémentaires, dont une plus précise, sont aussi disponibles ci-dessous, mais vous n'êtes pas obligé de les appliquer.
  • Révélation

     

    • Si vous connaissez N, l'ouverture de l'objectif à la prise de vue,  c le facteur de crop de votre boitier, MPix le nombre de mégapixels et f, la focale de l'objectif (en mm) :
      image.png.4154b2eb110626a9a2fbc47f773ee79b.png

     

    • Pour plus de précision, vous pouvez prendre cette formule qui ajoute un facteur k, représentant la dérive acceptable de l'étoile et δ la déclinaison minimale des étoiles sur la photo :
      image.png.a39a91b2d9f9f9bf599d62b3b522cfa8.png
      k=1 : l'image de l'étoile se déplace de son rayon, c'est imperceptible sur la photo, même en tirage grand format
      k=2 : l'image de l'étoile se déplace de son diamètre, c'est peu perceptible, surtout si l'image est destinée à être réduite pour être vue sur un écran
      k=3 et + : l'image de l'étoile se déplace de plus de 1,5 x son diamètre, son allongement est perceptible même après réduction
      Vous serez conservatif en prenant δ = 0° et donc cos δ = 1.

     

     

La règle des 500


Il était une fois, au temps jadis quand l’argentique était roi, un photographe de paysages de nuit qui avait constaté que lorsqu’il divisait 600 par la focale de l’objectif (en mm), il obtenait un temps d’exposition qui lui permettait d’avoir des étoiles ponctuelles sur la photo. Un peu plus tard, il constatait qu'avec 500 au lieu de 600, ça fonctionnait encore mieux quand il faisait des grands tirages. À cette époque, les films avaient un format de 24x36 ou de 6x6 et la règle donnait des résultats assez fiables, quoique certains réduisaient déjà le chiffre à 450 voire 400.

 

image.png.3666f6aae63b738ea179bfb6cde3bf44.png

 

Mais avec l’apparition des capteurs numériques, la course à la résolution et l'amélioration de la qualité optique des objectifs, force a été de constater que la règle des 500 surestimait souvent largement le temps de pose et les étoiles filaient irrémédiablement. Diverses solutions ont été données, en tenant compte du « crop factor », en changeant 500 par 350 ou même 150, ou en déduisant quelques secondes au résultat… tout cela sans aucune autre justification que "ça marche pour moi donc...".

 

Voilà pourquoi j’ai voulu repartir des fondamentaux de la physique de l’image et du déplacement des étoiles sur le capteur pour comprendre comment estimer de façon fiable le temps de pose pour avoir des étoiles bien ponctuelles : des « pin point stars » comme le disent les anglo-saxons.


Démonstration de la règle NPF
Attention, indigeste 🤢 vous n'êtes pas obligés de lire ça !!! 

Révélation

Je vous avais prévenu !!!

 

:chuisundieu:

 

Une étoile est une source de lumière considérée comme ponctuelle. En effet, sauf pour le Soleil, la distance qui nous sépare d’elle est quasi infiniment supérieure au diamètre de cette étoile. Prenons Alpha A du Centaure, l’étoile la plus proche de la Terre. Son diamètre est de l’ordre de 1 700 000 km et elle se situe à peu près à 4.4 années lumière de nous. Cela correspond à un angle apparent de 0.0084 secondes d’arc. Avec un objectif de 50 mm de focale, le diamètre de l’étoile sur le capteur serait de 2 nanomètres, soit plusieurs milliers de fois plus petit que la taille d’un pixel sur le capteur… on ne devrait pas la voir, et pourtant on la voit sur les photos !


En fait, trois phénomènes étalent la lumière sur la surface du capteur :

  •     La diffraction, qui est une propriété ondulatoire de la lumière
  •     La turbulence atmosphérique, qui est une propriété de l’atmosphère terrestre
  •     La reconstitution des couleurs par l’électronique du capteur

 
Ainsi d’une image qu’on croyait ponctuelle, on aboutit à une tâche qui s’étale sur quelques pixels.

 

image.png.fc6342c5bf77d84858629fdd21328dfe.png


Il y a d’autres sources d’étalement de la lumière, mais elles sont bien plus difficiles à quantifier :

  •     aberrations optiques de l’objectif (sphéricité, astigmatisme, coma), mais en général ces aberrations sont très faibles au centre de l’image
  •     débordement du signal sur les pixels voisins (en anglais blooming), les capteurs des APN sont généralement peu ou pas affectés par ce défaut
  •     mauvaise mise au point et vibrations, le photographe doit les maîtriser

 

Effet de la diffraction

 

Lorsqu’un flux lumineux issu d’une source ponctuelle traverse un trou, en l’occurrence le diaphragme d’un objectif, il ne se concentre pas en un point mais s’étale en anneaux autour de son axe. Cette particularité de la lumière a été expliquée par un britannique, George Airy en 1835. Elle porte désormais son nom.


À peu près 84% de l’énergie lumineuse du flux en provenance de l’étoile est concentrée dans la tâche centrale. Le premier anneau contient environ 7% de l’énergie et le suivant 3%. 
Les étoiles faibles s’étalent donc dans la tâche centrale et les anneaux seront trop faibles pour être saisis par le capteur. Certaines seront cependant assez fortes pour « allumer » le premier anneau voire au-delà. On va s’en tenir au premier anneau dont le diamètre est calculé par la relation :


image.png.caaa99248ff3ef530d6411c2992c26a5.png

 

Où λ est la longueur d’onde de la lumière et N l’ouverture de l’objectif.


Effet de la turbulence atmosphérique


L’air de l’atmosphère n’est pas homogène. Il est constitué de plein de couches de propriétés différentes, en humidité, température et pression, qui ne cessent de fluctuer dans le temps et dans l’espace. Un rayon lumineux oscillera ainsi autour d’une position moyenne. On appelle seeing l’angle moyen apparent de dispersion du rayon lumineux. Il est généralement compris entre 0.3 secondes d’arc pour les meilleurs sites astronomiques (où sont installés les grands télescopes scientifiques) jusque 5 secondes d’arc quand les conditions sont mauvaises.


Le diamètre moyen de seeing est calculé par la relation :


image.png.7f6bd2aef57114cb4e33a6507d407528.png


Où α est l’angle de seeing.


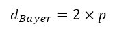
Effet de la reconstitution des couleurs par l’électronique du capteur

 

Les photosites captent chacun une des 3 couleurs fondamentales du spectre lumineux : rouge, vert et bleu. Ils sont organisés en ce qu’on appelle la « matrice de Bayer ». Chaque photosite ne capte donc qu'une seule couleur. L'image est alors reconstruite de façon logicielle en prenant en considération les informations captées par les photosites voisins de façon à en déduire les couleurs manquantes au pixel de l'image finale.
 
Même si l'étoile n'avait éclairé qu'un unique photosite, l'image finale étalerait l'étoile sur au moins 9 pixels, en fait même un peu plus car les algorithmes évolués de démosaïcage travaillent sur une zone plus large. On ne connait pas vraiment l'algorithme utilisé par les logiciels internes des appareils photos, c’est le savoir faire du fabricant. On va donc considérer que le diamètre moyen sur l'image d'un détail ponctuel sur le capteur est égal à 2 fois la largeur p d'un photosite.

 

image.png.2969c53cd2c28954644a63ffc0f3803d.png


Où p est la largeur d’un photosite.


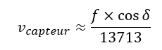
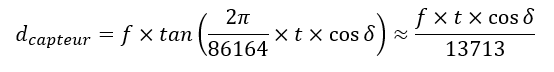
Déplacement de l’étoile


La Terre fait un tour en 24 heures environ, en fait en 86164 s. L'étoile semblera se déplacer d'autant plus rapidement que sa déclinaison δ sera proche de zéro, c'est à dire qu'elle se trouve sur le plan équatorial de la voûte céleste. Sur le capteur, pour un temps t donné, l'étoile va se déplacer d'une valeur telle que :


image.png.98589d6dc4967557d11e028882844565.png

 

D'où sa vitesse de déplacement sur le capteur  :
 

image.png.a04b2f1457a1b2cb3fd407ad85ca2768.png

 

Où t est la durée de l’exposition, temps pendant lequel l’étoile se déplace sur le capteur, δ est la déclinaison de l’étoile. 


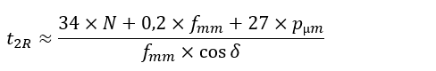
Formule NPF


La durée nécessaire pour que l'étoile se déplace d'une valeur égale à k fois le rayon de sa tâche sur le capteur est donc égale à :

 

image.png.49c925383ca58f50893cc3e50f8c1d6b.png

 

Le filé de l’étoile n’est pas du tout perceptible quand k=1 (l’étoile se déplace de la valeur de son rayon). Il devient tout juste perceptible quand k=2. Il est bien perceptible quand k est compris entre 2 et 3, même sur des images réduites et est très perceptible au-delà.


En exprimant toutes les grandeurs dans les unités usuelles, en faisant l’hypothèse d’un seeing moyen de 3’’ et d’une longueur d’onde moyenne de 550 nm, on arrive à la relation :


image.png.10a340997b73e12606cbd0cf62222e9c.png

 

Si on tolère un déplacement d’un rayon de l’étoile (k=1) on a la formule NPF « précise » :

 

image.png.745ecfd53c72fba7631efdc18db2c5d5.png


Si on tolère un déplacement d’un diamètre de l’étoile (k=2) on a la formule NPF « acceptable » :

 

image.png.90822fc3a876fc4e9ea52239fd41c976.png


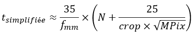
Pour simplifier encore un peu, il est possible de considérer le cas le plus conservatif où l’étoile a une déclinaison nulle (c’est à cette déclinaison qu’elle se déplace le plus rapidement), on néglige aussi le terme relatif à la turbulence (seeing idéal) et on arrondi les chiffres à 5 près pour arriver à la règle NPF simplifiée :


 image.png.ae05399775ed1c23908f4d613faa526b.png

 

On retiendra dans tous les cas le temps de pose le plus proche disponible dans l'appareil photo.   

 

Crop facteur et Méga Pixels

 

Certains ne jurent que par le crop facteur et reprochent à la règle NPF de ne pas en tenir compte contrairement à la « règle des 500 ». Qu’à cela ne tienne, voici la règle NPF avec le crop facteur !


Le crop facteur est le rapport d’une dimension d’un capteur plein format avec la dimension du capteur que l’on a. Attention ce qui suit n’est valable que pour les capteurs au format 3:2 dont la largeur est égale à 1.5 fois la hauteur, ce qui est majoritairement le cas (on voit cependant apparaître des capteur au format 16:9 et des capteurs au format 4:3). Pour les capteurs au format 3:2, la taille d’un pixel est égale à :

 

image.png.466bcb31f35270f500c963d78ad56de1.png


Où c est le facteur de crop du capteur et MPix le nombre de méga pixels du capteur.


On peut remplacer pµm dans la formule NPF qui devient alors :

 

image.png.daa1d0d6e7809d580315ff4eb6ba3a90.png


En simplifiant (k=2, α=0’’ et δ=0° et arrondis à 5 près) on parvient alors à cette écriture, plus complexe, mais qui tient compte du facteur de crop ! CQFD

image.png.4154b2eb110626a9a2fbc47f773ee79b.png

 

 

 

 

 

La règle des 500 revisitée

 

Je veux bien reconnaître que la règle NPF peut rebuter ceux qui sont mal à l’aise avec les calculs (et oui 2+3x4 ne fait pas 20 mais 14).


Sur la base d'une liste de près de 250 boitiers APSC, µ4/3 et Plein Format de 10 MPix ou plus, j’ai recherché une loi simple qui, bien que moins précise que la règle NPF, reste meilleure que la règle des 500. La plus simple que j’ai trouvée est :

 

image.png.fc04b9b242621d8652acf24e6b12d7fa.png

 

Ce tableau compare sa précision moyenne avec celle de la règle des 500 par rapport à la règle NPF pour diverses combinaisons de focales et d’ouverture. 

 

image.png.b0242fc554397d3fcc6546c790aa10fd.png

 

On se rend compte que cette règle fonctionne plutôt bien pour des ouvertures de f/2.8, très largement utilisées en paysages de nuit. Elle a tendance à un peu sur-estimer le temps de pose pour les objectifs plus ouverts et à le sous-estimer pour les objectifs plus fermés. A contrario, la règle des 500 est très mauvaise pour les objectifs ouverts, notamment sur les capteurs pleins formats. Elle est moins pire avec les capteurs µ4/3 et les objectifs fermés (f/4.5 ou plus).

 

Exemples

 

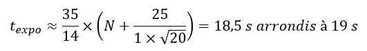
On utilise un Canon 6D avec un objectif Sigma 14 mm f/1.8. Le 6D a des pixels de 6.55 µm, un facteur de crop de 1 (c'est un plein format), et 20 MPix. On considère qu'avec cette focale, le champ cadré contient toujours des étoiles situées sur le plan équatorial, donc δ = 0°, et cos δ = 1.

 

  • règle NPF précise (k=1)
    image.png.61ec4923e1e250203790056c5f58de48.png:
  • règle NPF précise (k=2)
    image.png.7e8ac84c48c6ac2dd8e88b2ca080613a.png
  • règle NPF simplifiée (avec taille des pixels)
    image.png.e4d9aa86e04167ca4fc90057d0a24627.pngelle donne une valeur légèrement différente de la règle précise, ce qui est normal
  • règle NPF (avec crop facteur et MPix)
    image.png.63c70cc6c78e943aeab74d7d8160fc90.pngça tombe bien, on retrouve le même résultat que précédemment
  • règle des 4-crop
    image.png.11ba3729f8f49cc26df0bf1ab08f5cdf.png, c'est proche de la règle NPF
  • règle 500 normale
    image.png.77a0510c54b8f51a0ad392ffffa50afd.png, c'est carrément 2 fois plus que la règle NPF !!! 

 

 

  • J'aime 1
Posté

Comment calculer la taille des pixels ?

 

La règle NPF a besoin de la taille des pixels en µm (micro-mètres).

 

Le calcul est TRÈS simple :

 

image.png.7593d3c9b53e33736fe7b7e619ddc245.png

 

Par exemple, le Canon 6D fait 35,6 mm de large pour 5472 pixels :

 

image.png.97fc467d51a70ded60c12994d168993d.png

 

On trouve les dimensions de son capteur en cherchant 30 s sur Internet. Si Internet n'est pas votre ami (que faites-vous là ?), alors utilisez les valeurs suivantes :

  • capteur plein format : 36 mm
  • capteur APS-C Canon : 22.2 mm
  • capteur APS-C autres marques : 23.6 mm
  • capteurs µ4/3 : 17.3 mm

Les autres formats de capteurs plus petits (1'', 2/3'', 1/1.7'', 1/2.5''...) ne sont pas adaptés pour la photo de paysages de nuit, je n'en parle donc pas.

 

Si vous ne connaissez pas le type de capteur de votre appareil photo, lisez son manuel !

 

 

Posté

Comment calculer le facteur de crop ?

 

On le trouve généralement facilement sur Internet. Mais si vous êtes toujours réfractaires à Internet (et vous êtes toujours là ?), voici une façon de le calculer.

 

Pour la plupart des capteurs, le rapport largeur/hauteur est de 1,5  (la largeur est 1,5 fois plus grande que la hauteur, on parle aussi de format 3:2) :

image.png.d6cb62b38fd72ec240186d09e110ff91.png

 

Par exemple, le Canon 1000D a un capteur de 22,2 mm de large et est au format 3:2. On a donc :

 

image.png.512b8987ecc6403021af7dd7de84204f.png

 

Si le capteur a un format différent, le calcul est un peu plus complexe, c'est le rapport de la diagonale du format 24x36 par la diagonale du capteur :

 

image.png.1b2314b434c19689979affb5100df981.png

 

Si vous ne connaissez pas les dimensions du capteur, prenez les facteurs de crop suivants :

  • capteur µ4/3 : crop = 2,00
  • capteur APS-C Canon : crop = 1,62
  • capteur APS-C autres marques : crop = 1,53
  • capteur plein format : crop = 1.00
Posté

Comment calculer les vrais méga pixels de votre appareil photo ?

 

Le calcul est simple, à partir de la résolution des images RAW :

 

image.png.206d2dc298daa3d8e230c77c58221bf3.png

 

Les chiffres indiqués par les constructeurs sont souvent curieux. Par exemple le Canon 6D sort des images de 5 472x3 648 pixels et pourtant Canon indique que le capteur fait 20,2 M Pixels effectifs (et 20,6 M Pixels total). Or ce capteur délivre des images de 19,96 MPixels. Mais on ne va pas chipoter, ces écarts ont une incidence négligeable sur le calcul du temps d'exposition avec la règle NPF.

  • En ligne récemment   0 membre est en ligne

    • Aucun utilisateur enregistré regarde cette page.
×
×
  • Créer...

Information importante

Nous avons placé des cookies sur votre appareil pour aider à améliorer ce site. Vous pouvez choisir d’ajuster vos paramètres de cookie, sinon nous supposerons que vous êtes d’accord pour continuer.