Aller au contenu

Messages recommandés

Posté

Pourquoi l’échantillonnage est égal à 206 p /f ?

Des colistiers se demandent parfois d’où sort ce chiffre de 206 dans la formule qui donne l’échantillonnage d’un capteur en fonction de la taille des pixels et de la focale de l’optique.

 

La réponse est simple : parce que la 206 était une bagnole vraiment cool.

image.png.356903ea1d67fffd7e060ed2ed0d5545.png

 

C’est bon, vous êtes satisfait ? Non…

 

En fait il y a une explication mathématique mais elle est bien moins cool. La voilà quand même. C'est juste de la trigonométrie de base et un peu de conversion d'unités. Tout d'abord voici le schéma qui montre le principe :

 

image.png.5946634b67dfc0fad93809cef5dc85a6.png

 

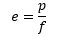
L’angle e que voit un pixel de dimension p derrière une optique de focale f est :

 

image.png.fabfdce17439a48892c2d3cbe0958830.png

 

Ici e est exprimé en radian, p et f dans la même unité de longueur (normalement en mètre) et atan est la fonction arc tangente.

 

Comme p est généralement très petit devant f, le ratio p/2f est proche de zéro. On peut alors simplifier l’expression car atan x est quasiment égal à x quand x tend vers zéro. Il reste alors l’expression :

 

image.png.4e2fb469264a4217d548c88e0ede58c6.png

 

Mais ici, e est toujours exprimé en radian et p et f en mètres. Or on a plutôt l'habitude d'exprimer e en seconde d’arc, p en micron et f en millimètre. Il faut convertir :

 

image.png.4f8796fb06fdab767c76498380364c20.png

 

On a donc :

 

image.png.a1dc1e47dd87d5d65937a892e0555608.png

 

d'où :

 

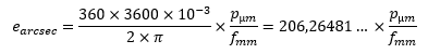
image.png.e17d560f307f56729b90610c8f7b805a.png

 

que l’on s'empresse d'arrondir parce que les décimales ici n’ont aucun sens pratique et on trouve la bagnole très cool :

 

image.png.045e0c92d9de6546613acf7ede2d0b7a.png

 

CQFD

 

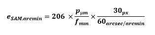
Gamme de tramage dans la Console SAM/SA

 

L'application qui permet de piloter la Star Adventurer Mini et la Star Adventurer 2i permet la saisie d'un paramètre appelé 'Gamme de tramage'. C'est ce paramètre qui permet de faire du dithering. Il est vraiment IMPORTANT de l'activer. Mais quelle valeur faut-il saisir car le manuel n'en parle pas du tout ?

 

La pratique montre qu'il faut largement exagérer le dithering pour qu'il soit efficace sur ces montures. On estime que 30 pixels de décalage est suffisant. La valeur à saisir dans l'application est en minutes d'arc :

 

image.png.12564eec9e8794fe1f7e5108e73619b1.png

 

Finalement il suffit de retenir la formule simple, valable uniquement pour la SAM et la SA 2i dans l'application Console SAM/SA :

 

image.png.226ac29120801d9c31725c7ea0437aa7.png

 

(j'ai pas mis 103 parce que la Peugeot 103 n'était pas cool comme mob).

 

 

 

 

  • J'aime 1
  • Merci / Quelle qualité! 2
  • Comme je me gausse! 1
  • 3 années plus tard...
Posté

Bref, avec un objectif de 135 mm de focale et un Canon R6 dont les pixels font 6.56 µm, on saisira :

 

esam=100*6.56/135 = 4.9 arc.min

 

Combien de temps va prendre le dithering

 

Tdither = 4 x esam

 

Quand elle fait un dithering, la Star Adventurer Mini s'arrête ou va au double de la vitesse sidérale selon le sens du déplacement. Elle peut donc décaler l'image à la vitesse de 4 seconde/arc.min

 

Pour l'exemple précédent, cela correspond à une durée de 4.9*4=19.4 secondes (c'est un maximum). Puis le logiciel va attendre encore un instant (quelques secondes) pour que le suivi se stabilise, en gros 5 s, soit un total de l'ordre de 25 s.

 

Autrement dit, la durée qui sépare deux photos sera comprise entre le temps minimum (je mets 2 s) que vous avez paramétré dans le logiciel et le temps du dithering. Dans notre exemple cela veut dire que l'intervale entre deux poses sera de 2 s à 25 s environ.

 

Ne vous étonnez pas si l'appareil photo ne déclenche pas aussitôt après avoir fini la photo précédente !

  • En ligne récemment   0 membre est en ligne

    • Aucun utilisateur enregistré regarde cette page.
×
×
  • Créer...

Information importante

Nous avons placé des cookies sur votre appareil pour aider à améliorer ce site. Vous pouvez choisir d’ajuster vos paramètres de cookie, sinon nous supposerons que vous êtes d’accord pour continuer.