Rechercher dans la communauté
Affichage des résultats pour les étiquettes 'photométrie'.
27 résultats trouvés
-
Appel à observations dans l'HEMISPHERE SUD, variables non répertoriées
un sujet a posté cmltb612 dans L'astro autrement
Bonjour tous, Dans la série la "Team Var-Exp" (Mathieu @Wan186 et ma pomme 😉 ) vous propose ... On est heureux d'initier une nouvelle série d'aventures photométriques et de plongées dans l'inconnu, cette fois à destination de nos amis du grand Grand Sud profond. Nous avons commencé à explorer une petite zone qui est circumpolaire depuis l'essentiel des terres australes, localisée dans la Mouche. Le terrain est assez dense, là-bas, car on est dans la Voie Lactée. Pour situer un peu, on est à quelques dizaines de milliers d'étoiles Gaia par degré carré, et il y a donc une quantité non négligeable de signaux qui méritent un peu d'attention. En particulier, et pour ce premier appel austral, nous avons deux binaires à éclipses dont la période est bien circonscrite, mais qui présentent des inconnues, et ce qui est peut-être une RR Lyr de type RRC, ou une EW, dont le signal serait à caractériser un peu finement. La première binaire à éclipses a donc une période assez courte, dont les éclipses peuvent être observées tous les 3.3 jours, mais pour laquelle il est également plausible d'observer des éclipses secondaires à mi période. Ces éclipses sont incertaines, car très faibles et/ou inconstantes, et peu ou pas visibles dans les données archivées. Il faudrait explorer tout ça un peu en détail. On est à G mag = 16.4. La seconde binaire est beaucoup plus brillante : G=13.5, RP=12.8 et assez facilement accessible, avec des optiques de 100mm, par exemple. Les éclipses sont plus espacées (20 jours), et le timing est assez facile à établir, mais on n'est pas tout à fait certain de l'origine du signal, même s'il y a de forts soupçons, incertitude qu'on ne peut pas se permettre de laisser courir. Et par ailleurs, il s'agit d'une étoile classée en tant que double large ; on est donc possiblement en présence d'un système triple qu'il pourrait être intéressant de suivre sur le long terme. Je précise que je n'ai pas approfondi l'enquête au sujet du caractère double visuel. La dernière étoile montre une variation cyclique assez facile à voir, possiblement une pulsante, mais encore une fois, on est dans un champ bien bien serré, et il faudrait préciser l'origine de ce signal, avec une focale un peu longue. La période est beaucoup plus rapide (0.35jour), et cela peut être vérifié en une nuit (ou deux, si on veut faire les choses proprement, avec un joli phaseplot). On est à G mag 15.5. Cet appel à observations "permanent" reste valide tant que les étoiles proposées n'auront pas été mesurées et discriminées. A vos scopes ! Comme pour les appels précédants, outre le plaisir d'observer de l'inédit et de participer à notre modeste niveau d'amateurs, à la grande épopée de la Science, tous les observateurs qui enverront des données seront co-auteurs de la ou des publications relatives (soumission au VSX, papier ou catalogue), quand il y en aura (s'il y a), et seront intégrés à la Team Var-Exp s'ils le souhaitent 😉 (il n'y a pas d'obligation d'achat non plus) On est en train de monter un petit réseau d'observateurs intéressés par ce genre de manips, en métropole, mais pas que. Pour le moment, nous n'avons pas encore véritablement établi de contacts fermes avec des observateurs dans le sud, mais si ce type d'observations vous intéresse, vous êtes les bienvenus. Contactez-moi en mp pour obtenir les détails. Dernier point : cette petite incursion de nos recherches dans une constellation australe peut être suivie de beaucoup d'autres, si des astrams se montrent intéressés. Le ciel est vaste, et il y a des quantités de variables inconnues à découvrir et observer. Bons cieux, Au plaisir de vous lire, Christophe -
Les Douze Travaux d'Hercule - 1 : La binaire excentrique (GC0001a) Salut tous, Adepte des coups un peu incertains et d'une photométrie aventureuse en dehors des sentiers battus ? Mathieu @Wan186 et moi-même sommes heureux de vous proposer une nouvelle séries de tribulations photométriques, qui vont s'étendre sur toute la belle saison (cette année et l'an prochain), au fur et à mesure de l'avancée de nos explorations dans Hercule et aux confins de l'Aigle, à la poursuite de variables non cataloguées. (Pour info, s'agissant des prochains appels à observations, on se situera dans une zone de ciel autour de +20deg, qui sera accessible depuis l'hémisphère sud) Comme pour les appels précédants, outre le plaisir d'observer de l'inédit et de participer à notre modeste niveau d'amateurs, à la grande épopée de la Science, tous les observateurs qui enverront des données seront co-auteurs de la ou des publications relatives (soumission au VSX, papier ou catalogue), quand il y en aura (s'il y a). A ce sujet, nous présenterons nos travaux aux professionnels de la SF2A, aux Ateliers Gemini Pro/Am, et à l'école de photométrie qui suivra, en juin prochain, à Grenoble. Nous en saurons plus à ce moment-là. Si la manip vous intéresse, contactez-moi en mp pour obtenir les détails. Cela se passe à quelques encablures du célèbre M13, pour une localisation sommaire. Mais disons le d'entrée de jeu, cette fois encore, c'est une manip un peu virile, puisqu'on surveillera une étoile qui pointe à la mag G = 18 (RP= 17) en dehors des éclipses, et qu'on est susceptible de descendre à 18.3/18.5 pendant les creux. Il faut donc observer avec un T200, avec des poses de 180 à 300 secondes, mais ça peut peut-être aussi passer avec un 150, sous un bon ciel, en sacrifiant la résolution temporelle (binning par paquets de 10, 12 ou 15 minutes, par exemple), quand bien même on ne verrait pas correctement le fond de l'éclipse, mais uniquement la disparition de l'étoile dans le bruit de fond, suivie de sa réapparition. Ce qui nous intéresse est avant tout de retrouver les éclipses, et pour cela, tous les moyens sont bons. Voici le problème tel qu'il se présente : nous avons une binaire à éclipses très excentrique, de période 20+ jours, dont primaires et secondaires sont séparées par des intervalles de 5 et 15 jours selon le rythme 5/15/5/15/5/15. Nous avons retrouvé 14 éclipses sur une période de 1500+ jours, avec pas mal de trous dans la raquette. Les instants des premières éclipses observées sont assez imprécis (+-30 minutes sur l'époque), en raison d'une cadence d'imagerie fixée à 30 minutes et de mesures assez bruitées, pour des durées d'éclipses estimées entre 2 et 3 heures. Ce qui impacte directement la précision des éphémérides. Les timings les plus récents sont meilleurs (+- quelques minutes), mais la prédiction des éclipses actuelles doit se faire avec des pincettes, et pour le moment, l'incertitude est probablement de l'ordre d'une heure, ou plus. Pour ne rien gâcher, on a également *l'impression* que la période diminue légèrement sur l'intervalle de temps observé. Cette diminution est-elle réelle, ou bien ne s'agit-il là que d'un artéfact dû aux imprécisions des premières mesures ? Il n'y a qu'une chose à faire pour le savoir : observer et retrouver au moins une éclipse. Une fois ce premier fil tiré, tout le reste de la pelote va venir rapidement. S'il s'agissait d'une binaire de type EA excentrique dont les éléments bougent réellement, ce serait un objet intéressant à suivre. Le calcul d'éphéméride donne les dates plausibles suivantes pour les éclipses (primaires et secondaires sont données à titre indicatif ; on n'a pas assez de données pour trancher) : (En vert, les dates des supposées éclipses primaires ; en jaune, les éclipses secondaires. Se baser de préférence sur les dates en JD plutôt que sur les conversions en temps UTC, car il peut y avoir eu quelques coquilles pendant les copier/coller, après conversion - je n'ai pas tout revérifié) Les observations sont à faire plutôt en clear, afin de récupérer le plus possible de signal, et parce que l'étoile brille davantage dans le rouge, dans une zone ou nos capteurs sont assez sensibles, sauf si l'on dispose d'une grosse optique. Dans ce cas, on peut à l'occasion utiliser un filtre V ou sloan g'. Il sera important d'observer un assez large moment avant et après les horaires proposés (au moins 2 à 3 heures), car l'incertitude est importante. La résolution temporelle peut être aussi large que 10 ou 15 minutes, comme déjà signalé, si cela peut aider à atteindre la mag 18/18.5. On n'est pas regardant sur le timing, du moins au début : on veut principalement retrouver les éclipses. Quand on aura observé une première éclipse, on pourra y revenir pour affiner la mesure des instants, si nécessaire, et on pourra également observer l'autre éclipse, afin de discriminer les deux éclipses, primaires et secondaires. Je donnerai des nouvelles sur l'avancée des observations sur ce fil. Stay tuned ! Si l'aventure vous intéresse ... Au plaisir de vous lire 😉 Christophe
-
Bonjour tout le monde, En parallèle des quelques posts que j'ai fait ici sur la photométrie depuis ce début d'année 2025, j'ai téléchargé pas mal de données depuis les archives du réseau LCO concernant le quasar 3C 273 : à savoir cinq ans et demi de données en proche UV et visible. Du coup, je me suis un peu amusé avec ces données, et j'ai produit les courbes de lumières. Ne voulant pas m'arrêter là, j'ai voulu pour une fois pousser un peu plus loin l'analyse et voir ce qu'on pouvait tirer en étudiant ces courbes. J'ai pas mal bûché et réalisé une étude de périodicité et de corrélation croisée en utilisant divers outils. Comme j'ai trouvé ça intéressant, je me suis dit : "- Tiens, ça vaudrait le coup d'en faire un exposé pour le club." 🤔 J'ai donc entrepris de rédiger un petit document, un peu sous la forme d'un compte-rendu de TP... mais c'était un peu raide, et je me suis alors fait la remarque : "- Faudrait quand-même que je parle un peu des quasars, ce serait chouette !" 😃 Et de fil en aiguille, j'ai élargi le champ de mon exposé à une partie plus théorique... Rendu là, je me suis dit que c'était dommage de ne pas parler du réseau LCO, vu que sans lui je n'aurai rien pu faire, et puis comme ça mon exposé serait un peu complet... 😅 Vous l'aurez compris, j'ai mis le doigt dans l'engrenage et je suis parti assez loin. Au final, j'ai passé tout l'été à la rédaction d'un document qui atteint 80 pages A4 et dans lequel vous pourrez retrouver : - Une présentation théorique des quasars et noyaux actifs de galaxies en général, de 3C 273 en particulier, - Une présentation du réseau LCOGT, - Les bases théoriques de la photométrie d'ouverture, - L'étude pas à pas des données avec divers logiciels (Excel, AstroImageJ, Peranso, Astropy), - Les résultats obtenus, plutôt en adéquation avec la littérature scientifique. Mais également : - Beaucoup d'illustrations (merci aux propriétaires qui m'ont donné l'autorisation de les utiliser), - Une bibliographie conséquente (que je tiens à votre disposition). J'attire votre attention sur l'aspect AMATEUR de la démarche. Ce n'est évidemment pas une étude pro et vous verrez que j'ai fait l'impasse sur plein de choses pour ne pas alourdir le propos. J'ai essayé autant que faire se peut d'être transparent sur les raccourcis et simplifications, tout en gardant une certaine rigueur dans ce que j'évoque : à cette fin, j'ai eu la chance de pouvoir faire relire ce travail par des astrophysicien(ne)s spécialistes des AGN et de la photométrie. Malgré tout, le néophyte y apprendra je pense pas mal de choses intéressantes, et - pourquoi pas ! - peut-être ce travail vous donnera envie vous aussi de vous lancer dans ce genre d'entreprises passionnantes Je tiens ici à remercier publiquement @krotdebouk pour sa relecture patiente et ses retours lucides et pertinents dès le début de la rédaction, ainsi que @cmltb612 pour entre autre m'avoir initié à la photométrie, pour ses conseils éclairés, sa pédagogie et - disons-le ! - pour l'ensemble de son œuvre 😃 ! Sans eux qui sont ici, et d'autres ailleurs, je n'aurai pas pu mener à bien cette entreprise. Pour le lien de téléchargement du document complet (8,06Mo), c'est par là : Je vous souhaite de trouver autant d'intérêt à la lecture de cet exposé que je n'en ai eu à sa réalisation, et j'espère avoir réussi à transmettre un peu de ma passion pour les sciences à travers ces quelques pages. En vous souhaitant bonne lecture... et des ciels clairs, bien entendu Geoffrey
-
(Nouvelle) Suivi d'une supernova dans le Dragon : SN 2026fvx
un sujet a posté GeoffreyJoe dans L'astro autrement
Un phénomène transitoire a été détectée dans la toute petite galaxie NGC4205, par le télescope LAST le 17 mars à 22:37 UTC. L'alerte a été lancée au 4,3m de l'observatoire Lowell, dont le spectroscope a pu déterminer qu'il s'agissait d'une supernova de type Ia avec une vitesse d'expansion de 17000km/s. A sa découverte, sa magnitude était de 19,64. Le 18 mars à 12:29 UTC, elle a été mesurée à 17,99, soit quasiment une magnitude et demi de mieux en 14 heures. J'ai pu la capturer hier soir, 25 poses de 120s avec le 200f4 et l'asi 1600mm, pas de filtre (et toujours pas de correcteur, ni d'eaf et encore moins de guidage...). Voici ce que ça donne. Attention c'est rikiki Vous ne la voyez pas ? 🔎 Je la mesure à la magnitude 15,88 (+/-0,04). Elle est donc en plein "rise time" et devrait monter encore d'heure en heure. Si le ciel est clair, je vais lui en remettre une couche ce soir et demain. Attention, la valeur que je donne est vraiment à titre indicatif et je la sais fausse : je compare des magnitude en filtre Gaia (mes comps) à une acquisition faite sans filtre. L'erreur réelle doit plutôt être autour du quart de magnitude par rapport à la réalité). Clear skies ! -
photométrie Appel à observations dans Cassiopée "Neb0001a"
un sujet a posté cmltb612 dans L'astro autrement
Bonjour tous, @Wan186 Parmi les étoiles variables non répertoriées détectées par notre survey, la plupart développent un signal bien visible, avec une période parfaitement définie, qui ne nécessitent rien de plus qu'une entrée dans le tableau excel des découvertes à homologuer, qui commence à gonfler 😉 (mais qu'est-ce qu'on va bien pouvoir en faire ? ) Pour d'autres, la situation est plus complexe. La détection que nous vous proposons ce jour relève d'une stratégie différente de celles que nous avions proposées précédemment. Pour faire simple, nous avons un petit paquet d'une demi douzaine d'étoiles, localisées dans un cercle de 60 secondes. Parmi ces étoiles, l'une d'entre elles est une variable connue, et une autre est suspectée de variabilité, sans que la chose soit prouvée. Quoi qu'il en soit, deux signaux sont bien visibles dans les surveys dans ce secteur, l'un correspondant exactement à l'étoile connue, et l'autre ... ne correspondant pas nécessairement au signal non prouvé, en provenance de l'étoile suspecte. Ce second signal est de faible amplitude, de période assez longue, et peut aussi correspondre à un parasitage quelconque - dans ce genre d'affaires, il semble bien que l'on ne puisse jamais être totalement certain de quoi que ce soit. D'où l'intérêt de vérifier la chose avec nos optiques. On est entre les mags 14.5 et 15.5, ce qui est accessible à un T150, éventuellement une L120. On veut une précision meilleure que 0.05 mag. Il faut donc poser longtemps pour avoir un bon SNR (au moins 120 à 180 secondes), avec une map bien contrôlée, afin de ne pas diluer le signal. En revanche, un suivi parfait n'est pas une nécessité, puisqu'on peut élargir les cercles au moment de la mesure. Il faudra certainement ajouter un binning temporel au traitement afin d'obtenir des points de mesures très précis : 10 à 12 minutes, sans doute. On est sur des objets à périodes longues à très longues : oscillations régulières. Il faudrait donc observer peu chaque soir, mais correctement, et sur un grand nombre de jours. Par exemple une fois 30 à 60 minutes ; éventuellement deux ou trois fois par soirée, si on est motivé, si on le peut. Une semaine de suivi serait un minimum, deux ou trois seraient encore mieux. Dans la mesure où les oscillations sont fines, sur les deux étoiles, il sera difficile d'aligner les différentes courbes issues de différents observateurs, mais on pourra essayer, s'il y a suffisamment de matière pour le faire. Chaque observateur devra donc commencer par produire sa propre courbe ; on verra par la suite si d'éventuelles oscillations peuvent se superposer, ou pas (ce serait signe d'un problème quelque part). Comme précisé dans les autres alertes, les astrams qui enverront des observations seront codécouvreurs. (pour peu qu'il y ait réellement quelque chose à découvrir - mais j'en ai l'intime conviction 😉 Volontairement, je ne donnerai pas les périodes ni les astres concernés par les variations, afin de ne pas influencer les observations : soit les périodes apparaîtront d'elles-mêmes, soit on sera dans le bruit, et ce sera non concluant. Je donnerai juste la liste des 6 étoiles à surveiller. Cela se passe dans Cassiopée, près de la position 01 09 00 +59 40 00. Me contacter en mp pour avec les coordonnées exactes. J'ai obtenu une première séries d'images hier soir, et la semaine à venir devrait être favorable. Hardis les astrams 😉 Christophe PS : "Neb0001a", c'est juste un numéro de référence pour ne pas me tromper d'appel à observation 😉 -
photométrie Coup double dans Camelopardalis "Cam0002a/b"
un sujet a posté cmltb612 dans L'astro autrement
Salut tous, Mon complice Mathieu (M. Le Touzé, @Wan186), et moi-même avons entrepris une collaboration en vue de découvrir des étoiles variables par datamining. Mathieu officie au codage (un très gros travail !), et je m’occupe de l’analyse des données recueillies, et des observations (un travail de non moindre ampleur !). Cette recherche commence à porter ses fruits. Nous avons ainsi, pour évalutation, analysé ensemble un premier champ, d’une superficie d’un demi degré carré, choisi tout à fait au hasard sur la voûte céleste, en l’occurrence dans Camelopardalis, et y avons trouvé une douzaine de variables non connues au VSX, ni répertoriées dans aucun catalogue visible sur VizieR. Ce résultat vient valider un autre résultat préliminaire, que j’avais obtenu l’hiver dernier, sur un autre champ, dans Aries, mesurant un peu plus d’un degré carré, celui-ci, et dans lequel j’avais déjà découvert 10 à 12 variables nouvelles, avec des outils assez rudimentaires. Pour des raisons logiques, il faut s’adapter à ce qui se fait déjà, et nous déportons donc nos efforts vers des “zones” de recherches qui sont moins exposées aux surveys professionnelles, lesquelles ratissent large, mais avec pas mal de trous dans la raquette, quand même. En clair, nous trouvons ce que les autres n’ont pas déjà catalogué, ce qui est moins brillant et moins facile à voir, soit une majorité de binaires à éclipses faibles, mais avec de jolies courbes bien marquées, pour l’essentiel autour de la magnitude 15-16, avec des périodes allant de quelques jours à quelques dizaines de jours. Nos candidates forment pour le moment un ensemble d’étoiles comprises entre les magnitudes 12 et 19.5. Dans la mesure où l’on ne fait que débuter, et qu’une grosse vingtaine de découvertes ne permet pas de tirer de grandes statistiques, on ne peut pas en dire davantage, si ce n’est que dans le lot, on trouve également quelques rotateurs, et des choses fort curieuses, telles qu’une *possible* étoile triple, ou une EB à très forte excenticité. Il y a également des signaux très fins, qu’il est difficile d’analyser pour l’instant, faute d’outils suffisamment puissants, et faute d’optiques : il faudrait sans aucun doute pouvoir tirer des spectres pour en savoir plus : types spectraux et vitesses radiales. En effet, au-delà de la magnitude 15, on ne dispose d’aucun type spectral publié, mais seulement d’indices de couleurs, et de parallaxes (ce sont des indications déjà très intéressantes), et bien évidement, on ne dispose pas de temps d’observation sur un classe 2m. Tout ceci nous demandera encore pas mal d’efforts avant de rentrer dans une bénéfique routine, et de pouvoir partager plus amplement ce catalogue en devenir. En particulier, je suis en relation avec Sebastian Otero pour ce qui est de la validation de tout ce petit monde au VSX, et cela avance à un train de sénateur, Sebastian étant à l’écoute, mais totalement dépourvu de temps. Un simple échange de mail demande en gros trois mois … Sachant qu’il y a moults détails à régler, nous ne sommes pas au bout de cette affaire ! Quoi qu’il en soit, certaines découvertes nécessitent des observations depuis le sol. J’avais ainsi découvert une binaire à éclipses à longue période l’an dernier, pour laquelle je n’avais qu’un jeu de données très partielles, donnant lieu à plusieurs hypothèses quant à la période réelle de l’étoile. Fort heureusement, une portion d’éclipse a été confirmée en début décembre 2025, sur un début de nuit difficile. Une portion, parce que je n’avais pu “voir” que la seconde partie de l’éclipse, le début ayant eu lieu en après-midi. Il faudra donc y revenir : une prochaine éclipse pour cette étoile sera observable depuis l’Europe en décembre 2026. Il faut de la patience ! L’aventure est néanmoins passionnante, et pleine de suspence, genre “le frisson de la découverte sur ton écran de PC !” Par les temps qui courent, où les nuits claires sont rares, c’est toujours une occupation astronomique bonne à prendre. À choisir entre la télé et ça … autant se faire arpenteur-découvreur d’étoiles variables ! *** Je voulais donc vous proposer de confirmer deux nouvelles binaires à éclipses en tout début du mois de mars (nuit du 3 au 4 mars), parmi celles que nous avons découvertes récemment. Cela se passe donc dans Cam et, la saison avançant, nous n’aurons pas vraiment d’autre opportunité cet hiver. Si nous ratons cette occasion, il faudra attendre l’automne prochain pour les confirmer. Avant de vous présenter plus avant les deux candidates, je commencerais tout de suite par les choses qui fâchent : malheureusement, cela se passe aux environs de la magnitude 16 et il faudra y mettre un peu de bonne volonté. Une grosse résolution temporelle n’étant pas absolument nécessaire, je pense tout de même que c’est accessible à partir de 200 mm, voire 150mm si on sait y faire, en ce qui concerne la première candidate. Pour préciser un peu plus, nous avons donc deux variables avérées, localisées dans le même champ, à quelques minutes d’arc d’écart. La particularité de ces étoiles (appellons les étoiles A et B), et ce qui empêche de les cataloguer efficacement, est détaillé ci-dessous : L’étoile A pointe à la mag G = 15.6+ ; la période est très probablement égale à 76.2 jours, mais sans certitude absolue, et donc à vérifier, car les données sont partielles. Qui plus est, une étoile de magnitude comparable est localisée à 11 arcsec de la candidate. Il faut pouvoir dédoubler convenablement ces deux étoiles pour savoir laquelle des deux est la source du signal. Durée attendue de l’éclipse : 0.36 jour. Profondeur : 0.15 mag, à peu près, dans le rouge. L’étoile B pointe à la mag G = 15.4. La période est très précisément connue, et égale à 12.3476 jours. Le problème vient du fait qu’une étoile contaminante de mag G=16.8 est localisée à 5 arcsec de la candidate, et qu’il est, en l’état, impossible de savoir laquelle de ces deux étoiles est porteuse du signal. Durée attendue de l’éclipse : 0.22 jour. Profondeur : 0.2+ mag dans le rouge (les éclipses principales sont très profondes). Dans les deux cas, nous avons affaire à des étoiles qui ne sont pas liées physiquement. Par un pur effet du hasard, ces deux étoiles seront visibles en éclipse durant la même nuit (nuit du 3 au 4 mars), dans le même champ : - pour l’étoile A, le milieu de l’éclipse est anticipé pour le 03 mars à 21h57 TU. - pour l’étoile B, le milieu est prévu pour le 04 mars à 00h23 TU Idéalement, il faudrait observer le champ pendant quelques minutes au moins, hors éclipse, quelques nuit auparavant, afin d’établir une base de comparaison. Puis observer le champ durant toute la nuit du 03 au 04 mars, afin de bien voir les deux éclipses. Je dédouble le couple le plus serré avec 900 mm de focale, mais un surcroit de séparation ne peut pas faire de mal. J’observerai à 1200mm, en clear. Il est impératif de pouvoir séparer les composantes, faute de quoi on n’en saura pas plus. En PJ : courbes *non detrendées* pour les étoiles A et B. Il faut imaginer que ces courbes sont plates ; l’aspect en moustache et les pics verticaux correspondent à des artéfacts dûs à la présence d’un fond de ciel difficile à retirer. Je donnerai tous les détails relatifs au champ à imager ainsi que les Gaia ID des étoiles concernées aux observateurs qui me contacteront en privé. La météo étant ce qu’elle est en ce moment, plus on sera d’observateurs sur le coup, plus on aura de chances de réussir. C’est aussi plus sympa, ce genre de manips, quand on est plusieurs. Les observateurs qui enverront des données seront co-découvreurs (si nous sommes plusieurs dizaines, il faudra sans doute modifier le règlement au VSX 😉 ) Au plaisir de vous lire, Christophe -
Bonjour tout le monde, Je vous présente ma première courbe de lumière traitée à l'instant à partir d'acquisitions réalisées depuis ce qui est en passe de devenir mon petit observatoire dédié entièrement à la photométrie, à la science participative et éducative. A terme, l'idée est de le rendre pilotable en remote pour les copains du club et - pourquoi pas - l'envoyer sous des cieux plus cléments que la France métropolitaine ! Tout est piloté avec un PC sous Linux via Ekos - que j'apprends à dompter - et je travaille en parallèle depuis quelques mois à la réalisation d'un planificateur d'observations spécifiquement dédié aux sources variables. Un chouette projet qui me permet d'occuper les trop nombreuses nuits couvertes. Pour l'instant, le set-up se compose d'une EQ6R, d'un 200 f4 et d'une ASI1600 mono prêtée par un ami... et c'est tout ! Pas de correcteur, pas de focuseur, pas de guidage... C'est à dire que la photométrie c'est un sport bien plus permissif que l'astrophoto esthétique (je vous laisse juger vous-même sur la brute ci-dessous) Bon, ce sera mieux avec tout ce matériel mais en attendant rien n'empêche de tirer le portrait à quelques variables et d'en faire de belles courbes : Les étoiles de type SX Phoenicis (SXPhe) sont des variables de Population II, anciennes et pauvres en métaux, principalement situées dans les amas globulaires et le halo galactique. Souvent issues de fusions stellaires (blue stragglers), elles pulsent rapidement sur des cycles de 45 minutes à 2 heures. AE Ursae Majoris en est un exemple emblématique : particulièrement brillante et facile à observer, elle se distingue par une forte amplitude de variation (0,5 magnitude) et une multi-périodicité complexe. Pour ceux qui ne l'ont pas encore fait, je vous invite chaudement à lire le passionnant tuto de @cmltb612 que je remercie encore pour son aide et ses précieux conseils : La science, c'est facile et c'est passionnant
-
photométrie PHOTOMETRIE - Un tutoriel Science participative - Version 2026
un sujet a posté cmltb612 dans L'astro autrement
Salut tous, Le dernier tuto “Photométrie” mis en ligne sur le forum (Etmo, 2008), utilisant Iris (Christian Buil) et une feuille de calcul, devenu largement obsolète, laissait comme orphelin un pan entier de l'astronomie scientifique amateur depuis longtemps. Il était grand temps d'actualiser tout cela, afin de montrer que le secteur se porte au mieux, et qu'il est même à la pointe de la recherche scientifique. La roue a tourné : de nouveaux matériels bon marché sont apparus. Des optiques ouvertes et de grande précision, avec de nombreux accessoires facilitateurs, des caméras extrêmement efficaces, des montures goto automatisées arrivent chaque jour dans les magasins spécialisés, par palettes entières, et des logiciels aux capacités époustouflantes ont vu le jour, pour nous aider dans notre cheminement de scientifiques en herbe. Profitons-en ! Ce tuto sera orienté débutant, petits budgets et petits matériels, de façon à ce que tout astram désireux de le faire puisse s'y essayer à moindre coût. Mais les amateurs détenteurs de gros diamètres et de matériels de pointe qui voudraient traverser le miroir avec des manipulations de plus haut vol sont également les bienvenus. On montrera que tout le monde peut réellement faire de la science, de la vraie science (avec de vrais morceaux de bravoure et d'aventure dedans), et que commencer avec un tout petit budget, sinon avec des “fonds de placards”, presque des “bouts de chandelles”, se fera sans démériter. Ainsi présenté, et dans les conditions énoncées (petit budget, tout petit matériel, appareil photo numérique simple), les cibles potentielles sont légions : impossible de donner un chiffre. Plusieurs milliers à plusieurs dizaines de milliers, jusqu'à la magnitude 11 ou 12, et possiblement jusqu'à la magnitude 14 en sacrifiant la résolution temporelle. Quant aux cibles accessibles à un diamètre de 150 à 200mm, et au-delà ... c'est presque tout le catalogue Gaia qui est à disposition, et des centaines de milliers d'astéroïdes et autres corps du système solaire. Etoiles variables, novae, SN, transits d'exoplanètes, transients, astéroïdes, comètes ... on peut tout mesurer ! La plupart des manips proposées dans le tutoriel ont été faites avec un APN et une petite lunette de 80/400 achro, diaphragmée à 50 mm, histoire d'inclure tout le monde. C'est un matériel qu'on peut pousser assez loin, avec un peu de ciel 😉 Et même en ville ... N'hésitez pas à le partager si vous le souhaitez, à me faire part de vos remarques et idées pour l'améliorer, et surtout, à me signaler toute erreur que vous aurez débusquée. On tâchera de le tenir à jour au long des années, s'il est possible, si ça intéresse. Le pdf est téléchargeable depuis la zone fichiers du forum : Ou depuis cette adresse, en haut de la page : https://millimagjournal.wordpress.com/ J'en profite pour vous signaler la création de la mailing-list Photometrica, orientée ... “photométrie”, conjointement à la publication de ce tuto, le but étant de pouvoir discuter matériels, software, filtres, techniques, observations, cibles, étoiles variables, transients, collaborations pro/am, et de bénéficier d'un système d'alerte rapide. https://groups.io/g/Photometrica Au plaisir de vous lire, Bons cieux, Christophe Edit : Petit complément pour aider à trouver des cibles, si besoin ... J'ai placé il y a un moment quelques fichiers .xls dans la zone téléchargement, qui permettent de s'y retrouver assez facilement parmi plusieurs dizaines de milliers d'étoiles variables, dont le catalogue GCVS 5, avec pas mal de binaires à éclipses ; ça se passe ici :- 7 réponses
-
- 13
-
-
Appel à observations le 01/12/2025 : binaire à éclipses non répertoriée
un sujet a posté cmltb612 dans L'astro autrement
Salut tous, Une chtite manip un peu limite ? Faudrait voir si ça peut se faire. Ce serait une première en ce qui me concerne, et je me suis dit que ça pouvait intéresser. En tirant des courbes un peu à droite à gauche, l'hiver dernier (faut aimer mettre les mains dans le cambouis), je suis tombé sur pas mal de variables non connues qui seraient à homologuer. L'une d'elle, beaucoup moins facile que les autres, avait retenu mon attention. Période longue a priori (393.25 jours), et seulement deux éclipses observées à ce jour. Tel quel, le problème est le suivant : avons-nous, dans les données, deux éclipses primaires, deux secondaires, ou une primaire + une secondaire ? Impossible de le dire pour le moment. Il y a beaucoup trop de trous dans la courbe. Et c'est justement parce que cette binaire à éclipses se dérobe, qu'il devient tentant d'essayer de la “capturer”. C'est le coup classique avec tout ce qui peut bien avoir envie de se dérober 😉 Il faudrait donc observer une troisième éclipse pour être sûr de notre coup. L'opportunité est pour le 01 12 2025, depuis la tombée de la nuit jusqu'en seconde partie de nuit (détail sur l'horaire un peu plus bas). Il faudrait aussi observer un peu le champ dans les jours précédents, afin de vcaler les données hors éclipse. C'est assez faible, comme cible, mais pas totalement couillu non plus. On est à la mag 16 globalement. La durée de l'éclipse est d'environ 4 heures, et la profondeur 0.16 mag, et ça se passe dans le Bélier. Il faudra observer dès que l'arrivée des premières étoiles dans le crépuscule, et ne pas attendre qu'il fasse bien noir, il serait possiblement trop tard. Si on parvient à observer ce soir là, avec un ciel pas trop bouché, on a alors deux cas de figure : - soit on observe une éclipse : la période suspectée est alors confirmée, ainsi que le type d'éclipse (primaire, secondaire). Dans ce cas, on pourra tenter d'observer ultérieurement une autre éclipse pour compléter les données, ce qui nous renseignerait davantage sur ce système. - soit on observe rien : alors il est fort probable que les données initiales soient entâchées d'erreurs : artefacts dans les données TESS, notamment. Dans ce cas, il faudra attendre de nouvelles données avant de ressortir ce dossier. Dans la courbe ci-dessous, on a trois éclipses possiblement observées par TESS. La première, à gauche, est en fait un probablement un artefact. Les deux autres sont a priori avérées, ainsi qu'on peut le voir en dessous. MAIS : il existe néanmoins un petit doute concernant l'observation en secteur 70 : Il s'agit du petit pic vers le haut dans les data sur les colonnes 4 et 5 (en partant de la gauche). Ce genre de pic est causé par le passage d'un petit corps du système solaire sur la cible. J'ai vérifié le champ complet plusieurs fois : aucun small body dans le champ n'est visible, ni sur la cible, ni sur les comps, ni avant, ni pendant, ni après l'éclipse, même en poussant le contraste. Le champ est clean en apparence. En tout cas, le point positif : l'éclipse (pic vers le bas) n'est visible que sur les 4 ou 5 pixels se rapportant à la cible, pas en dehors. Pour le secteur 85, on a encore une éclipse, de même durée/profondeur que celle du secteur 70, cette fois, sans parasitage des données. En secteur TESS 58, on retrouve une éclipse marginalement observée en toute fin de période, avant pointage du satellite sur une autre portion du ciel. On retrouve enfin des données (quelques points) dans les observation ZTF qui viennent confirmer les éclipses, la période et le type d'éclipses (primaires/secondaires). La période définitive s'établit ainsi : p = 157.3499 Demie période = 78.67 Le système parait très légèrement excentrique (quelques heures de décalage sur 78 jours). Ephéméride : l'éclipse est prévue pour le 01 12 2025 à 23h52 TU, durée environ 4 heures, profondeur 0.16 mag dans le rouge. Bien sûr, la certitude absolue n'existe pas. La seule chose à faire, c'est d'observer. Si vous souhaitez tenter le coup contactez-moi en privé afin qu'on se coordonne. Je vous passerais tous les détails nécessaires. Il faudrait pouvoir observer le champ au moins une fois (ou deux) quelques jours avant, histoire de faire des essais et d'avoir des mesures photométriques de calage (ça c'est très important). Puis, si on observe une éclipse le jour J, refaire une observation quelques jours plus tard. Je pense qu'il faut mini un T130/150, mais ça passe peut-être avec une L100/120, avec des poses bien longues sur un fond de ciel bien noir, ou en faisant du binning, en sacrifiant pas mal la résolution temporelle, avec une bonne caméra. Après tout, ce qu'on veut surtout savoir c'est s'il y a éclipse ou pas. Un bon signal est le plus important dans cette affaire. Pour la filtration, je pense que ce n'est pas important, pour la même raison que précédemment. Si on a une caméra N&B, on observe sans aucun filtre (clear). Ou alors en V si on a un gros diamètre avec des filtres photométriques. Si on a un APN ou une caméra OSC, on peut le tenter en TG. Sinon, nous avons affaire à un système B-V = 0.8, et les données TESS/ZTF sont en rouge. Il est possible qu'un filtre rouge améliore le signal et permette de mieux caler les données par rapport à ce qui a déjà été observé. Dernier point (le plus important ;-)) : si on observe une éclipse le 01/12, on pourra publier l'étoile au VSX. Tous ceux qui auront envoyé des observations seront co-découvreurs ! Bon cieux, Au plaisir, Christophe Les images accompagnant ce post : 1 éclipses observées : https://ibb.co/Q78D2vyr 2 recherche de période possible en fonction des données TESS disponibles : https://ibb.co/PGb4Pxz7 3 recherche de contaminants sur la cible, secteur 70 : https://ibb.co/BVY5xmfs https://ibb.co/m5HjzLhp https://ibb.co/cdF9cz6 4 exemple de contamination par le passage d'un asteroide sur la cible : https://ibb.co/BHRFs3Ld 5 données ZTF complémentaires : https://ibb.co/JWM6rgKs 6 calcul de période et éphéméride : https://ibb.co/QFFgHxH4 (En vert, les éclipses observées, entières ou partielles, en orange : éclipses observable depuis la France, en jaune depuis les USA) Pour les images et graphs, c'est un peu compliqué en raison du bug actuel. je peux illustrer davantage si besoin. Je passerai les données complémentaires (cartes et autres) aux astrams qui tenteront l'observation en privé. Vraiment désolé. -
Bonjour tous, APPEL AUX OBSERVATEURS La campagne d'observation de l'étoile b Per a débuté en 2013 et se poursuit au rythme de deux éclipses tous les 700 jours environ, séparées par quelques mois, l'une dite éclipse principale et l'autre secondaire. Il s'agit d'un système triple non optique, que l'on essaye de caractériser. Donald Collins est le scientifique référent, en liaison avec l'AAVSO. Nous avons pu observer une éclipse principale fin décembre 2021, et cette fois, il s'agit de se consacrer à l'observation de l'éclipse secondaire. Profondeur environ 0,5 mag, durée trois jours. La période d'observation débute DES A PRESENT, car il faut ancrer chaque courbe photométrique avant l'éclipse. L'étoile est très brillante, et il est assez facile de faire de bonnes images. Je peux donner un coup de main pour le débutant. Petit matos et simple APN OK. Il y a pas mal de suspense, car la réalité ne colle jamais tout à fait avec les prévisions de Don Collins ; en d'autre termes, on ne sait pas exactement quand ça va débuter, même si on en a une petite idée, combien de temps ça va durer, à quelle profondeur ça va aller, ni qui va avoir la primeur de crier "victoire" le premier, avec une observation positive. Belle émulation avec les collègues européens et américains. Ce doit être ma cinquième ou sixième observation depuis 2015, à la grosse louche, et j'y retourne chaque fois avec un plaisir consommé à l'avance. Petit plus cette fois : le ciel et la température seront plus cléments que les fois précédentes - en plein hiver glaglagla gel et tout ça au programme. RDV ici et sur le forum AAVSO pour les news. Ci-dessous, lien vers le post concernant la précédente éclipse, histoire de se mettre dans l'ambiance. Et ensuite, l'alerte AAVSO pour l'observation en cours. Bien à vous, hardis les mollets et bons cieux. C. _____________________________ AAVSO Alert Notice 791 September 9, 2022 AAVSO Forum threads (scroll to the bottom of a thread for latest posts): - Campaigns and Observation Reports: https://www.aavso.org/b-per-sep-2022-eclipse - Eclipsing Binaries: https://www.aavso.org/b-per-sep-2022-eclipse-01 Please subscribe to these threads if you are participating in the campaign so you can be updated by the astronomers and by HQ. Join in the discussion or ask questions there! Dr. Donald F. Collins (AAVSO member), Dr. Robert Zavala (US Naval Observatory, Flagstaff Station), Jason Sanborn (Lowell Observatory), and Dr. Anatoly Miroshnichenko (University N. Carolina, Greensboro) have requested highly time-resolved observations of the bright star b Persei during the upcoming predicted secondary eclipse of the third star as it passes behind the AB inner pair. They provide the following information: "The bright (4.6V) hierarchical triple-star system b Persei (HD 26961, HIP 20070, HR 1324, SAO 24531) consists of a non-eclipsing close-orbiting binary pair (1.53 d period) and a third star in a highly inclined orbit (period = 704.48 d). The close-orbiting binary pair shows ellipsoidal variation of about 0.06 magnitude peak-to-peak. The AAVSO has discovered that the third star undergoes eclipses with the close-orbiting binary pair. These consist of primary eclipses (the third star partially blocks the light from the close orbiting pair) and secondary eclipses (the close-orbiting pair partially or fully block the light of the third star). Previous AAVSO campaign* results beginning in January 2015 are shown in Figures 1 and 2. The light curves show out-of-eclipse ellipsoidal variations as well as relatively deep eclipses during the transits. Eclipses in the b Persei system were unknown until the first AAVSO observations in 2013 (Collins 2013). "The observation window should last at least 2 weeks beginning about September 19, 2022, which is about 10 days before the predicted date of mid-eclipse (UT September 29.41, 2022 ± 0.1 d ). It is important that observers observe several long time-series observations both before the eclipse and after the eclipse as well as all parts of the eclipse. “Observers are asked to obtain high-resolution time-series observations of long duration (several hours) in V (or the green channel from DSLR cameras) during the eclipses as well as as many as possible out-of-eclipse time-series observations of the system during the 20-day window centered on the September 29 eclipse (September 19 – October 8). Out-of-eclipse data are needed to calibrate the various offsets expected from different observing systems. “It is recommended to use the star labeled '55' (AUID 000-BLL-386 = HIP 20156 = SAO 39457 = HR 1330 = HD 270840) in the AAVSO finder chart at 5.456 V for the comparison star. For a check star HIP 20370 (J2000 RA, Dec = 04 21 45.47 +50 02 06.64) may be used if the observer's field of view is about one degree. This star is not in the AAVSO sequence. Any other AAVSO sequence stars may be used as a check star if available in the observer's field of view. New observers are welcome - especially Asian and Pacific observers to help fill the gaps in the transit light curves. Atmospheric scintillations are a major problem with bright star observations due to the necessary short exposure times. These are removed by obtaining many short exposures which can then be averaged by image stacking or averaging the results of many short exposures. "DSLR guidelines may be found in the AAVSO DSLR Observing Manual. Another resource for DSLR photometry may be found by Buchheim (2018, used with Buchheim’s permission) ." "Recent campaigns by AAVSO observers (AAVSO Alert Notices 476 (Jan 2013), 507 (Jan 2015), 537 (Feb 2016), 563 (Dec 2016), 610 (Jan 2018), 655 (Oct 2018), 688 (Dec 2019), and 721 (October 2020)) have revealed the following: 1. Both the primary and secondary transits show significant light curve dips in total brightness on the order of 0.1 mag to 0.5 mag. 2. Distinguishing between primary and secondary eclipses has been made possible from radial velocity observations by Anatoly Miroshnichenko, which are shown as a dashed curve for the December 2016 eclipse in Figure 1. The long period radial velocity of the A star shows that the A star begins to approach the Earth after passing from beyond the transit. Only the A star exhibits suitable spectral lines for RV measurements. 3. The orbital period for the C star is 704.5 ± 0.1 d, based on a linear fit to the fitted dates of the four high-resolved time-series of secondary eclipses. The previously published orbital period is 702 d (Hill 1976). 4. Each transit (or eclipse) is different – due to the lack of a simple commensurate relationship between the short period A-B stars and the long period of the of the AB-C triple system. 5. The deepest relative minimum observed occurred during the primary eclipse of January 2020 at mJD 1867.4 (Figure 2). The solid curve in Figure 2 (the simple model) calculates the result if the C star (spectral class F, luminosity 2 x Lsolar) is fully ingressed over the “disk” of the primary star A (spectral class A-V, luminosity 10 x Lsolar). Figure 1. The four previously-observed secondary eclipses of b Persei. The solid black curves are a simple model fit to the observations. The different colors and symbols in the observations represent the individual observations contributed by the various observers. The dashed sinusoidal curve in the middle panel represents the graphical radial velocity of the component star A based on data from A. Miroshnichenko. The red solid sinusoidal curves in each panel represent the fit to ellipsoidal data. The heavy black curves are a simple model fit to the observations. Figure 2. The four previously-observed by AAVSO primary eclipses of b Persei. The different colors and symbols for the observations represent the different observers who contributed to the data. The solid black curves are a simple model fit to the observations. The lighter sinusoidal curves represent the fit to ellipsoidal data. Coordinates (2000): R.A. 04 18 14.62 Dec. +50 17 43.8 (from VSX entry for b Per) Finder charts with comparison stars for b Per may be created using the AAVSO Variable Star Plotter (VSP). Please submit all photometry data to the AAVSO International Database via WebObs at the AAVSO site using the name “B PER”. Be sure to subscribe to the forum threads given above to be advised of latest developments, eclipse onsets, and observing ideas. References Buchheim, R. K. 2018, “Lessons from DSLR Photometry of b Per “Third Star” Eclipse (February 2018)”, SAS-2018 The Symposium on Telescope Science and ALPO Annual 2018 Meeting, Proceedings for the 37th Annual Conference of the Society for Astronomical Sciences [http://www.socastrosci.org/Publications.html] pp 71-77. [Note: Bob Buchheim has given AAVSO permission to make available a stand-alone copy of his presentation on the AAVSO web site for observers' easy access – dfc] Collins, D. F. 2013, “Observations of an Eclipse of bright star b Persei by the Third Star in February 2013”,, AAVSO Spring 2013 meeting, Boone, NC, abstract only (https://www.aavso.org/sites/default/files/spring%202013%20paper%20sched.pdf). This AAVSO Alert Notice was compiled by Elizabeth O. Waagen using material provided by Dr. Donald Collins and colleagues. ------------------------------------------------- SUBMIT OBSERVATIONS TO THE AAVSO Information on submitting observations to the AAVSO may be found at: - Photometry/visual observations: https://www.aavso.org/webobs - Spectroscopy: https://www.aavso.org/apps/avspec/ ALERT NOTICE ARCHIVE AND SUBSCRIPTION INFORMATION An Alert Notice archive is available at the following URL: https://www.aavso.org/aavso-alert-notices-for-observing-campaigns-and-discoveries Subscribing and Unsubscribing may be done at the following URL: https://www.aavso.org/aavso-alert-notice-subscribe ------------------------------------------------- Please support the AAVSO and its mission -- Join or donate today: https://www.aavso.org/apps/donate/ Copyright © 2022 American Association of Variable Star Observers, All rights reserved. You are receiving this email because you subscribed to the AAVSO Alert Notices. If you wish to unsubscribe, please go to your "My account" page on the AAVSO website and unclick the "Alert Notices" box under the "Email settings" tab. Thank you. Our mailing address is: American Association of Variable Star Observers 185 Alewife Brook Parkway, Suite 410 Cambridge, MA 02138
-
Bon jour à tous Je débute un peu en photométrie et j'ai tester RZ Lyr avec des poses de 7s (Je sais qu'il faudrait plus). L'acquisition se fait sous Nina avec une caméra ASI 1600MM sur un télescope de 250/1200. Dans la séquence j'ai tenté de mettre une temporisation mais cela n'a pas fonctionné. Pour ce qui est du temps de pose j'ai testé sur Plusieurs séances : 1- 15s , Gain 220 (Siril de détecte pas l'étoile 2- 7s et un gain de 139 (avec le Dithering) : 400 images sur environ 3 heures 3- 7s Gain 220 (SNR bien meilleur) : 1900 images sur un peu plus de 5 heures J'ai lu quelque part qu'il valais mieux éviter le Dithering 🤔 cela avais l'avantage d'espacer les poses. En résumé, je me retrouve avec des quantité d'images trop importante (pas besoin d'une résolution temporelle aussi importante) Auriez vous des conseils pour améliorer un peu tout cela ? Si on pouvais faire des temporisation cela permettrait de contrôler la résolution temporelle. Pour ce qui est des filtres je travail avec le filtre G d'un jeu de filtres LRGB pour le moment Cordialement Eric
-
Bonjour tout le monde, je vous présente mon travail de ces derniers jours. J'ai dû beaucoup bricoler et trier les données tout au long de la semaine, données tirées des archives open data de LCO Global. C'est une courbe de lumière d'un objet un peu spécifique : OJ-287 est tout simplement un quasar, donc un trou noir supermassif (17 milliards de masses solaires!) dont le disque d'accrétion est très lumineux, mais celui-ci est encore plus particulier car un second trou noir supermassif (100 millions de masses solaires) orbite autour du premier, traversant son disque d'accrétion en 2 points pendant son orbite. Les deux passages au travers du disque de matière surchauffée et sur-accelérée provoquent des flashs particulièrement violents. Seulement, la période d’occurrence de ces flashs (ou flares) est assez compliquée à établir car l'orbite même du "petit" trou noir, très excentrique, précesse autour du trou noir géant (comme Mercure autour du Soleil) : Les flares n'arrivent donc pas à intervalles réguliers et les plus grandes universités du monde font chauffer leurs supercalculateurs pour affiner leurs modèles. A priori maintenant on arrive tout de même à les prédire avec seulement 4h d'incertitude. Une petite vidéo sur Wikipédia qui montre bien le phénomène : https://upload.wikimedia.org/wikipedia/commons/transcoded/9/92/BlackHoleDiskFlareInGalaxyOJ287-animation-20200428.webm/BlackHoleDiskFlareInGalaxyOJ287-animation-20200428.webm.720p.vp9.webm Le quasar se trouve ici dans le ciel, dans la constellation du Cancer donc visible en ce moment si vous voulez photographier un objet distant de 3,5 milliards d'al.... Il est tout à fait accessible en photo. Notez son petit nom complet : QSO J0854+2006 qui est en fait très pratique ! QSO = Quasi Stellar Object (un quasar donc) 0854 = coordonnée d'ascension droite : 08h54min +2006 = coordonnée de déclinaison : +20,06° Et donc voici les courbes de lumières que j'en ai tiré, sur des données des 12 derniers mois. On voit que la courbe de lumière est complètement erratique, les émissions doivent être - on l'imagine - fortement perturbées par la binarité du système. Je trouve cet exercice tout bonnement passionnant ! J'ai peu-être d'autres pistes pour étudier cet objet, notamment en spectro... affaire à suivre PS : j'ai supprimé le post que j'avais fait dans l'autre sujet (merci les modos), je pense que ça mérite un sujet dédié (par contre @cmltb612 désolé tes posts ont sauté par la même occasion 😕 )
-
Bonjour tout le monde. Vous vous rappelez certainement de la supernova dans M101 il y a presque exactement deux ans. Découverte le 19 mai 2023, dès le lendemain la plupart des observatoires de la planète ont assuré un suivi de ce phénomène violent transitoire pour en déterminer sa nature. En fouillant dans les archives publique du LCO Global j'ai trouvé tout plein de données couvrant la période du 20 mai au 01 août 2023, avec un suivi quasi-quotidien de M101. Bingo ! Je télécharge donc tout ça, notamment toute les photos prises en bande B (bleu visible), ce qui représente 326 images fits prises depuis différents observatoires du globe, avec des télescopes et des capteurs différents... Autant vous dire que le premier challenge a été de trier tout ça ! Au final, j'en ai gardé 50 qui étaient exploitables, environ une par jour (avec un trou entre le 15 juillet et le 01 août). La plupart ont dû être écartées car la supernova était saturée sur le capteur : c'est rédhibitoire pour la photométrie. j'ai donc processé tout ça dans AstroImage J et j'ai sorti cette courbe : Puisque le style graphique d'AIJ est toujours aussi moche 😅 j'ai exporté les valeurs de magnitude et j'ai refait une belle courbe sur Excel : La forme de la courbe correspond à une supernova de Type-II-L, c'est à dire une supernova "à effondrement de cœur" dont l'étoile progénitrice avait une masse supérieure à 8 masses solaire, et "L" pour "Linéaire" dans la décroissance de sa luminosité. Sur la bande B, j'ai trouvé une valeur de pic de magnitude 11,13, je me suis donc dit que connaissant la magnitude observée et la distance de M101, je pourrais en déduire la magnitude absolue de la supernova ? Le calcul est assez simple et les trois valeurs sont reliées par l'équation suivante : m = 5log(D)+5+M+A avec : m = magnitude observée M = magnitude absolue D = la distance en parsecs A = l'extinction interstellaire. Cette dernière valeur est assez difficile à déterminer et potentiellement négligeable quand on vise hors du plan galactique. Sinon, j'ai fouiné et trouvé une ressource intéressante pour la trouver : https://irsa.ipac.caltech.edu/applications/DUST/ En moulinant tout ça, je trouve une magnitude absolue (dans la bande B donc) de -17,99... C'est dire la violence de ces phénomènes !!🤯 Je vous laisse, je retourne fouiller dans les archives... 👀
-
photométrie Photométrie : débutant en traitement des données
un sujet a posté GeoffreyJoe dans L'astro autrement
Bonjour tout le monde, passionné avant tout par le volet scientifique de la pratique de l'astronomie amateur, cela fait un moment que je voulais me mettre un peu sérieusement à la photométrie. Ayant un enchaînement de problèmes de matériel (manque de la bonne platine pour fixer mon téléobjectif à la monture, puis une fois la solution trouvée, motorisation en carafe...) je pensais ne jamais pouvoir m'y mettre. MAIS, j'ai trouvé sur le net une petite banque de données de photos de transits exoplanétaires ( ici : https://www.exoworldsspies.com/en/observers/ ), du coup je me suis lancé dans la partie traitement ! Je tiens tout d'abord à remercier publiquement @chrismlt pour son aide précieuse et nos multiples échanges en privé. Je vous encourage toutes et tous à visiter son blog : https://millimagjournal.wordpress.com/ . Je vous partage un des transits que j'ai traité, il s'agit de TrES-3b, traité avec AstroimageJ. J'ai, je pense, bien cerné les principes de la photométrie, le choix des étoiles de comparaison, etc. Il y a par contre pas mal d'infos dont je ne trouve pas vraiment la signification. J'ai parcouru la doc d'AIJ mais n'ai pas trouvé forcément de réponse claire à mes interrogations. Tout d'abord, quand le soft génère une courbe selon les paramètres que l'on rentre (période, type d'étoile, a/R, etc.), il sort une profondeur théorique du transit en mmag. Cette valeur est-elle liée à notre série de photos ? Ou seulement au calcul selon les données fournies ? En fait, comment savoir si nos observations collent avec les données connues 🤔? Pour les prédictions d'ingress/egress ok, c'est évident de voir si notre courbe est en avance ou en retard par rapport aux éphémérides. Mais pour la profondeur du transit par exemple ? Aussi, dans la partie "Fit statistics" à quoi correspond la valeur de RMS ? A la précision de nos données vis à vis du modèle déterminé par le calcul ? A la cohérence/dispersion des données entres elles (d'une image à l'autre) ? Y a-t-il un lien avec nos étoiles de comparaison ? Son unité est donnée en "parties par milliers". Mais milliers de quoi ? Globalement ce que je constate, c'est plus mes barres d'erreur sont petites, plus le RMS est bas, ce qui me fait dire que c'est une indication de la qualité de la mesure. Les autres données dans "Fit statistics", je ne sais tout simplement pas ce que c'est, mais si c'est vert j'imagine que c'est bon ! 🙃 Je suis preneur de tous les conseils et remarques qui pourraient me permettre de mieux comprendre cette pratique Ô combien intéressante, dans l'attente de pouvoir pratiquer toute la chaîne, depuis les acquisitions... D'avance merci de votre aide ! Geoffrey -
Bonjour tout le monde ! j'essaye actuellement de mesurer le transit d'une exoplanète avec mon matériel : -Newton 200/1000 -HEQ5 Pro GoTo -ZWO 294 MC PRO (imagerie) -Datyson T7c (guidage) -Astrophotography Tool (APT) pour la prise d'images Grâce à l'excellent guide (traduit en français) trouvable ici : https://astrodennis.com/Guide-FR.pdf J'ai pu m'approcher des mesures voulues. Cependant, l'un des éléments clés à contrôler c'est le temps d'exposition, pour avoir des étoiles ayant reçu "suffisamment de photons " (les pixels évidemment) mais pas trop long pour ne pas que l'étoile ne sature 😕 Ma caméra d'imagerie est une camera 14 bits, le nombre d' ADU max étant donc 2^14=16384. Je le place au gain unitaire de 120 (1 e-/ADU). Je ne sais pas comment contrôler la quantité d'électrons des pixels de l'étoile qui m'intéresse : j'utilise (du moins j'essaie ) l'outil d'APT Pixel Aid , qui en Bitmap mode donne les ADU en 8bits et en Fits Mode en 16 bits. Mince ! Sauriez-vous comment APT peut me donner des valeurs d'ADU bien supérieures à ma limite de 16384 ? Auriez-vous d'autres moyens de contrôler l'ADU à me conseiller ? Merci d'avance pour votre aide ! Bon ciel !
-
Je profite de ce jour historique pour la planète entière (je prends juste +1 an mdr...) pour annoncer le lancement d'un projet peut être farfelue... Ce projet à pour objectif de chercher et découvrir des exoplanètes en tant qu'astronomes amateurs. Pour se faire, j'ai créé un groupe.io pour discuter de cela et partager nos observations et peut être un jour... des découvertes ? Ces découvertes peuvent aussi être des binaires. Qui sait... En tout cas, ceux que l'aventure intéresse... c'est par ici : Exofinders+subscribe@groups.io Le projet en est à ses débuts et les calages se font déjà. Pour le reste... ben il faut le ciel dégagé ! Mon mail : thomas.mollier@saf-astronomie.fr Et si on ne découvre rien, on aura tout de même l'apéro. Et ca c'est cool ! Bonne suite à tous et je souhaite à tous les copains, copines astro, du ciel dégagé et encore du ciel dégagé !
-
Bonjour ! Je pratique la photométrie depuis peu, pour l'instant pour me familiariser avec les techniques et outils. Pour le moment, je me contente de produire des courbes sans objectif particulier mais pour aller plus loin il me semble qu'il faut s'intéresser à la réduction des données. Il y a pas mal de guides notamment sur l'AAVSO mais il y a un point que je ne suis pas sûr de comprendre... Je suis équipé astrophoto avec une caméra monochrome et des filtres LRGB. Du coup, est-ce pertinent de chercher les coefficients de transformation pour ces filtres ? Question subsidiaire, y-a-t-il une classification des cibles pertinentes en fonction de nos équipements, genre : (a) je n'ai pas besoin de filtres, (b) j'utilise mes filtres RGB standards, (c) j'ai besoin de filtres dédiés Jonhson ou autres . D'après ce que je comprends, il n'y a pas besoins de filtre pour le transit d'exoplanètes, par contre dans certains programmes sur les variables, il est demandé d'avoir des filtres spécifiques. Mon objectif à terme est de participer à des collaborations pro-am (sans trop m'équiper plus !). Merci pour vos lumières !
-
Salut les astrams, Tout est dans le titre. J'ai des connaissances assez limitées sous Python/Anaconda, et je cherche l'aide d'un astram assez patient pour m'aider à prendre en main un soft de photométrie sur lequel je me casse les dents : comment le lancer, et voir si on peut le faire tourner dans le sens espéré. Et ensuite, je pense que je me débrouillerai. Après, on peut envisager une collaboration à plus long terme si on se trouve un intérêt commun 😉 Il y aurait quelques paquets de data à creuser, dans une nouvelle aventure qui débute, pour laquelle nous sommes deux observateurs. A trois, il paraît que le mariage, c'est de la dynamite 😁 Merci par avance, Christophe
-
Salut tous, ! Les observations sont à commencer immédiatement ! Je relaie ici une alerte AAVSO pour l'observation de l'étoile 31 Cyg (V695 Cyg), binaire à éclipse de très longue période dont on sait assez peu de choses. Elle est connue depuis 1959 (j'ai trouvé un papier sur le site de l'ADS), et il semble qu'elle ait été observée en 2003 et 2013, mais pas très intensément. Cette fois-ci, c'est plus sérieux, et pas mal de monde se bouge autour de cette affaire. - période 10,4 ans (3784 jours) - magnitude 3.7 ; une supergéante K4 associée à une étoile de type B. - durée 17 février au 23 avril. Les phases partielles durent quelques jours (il y a des infos contradictoires). Mais l'étude de l'étoile est poussée jusque décembre 2024. - profondeur : environ 0.1 à 0.15 mag. - étoile comp : 30 Cyg Il y a au moins deux équipes qui travaillent là-dessus, et donc deux fils sur le forum AAVSO. https://www.aavso.org/aavso-alert-notice-851 et : https://www.aavso.org/eclipse-31-cygni-v695-cygni L'étoile a surveiller est très brillante, et du coup c'est facile, et ça se fait bien avec de toutes petites optiques, petites lunettes grand champ, téléobjectifs. Débutants bienvenus ! Un suivi de grande qualité n'est pas nécessaire, donc petit monture c'est parfait également. L'un des observateurs propose 15 sec avec un 50 mm, à l'apn. Pour ma part, j'ai commencé sur la lulu 80/400 diaphragmée à 50 mm, très défocalisée, poses de 2 ou 3 min, à 100 iso. Question spectro, ce n'est pas mon domaine, mais j'imagine que ce doit également être facile, vu la magnitude. C'est en seconde partie de nuit. Quelques poses tous les matins au moment du petit déjeuner, et hop !, mais je vais intensifier en passant à la surveillance "overnight" si les nuages veulent bien. Malheureusement, la saison est plutôt maigrichonne question ciel, et je n'ai pu la voir que 4 nuits seulement depuis le début du mois. Aurez-vous plus de chance ? Bons cieux, Christophe Le champ imagé, à 25% de sa taille réelle. Les cercles font respectivement 1 et 4 degrés de diamètre.
-
Salut tous, Je relaie un appel à observations pour 4 binaires à éclipses brillantes à très brillantes, qui seront conjointement observées en interférométrie optique par des pros, dont Denis Mourard (Observatoire de la Côte d’Azur) (Cocorico !) Il me semble que ça peut être sympa pour commencer un peu de photométrie sans se prendre le chou, et sans gros matos qui coûte un bras, pour ceux qui veulent y tater un brin. "😉" Edit du 24/04 2024 : après pas mal de cogitations, et quelques interrogations sur le forum AAVSO, avec pas mal d'intervenants, il apparait que non : pas sympa, ni facile pour débuter. Piégeux, oui. Il y a mieux pour débuter. C'est une alerte AAVSO. https://www.aavso.org/aavso-alert-notice-859 Note : je viens juste de lire l'alerte. Je n'ai pas vraiment pris le temps de creuser la question, mais c'est faisable avec un tout petit matos, style APN + objectif de 50 mm sur trépied, pour la plus brillante (mag 1.8) et lunettes de 50 à 80 mm, ou petit téléobjectif, sur monture EQ motorisation 1 axe d'entrée de gamme. Pour exemple, avec une L50/400 et canon 650D, la précision est de 0.01 à 0.02 mag sur ce genre de cibles, les doigts dans le nez. 😄 Alert Notice 859: Photometry and spectroscopy requested for bright binaries being observed with CHARA April 18, 2024 AAVSO Forum threads (scroll to the bottom of a thread for latest posts): - Campaigns and Observation Reports: https://www.aavso.org/chara-bright-binaries-photometry-spectroscopy-2024 Please subscribe to this thread if you are participating in the campaign so you can be updated by the astronomers and by HQ. Join in the discussion or ask questions there! Juraj Jonák and Dr. Denis Mourard (Observatoire de la Cˆote d’Azur) have requested AAVSO observers' assistance in obtaining photometry and spectroscopy of several bright detached binary variable stars in support of their study of these targets. INTRODUCTION Jonák writes: "With the recent installment of the CHARA/SPICA interferometer, located at Mt. Wilson, CA, USA we aim to observe a large sample of bright detached binaries in order to determine their visual trajectories. The goal is to use a robust combined model including interferometry, spectroscopy and/or photometry, which will open access to a wide range of direct mass determination and fundamental ingredients of the stellar evolution models. "Fundamental stellar parameters are the primary data required for an in-depth under- standing of stellar evolution, interiors, and environments...Spectroscopic binary systems provide direct information on stellar mass and structure from the mutual interaction via radial velocity of orbital motion. However, this method is highly dependent on the inclination of the orbit, which cannot be determined purely from spectroscopy...This dependence can be alleviated by combination with observations of eclipses...In fact, the method of simultaneous modelling of spectroscopy and photometry has been a common method since the 1970s. A different approach is utilising interferometric measurements. Although these don’t necessarily require viewing the system edge-on, they demand other constraints on the system...Naturally, the observations are not mutually exclusive, and in fact, using all of them can improve our understanding of the system. "The SPICA team has 5 nights per month allocated for observing with the CHARA/SPICA instrument from now through July 2024. However, as our goal is to study the entire orbit, simultaneous observations are not required or preferred." OBSERVER INSTRUCTIONS Observations are requested now through July 2024. Updates to observer instructions will be made via the forum above, so please be sure to subscribe to it. Photometry Photometric observations are requested for the 4 eclipsing binaries (Table 1) during their respective primary and secondary minima. CCD/CMOS and PEP observations are preferred. Filters: To determine the orbital period, measurements in one standard filter (Johnson or Cousins, preferably Johnson V) are sufficient. Observations in multiple filters are welcome as they will give further constrains on the stellar parameters. Cadence: For eclipses, requirements are a time series of at least 10 points and additional 5 points outside the eclipse to establish the magnitude level. To properly model the stars, three complete primary minima observations are needed, and, if present in the system, two secondary minima should suffice. Notes to CCD/CMOS observers: For targets brighter than 5th magnitude, please stack images to a minimum of 10 seconds to reduce scintillation. For all targets, be careful not to saturate. PEP-style photometry will be required because of the location of the comparison and check stars; it is essential to use these comp/check stars so datasets from different observers will be homogeneous. REPORTING OBSERVATIONS and CHARTS Please report all observations to the AAVSO International Database or to AVSpec using the names as given in the tables. Charts with comparison and check stars for the photometry targets are shown below (click on the image to access a downloadable version). Charts for these stars (but without the comp/check stars highlighted) and spectroscopy targets may be created using the AAVSO Variable Star Plotter (VSP). LES CARTES SONT TELECHARGEABLES DEPUIS LE SITE AAVSO (voir lien vers message d'alerte, en haut de ce post) Je ne les pose pas ici. Bons cieux, Christophe
-
Bonjour à tous ! Pour ceux que ca intéresse... Il y a la page Gemini et le groupe.io ! Appel à science participative ! BD +18 3433 pourrait déjà être en éclipse primaire de longue durée (nominalement : 1 semaine), avec une probabilité de 63 %. L'éclpse est déjà possible à2 sigmas, et l'intervalle d'éclipse à 1 sigma commence le 23 mars et se prolonge bien au-delà de mai. HD 156285 pourrait déjà être en éclipse secondaire de longue durée (nominalement : 1 jour), avec une probabilité de 96 %. L'intervalle d'éclipse à 1 sigma termine le 5 avril, et l'intervalle à 2 sigma va jusqu'au 20 avril. La page Gemini : https://proam-gemini.fr/suivi-detoiles-binaires-a-eclipse/ Le groupe de discussion : https://groups.io/g/BASE/topics Pour la météo.... je n'y peux rien 🤣
-
Salut tous, Il pleut ... On s'amuse comme on peut. Il y en a qui tripatouillent un peu du côté de LightKurve, le package Python qui permet - notamment - de récupérer des LC, des KeplerTargetPixelFiles, des tesscuts et autres "produits" dérivés des missions TESS et Kepler ? Oui, oui, je sais, c'est du chinois, et ça l'est encore beaucoup pour moi également. Je débute juste, mais cela fait des années que l'idée me traine entre les oreilles. 😉 https://docs.lightkurve.org/tutorials/1-getting-started/using-light-curve-file-products.html Je n'ai pas beaucoup de bagage Python à la base, mais on se débrouille, et les premières courbes s'épanouissent sur l'écran, désormais. Des étoiles sélectionnées sur la voûte céleste, et non plus celles données en exemple dans le bac à sable. Pas facile à prendre en main, pas de tuto genre "Lightkurve pour les nuls". On met les doigts dans le cambouis tout de suite. Il existe un nombre invraisemblable de commandes disponibles, à taper en ligne, à l'ancienne, même si le tout est qualifié de "user friendly", une quantité faramineuse d'exemples, et beaucoup beaucoup de pages de doc, entièrement en anglais. Des exemples et lignes de commandes qui se contredisent parfois, différentes pour chaque mission (Kepler/Tess) desquelles il faut commencer par tirer une philosophie de la globalité, un sens général, avant de pouvoir avancer un peu, par (petites) étapes. L'impression parfois d'être un (très modeste) Champollion devant une pierre de Rosette des temps modernes. Reste encore à apprendre comment améliorer la photométrie (déterminer la meilleure "aperture"), à "détrender" les courbes, à zoomer dans les portions les plus intéressantes, à utiliser le périodogramme, toussa toussa, mais le plus gros est fait : ça veut bien s'afficher. Une folle aventure peut-être, ensuite. Supputer des étoiles susceptibles de montrer des transits d'exoplanètes en fonction de leurs propriétés physiques, puis examiner leur LC, confirmer des variables, des SN ... En gros 85% du ciel est accessible, de la magnitude 9 à 15, voire plus brillantes que 9, et jusqu'à 19 dans certains cas, en additionnant les poses (source : TESS NASA). Seule, la zone du ciel relative à l'écliptique n'est jamais visée par TESS, en raison de la présence de la Terre, de la Lune et du Soleil, et parce que les astéroides y pullulent. Mais ces zones ont pu être visées par le passé par la mission K2 (à vérifier). Edit : Complément d'info : dans le secteur actuellement en cours d'observation par TESS, les cibles vont de magnitude 3 à 20.98. Pour les cibles inférieures à 16 on est sur des poses de 2 secondes, sauf exception ; au-delà, on passe à des temps d'exposition de 20 secondes. J'ignore quel est le SN atteint sur les cibles les plus faibles. Pour les étoiles les plus brillantes, il semble qu'il y ait un phénomène de saturation du capteur (mag 4 et moins), mais des tests ont été menés qui ont démontré que les pixels saturés "bavaient" en fait sur les pixels voisins, et que ça donnait malgré tout de bons résultats, à condition de bien régler les apertures. Si je table bien, c'est en fait la totalité du Gaia DR3 qui est donc accessible, avec une bonne photométrie en série, soit plus de 1.8 milliard d'étoiles, cela uniquement pour la mission TESS - il faut encore ajouter les data des missions Kepler et Kepler K2. Sachant que le dernier catalogue TIC en data (v8.2) se pèse au moins en dizaines de millions d'étoiles, et possiblement en centaines (chiffre exact pas trouvé, mais le Candidate Target List (CTL) V8 comptait déjà 9.5 millions d'entrées), ça laisse beaucoup de place pour sortir des sentiers battus. https://outerspace.stsci.edu/display/TESS/TIC+v8.2+and+CTL+v8.xx+Data+Release+Notes https://outerspace.stsci.edu/display/TESS/TIC+v8+and+CTL+v8.xx+Data+Release+Notes C'est Tonton Arxiv qui n'a pas fini de me voir débouler chez lui pour l'apéro.🤪 On s'amuse comme on peut. Si ça intéresse, on peut partager, développer le sujet, rédiger une sorte de tuto au fur et à mesure des progrès effectués dans la compréhension du truc, placer du code, enfin ce qu'on veut 😉 Christophe
-
Salut tous, Le site ProAM Gemini propose, en collaboration avec Jean-Louis Halbwachs (Université de Strasbourg, CNRS, Observatoire astronomique de Strasbourg), de découvrir si, pas moins de 41 étoiles suspectées d'être des binaires à éclipses à longue période (plusieurs centaines de jours), en sont réellement, et de découvrir et observer ces éclipses - qui n'ont jamais été observées. Ces étoiles présentent des caractéristiques telles que la probablité qu'elles soient en réalité bel et bien des binaires à éclipses est très importante. HD29410 et HIP8342 sont les deux premières étoiles pour lesquelles une éphéméride est publiée. HD29410 est de mv 7.56, à surveiller en décembre 2023, tandis que HIP8342, qui pointe à 8.69, est à suivre en janvier 2024. Des étoiles brillantes, donc. Les durées des éclipses (>22heures et >14 heures) ne sont données qu'à titre indicatif. Elles peuvent être largement surestimées. Les profondeurs ne sont pas davantage connues. Autrement dit, il s'agit de trouver des aiguilles de taille et d'aspect inconnus dans une belle botte de foin. La chasse au trésor, quoi ! Les infos ici : https://proam-gemini.fr/suivi-detoiles-binaires-a-eclipse/ Des astrams intéressés ? De tels suivis sont faciles, et ça peut rapporter gros 😉 Christophe
-
Bonjour à tous, J'aimerais beaucoup avoir des renseignements à propos de spectro et de photométrie, deux domaines pour lesquels j'ai l'impression que les ressources se font plus rares que l'astrophoto... Ces deux domaines me paraissent assez vagues, mais j'aimerais vraiment en savoir plus, car quand je vois tout le monde faire des courbes photométriques, j'ai juste envie de me lancer… Mais avec quelques recherches (aussi minces soient-elles), je peine à avoir assez d'informations, alors peut-être que lancer un sujet pour néophytes serait intéressant ? D'abord, je me demande vraiment quel matériel, quels montages adopter. Aussi, mais pour cela, je pourrais me renseigner de mon côté aussi, savoir précisément que recherchons-nous avec de la spectro et de même pour la pohtométrie... Est-ce onéreux de se lancer dans ces domaines ? étant donné que j'ai la chance d'avoir à disposition un c8 edge récent et une superbe eq6r ! (mais aussi un 100-400mm ) J'ai hâte d'en savoir plus, Merci par avance et bon ciel
-
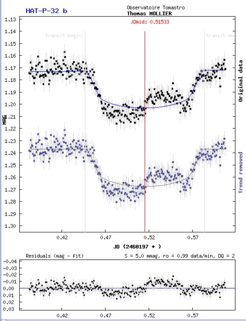
Ca mouline, ca mouline ! 5 exoplanètes de plus ce qui amène mon compteur à plus d'une trentaine d'observations pour le moment. On a donc dans cette mouture... HAT-P-65 b, située à 2 400 années lumière de nous, non loin de la constellation du Dauphin. Elle fait la moitié de notre Jupiter et tourne autour de son étoile en 2 jours et demi. WASP-114 b, dont je n'ai qu'une partie de la courbe photométrique se situe à 1 700 années lumière dans la constellation de Pégase fait presque 2 fois Jupiter en masse et à une révolution d'un jour et demi ! WASP-92, à 1 875 années lumière dans la constellation d'Hercule. Presque aussi grande que Jupiter, c'est aussi une "jupiter chaude" tournant en 2,2 jours autour de son étoile. HAT-P-32 b, à 943 années lumière dans la constellation d'Andromède est encore une Jupiter chaude faisant presque 2 fois Jupiter en taille et tournant en 2,2 jours autour de son Soleil. Kepler-17 b, située à 2 751 années lumière, dans la constellation du Cygne. Elle est un peu plus grande que Jupiter et tourne en un jour et demi autour d'une étoile un peu plus grande que la nôtre. Voilà donc pour le moment ! Ces courbes ont été prises avec un Newton 300 mm par 1 361 mm de focale, sur EQ8, avec une ASI1600MM et un filtre 'r SLOAN. Généralement, une centaine d'images à 120 sec et Gain proche de 1. Observatoire Tomastro.
