Aller au contenu

Messages recommandés

Posté

Bonsoir à tous,

 

Après un essai infructueux le 20/09 dernier, j'ai retenté le coup le 06/10.

Cette fois, j'ai allongé le temps de pose (120 secondes) en espérant obtenir une meilleure précision.

 

Le matériel utilisé :

- Télescope Amateur de Calern (Newton 400/2000 sur une AP1600)

- ATIK 314L+

- Autoguidage au diviseur optique et Lodestar

- Filtre rouge pour le second transit.

- Le canapé-lit du TAC pour faire dodo pendant les poses...

 

Les cibles :

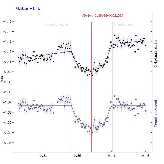
- Qatar1b, dans la constellation du Dragon, découverte en 2010, qui orbite autour de son étoile en 34 heures. Le transit dure 96.7 minutes pour 0.0204 magnitude.

 

22813-1444678470.jpg

 

- HAT-P-32b, dans la constellation d'Andromède, découverte en 2011, qui orbite autour de son étoile en 52 heures. Le transit dure 186.5 minutes pour 0.0244 magnitude.

 

22813-1444678517.jpg

 

Le prétraitement a été effectué avec MaximDL.

La réduction des données avec Muniwin.

Le graphique est généré par le site ETD.

 

Bon ciel à tous !

Posté (modifié)

Certaines exoplanètes sont largement à la portée des amateurs et là c'est une nouvelle démonstration de main de maître ! Un grand bravo pour ce travail. ;)

 

Albéric

Modifié par xs_man
Posté

je m'interroge sur HAT-P-32b

n'y aurait il pas 2 exoplanètes?

car le premier creux dans la baisse de magnitude m'interroge

mais bon je ne suis pas expert:rolleyes:

Posté
Certaines exoplanètes sont largement à la portée des amateurs et là c'est une nouvelle démonstration de main de maître ! Un grand bravo pour ce travail. ;)

 

Merci !

 

Beaux résultats !

Dans Muniwin, tu as utilisé une ou plusieurs étoiles de comparaison ?

 

Merci ! Je n'ai utilisé qu'une étoile de comparaison et une étoile de vérification. Avec mon petit capteur, je n'avais pas trop d'étoiles possibles (non saturée et assez brillante).

 

je m'interroge sur HAT-P-32b

n'y aurait il pas 2 exoplanètes?

car le premier creux dans la baisse de magnitude m'interroge

mais bon je ne suis pas expert:rolleyes:

 

Je pense que c'est plutôt dû aux erreurs de mesure.

Rejoignez la conversation !

Vous pouvez répondre maintenant et vous inscrire plus tard. Si vous avez un compte, connectez-vous pour poster avec votre compte.

Invité
Répondre à ce sujet…

×   Collé en tant que texte enrichi.   Coller en tant que texte brut à la place

  Seulement 75 émoticônes maximum sont autorisées.

×   Votre lien a été automatiquement intégré.   Afficher plutôt comme un lien

×   Votre contenu précédent a été rétabli.   Vider l’éditeur

×   Vous ne pouvez pas directement coller des images. Envoyez-les depuis votre ordinateur ou insérez-les depuis une URL.

  • En ligne récemment   0 membre est en ligne

    • Aucun utilisateur enregistré regarde cette page.
×
×
  • Créer...

Information importante

Nous avons placé des cookies sur votre appareil pour aider à améliorer ce site. Vous pouvez choisir d’ajuster vos paramètres de cookie, sinon nous supposerons que vous êtes d’accord pour continuer.