Aller au contenu

Messages recommandés

Posté
Ca mouline, ca mouline ! 5 exoplanètes de plus ce qui amène mon compteur à plus d'une trentaine d'observations pour le moment. On a donc dans cette mouture...
 
HAT-P-65 b, située à 2 400 années lumière de nous, non loin de la constellation du Dauphin. Elle fait la moitié de notre Jupiter et tourne autour de son étoile en 2 jours et demi.
 
Capturedcran2023-10-28222854.thumb.png.60c4fe204cb2cf0a6c79b9e0ce346a0e.png
 
Capturedcran2023-10-28223036.png.87b371ad05a2d5a2ca97ca80489a3709.png
 
WASP-114 b, dont je n'ai qu'une partie de la courbe photométrique se situe à 1 700 années lumière dans la constellation de Pégase fait presque 2 fois Jupiter en masse et à une révolution d'un jour et demi ! 😮
 
Capturedcran2023-10-28223548.png.5cacaa3d76f58818cb5717a48d1d6be5.png
 
WASP-92, à 1 875 années lumière dans la constellation d'Hercule. Presque aussi grande que Jupiter, c'est aussi une "jupiter chaude" tournant en 2,2 jours autour de son étoile.
 
Capturedcran2023-10-28223649.thumb.png.f9757e4c7940d89272d8e210afb9e29d.png
 
 
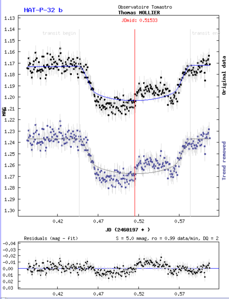
HAT-P-32 b, à 943 années lumière dans la constellation d'Andromède est encore une Jupiter chaude faisant presque 2 fois Jupiter en taille et tournant en 2,2 jours autour de son Soleil.
 
Capturedcran2023-10-28224109.thumb.png.4dadaa6ede0ad93f40b3824bb2b55ead.png
 
Kepler-17 b, située à 2 751 années lumière, dans la constellation du Cygne. Elle est un peu plus grande que Jupiter et tourne en un jour et demi autour d'une étoile un peu plus grande que la nôtre.
Voilà donc pour le moment !
 
Capturedcran2023-10-29111448.thumb.png.c5f5b542c497ce483a3ea2edd1e8a89f.png
 
Ces courbes ont été prises avec un Newton 300 mm par 1 361 mm de focale, sur EQ8, avec une ASI1600MM et un filtre 'r SLOAN. Généralement, une centaine d'images à 120 sec et Gain proche de 1.
 
Observatoire Tomastro.
  • Merci / Quelle qualité! 4
Posté

Bonjour Thomas,

 

Superbe boulot....!!!!

Qui donne envie de s'y mettre, surtout maintenant que notre observatoire est opérationnel après deux ans de travaux...

 

Une petite question: pourquoi le filtre rpr, quels sont ces références, et peut on commencer sans ce filtre? Dans un autre post tu parles de  filtre SLOAN 'r...?

 

JL

Rejoignez la conversation !

Vous pouvez répondre maintenant et vous inscrire plus tard. Si vous avez un compte, connectez-vous pour poster avec votre compte.

Invité
Répondre à ce sujet…

×   Collé en tant que texte enrichi.   Coller en tant que texte brut à la place

  Seulement 75 émoticônes maximum sont autorisées.

×   Votre lien a été automatiquement intégré.   Afficher plutôt comme un lien

×   Votre contenu précédent a été rétabli.   Vider l’éditeur

×   Vous ne pouvez pas directement coller des images. Envoyez-les depuis votre ordinateur ou insérez-les depuis une URL.

  • En ligne récemment   0 membre est en ligne

    • Aucun utilisateur enregistré regarde cette page.
×
×
  • Créer...

Information importante

Nous avons placé des cookies sur votre appareil pour aider à améliorer ce site. Vous pouvez choisir d’ajuster vos paramètres de cookie, sinon nous supposerons que vous êtes d’accord pour continuer.