Aller au contenu

Utilisation d'une raquette goto


michel2055

Messages recommandés

Posté

Bonjour à toutes et tous. Je viens de recevoir la raquette goto Synscan pour ma monture Heq5, je souhaiterai savoir si une personne aurait la notice d'utilisation en français si c'est possible de ce matériel, car il m'a été livré sans aucun mode d'utilisation, ou si on pouvait me diriger sur un site pour que je puisse télécharger cette documentation, d'avance merci.

Posté
...car il m'a été livré sans aucun mode d'utilisation...

Ce n'est pas normal! Où l'as tu achetée, sans indiscrétion?

Posté

Bonjour,

 

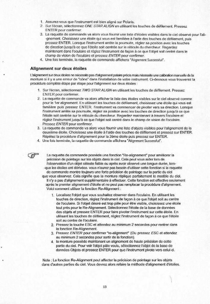
La version francaise correspond au menu de ma bonne vieille raquette.

 

Attention ! C'est une documentation correspondant probablement à une version antédiluvienne du firmware ! :rolleyes:

 

Je pense qu'il faudra faire un mixte de la version francaise et des liens proposés par Galliléo_931 par exemple.

 

Le mieux serait effectivement d'exiger une doc en francais à jour... et de nous la scanner ! ;)

 

Jean

Posté
Bonjour,

 

La version francaise correspond au menu de ma bonne vieille raquette.

 

Attention ! C'est une documentation correspondant probablement à une version antédiluvienne du firmware ! :rolleyes:

 

Je pense qu'il faudra faire un mixte de la version francaise et des liens proposés par Galliléo_931 par exemple.

 

Le mieux serait effectivement d'exiger une doc en francais à jour... et de nous la scanner ! ;)

 

Jean

 

 

Cest fort possible , ma monture date de juin 2007 et la doc aussi .

Posté
Bonjour je l'ai acheté SUR LE SITE promo optique, et la facture qui m'a été retournée est à l'entête de MEDAS adresse mail http://www.medas.fr

 

Bonjour,

 

J'ai aussi fait upgrader ma HEQ5 en GoTo par Optique et Vision et j'ai eu la notice en français et en anglais de la part de Medas.

Il te suffit de la réclamer à mon avis.

 

Michel

Posté

Bonjour, tout à fait il ,m'a été répondu pâr mail que Medas allait me transmettre la notice d'utilisation de la raquette et que cela était simplement un oubli.

Archivé

Ce sujet est désormais archivé et ne peut plus recevoir de nouvelles réponses.

  • En ligne récemment   0 membre est en ligne

    • Aucun utilisateur enregistré regarde cette page.
×
×
  • Créer...

Information importante

Nous avons placé des cookies sur votre appareil pour aider à améliorer ce site. Vous pouvez choisir d’ajuster vos paramètres de cookie, sinon nous supposerons que vous êtes d’accord pour continuer.