Aller au contenu

Messages recommandés

Posté

Chouette, des équations :)

 

Je sais à qui les proposer, il y en a un qui en très friand en ce moment sur le forum ;)

Posté (modifié)

Bon allez, quand le vin est tiré, il faut le boire :vin::amigos:

 

Bonne nuit :dort:

Modifié par pat59
Posté

Bon ben , ai pas trouvé la formule pour calculer le lovume , euh , hippps , le volume d' un notteau de vin ! euh d' un tonneau ...

Tant pis , burpppp . Vais me coucher .... Nonne buit !:D

Hiiippppsss ! Rrrroonnn Zzzzzz , Rrrronnn Zzzzzzzzzzzzzzzzzzz....

Posté (modifié)

Bonsoir,

 

Je poserai bientôt un quizz, en fait dès que j'en trouverai un "décent" :D (promis ça va arriver).

 

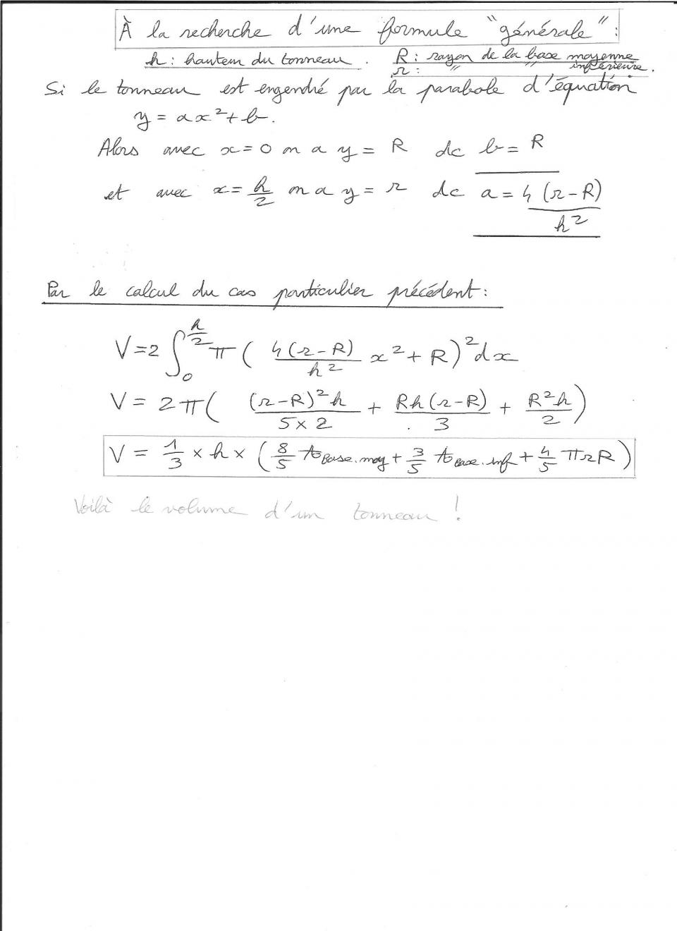
Juste pour ceux qui auraient creusé le calcul du volume d'un tonneau:

 

J'ai d'abord répondu aux deux première questions de ce lien avant de traiter le cas général assez rapidement en me servant de ce que j'avais fait précédemment. Je suis toutefois allé vite sur certains calculs car nous sommes de toute façon sur un forum d'astronomie et non de mathématiques :) .

 

http://www.lmrl.lu/mathematiques/TI/1re/BCD/tonneau_a_vin%20FE.pdf

 

 

 

PS: mince le rouge ne ressort pas bien :confused:

Pour ceux que ça intéresse je me suis fortement inspiré de ce lien pour le calcul du volume d'un solide en révolution (et donc d'un tonneau en particulier)... car disons que je ne maitrise pas vraiment le calcul d'intégrales double et triple ( promis j'arrête mon délire mathématiques maintenant :b: ):

 

calculintegral.csaint-pierre.ep.profweb.qc.ca/wp.../03/P02_Volumes.ppt‎

 

EDIT:

 

Je viens d'aller voir Wikipédia...eh bien mon message devient pratiquement inutile car les grandes lignes sont données par wiki ... quelle mine d'information quand même internet :)

1.thumb.jpg.b4096077f35114554e123ae18a99a206.jpg

2.thumb.jpg.0518b39f7eb0a4b12cc6bf7d9e5c44c3.jpg

3.thumb.jpg.edabc7446bd200d25fd24a2d46a7bc5d.jpg

Modifié par adri92
Posté (modifié)

Une toute petite énigme pour la route:

 

Je ne me suis pas caché, mais vous ne m'avez pas vu. Je fus 3 astres de natures différentes à vos yeux. Qui suis-je ?

Modifié par adri92
Posté

Bonjour (il fait beau :))

 

Bravo Adri pour ces Maths de nuit

 

J'ignorais totalement cette notion de "solide de révolution"

http://fr.m.wikipedia.org/wiki/Solide_de_révolution

Une illustration de plus du fait que les humains se spécialisent sur la planète : chacun cogite sur des choses différentes (et c'est très bien ainsi :beer:).

 

@Merci Pat pour le code du :dort:

(en faisant "répondre" j'essaye d'assimiler progressivement les smileys ;))

Posté
Une toute petite énigme pour la route:

Je ne me suis pas caché, mais vous ne m'avez pas vu. Je fus 3 astres de natures différentes à vos yeux. Qui suis-je ?

Mes trois appellations permettent-elles au poète de faire des rimes en "ar" :) ?

Posté (modifié)
Mes trois appellations permettent-elles au poète de faire des rimes en "ar" :) ?

 

Complainte de l'astram au clair de lune :violon:

Par-delà la fenêtre, le temps paraît blafard

Le cri rauque des rainettes résonne au hasard

Je prépare la bête, j’enfile mon falzar

Je pars à la conquête des mystérieux quasars

Pas de trace de comète, rien donc sur les radars

Ni même une planète éclairant comme un phare

L’attente est très longuette dans ce vaste bazar

Au travers d'la lunette rien d'autre qu’un grand trou noir

Dernière cigarette, à présent il est tard

En effet fin d'la fête, car voilà le brouillard :confused:

Modifié par pat59
La poésie c'est tout bête, mais ça fiche le cafard
Posté

Yui:

 

Les maths de nuit sont du à un décalage horaire car je suis revenu lundi matin d'une semaine à New York ( parti à 16h30 de New York à l'heure New Yorkaise (6 heure de retard), pas dormi dans l'avion et arrivé à 5h30 heure de Paris le matin, dodo de 10h à 18h, puis je me suis couché ce matin à 8h, et je viens de me réveiller...du coup pour observer c'est génial car il est possible de profiter de la nuit entière ;) ).

 

Euh non je ne crois pas que mes trois appellations riment en "ar". Dis moi toujours ce à quoi tu penses au cas où.

 

pat59:

 

Merci pour ce beau poème ! :)

 

 

Comme mon énigme peut sans doute désigner pleins de choses, je précise en donnant un indice:

 

Vous avez découvert la vrai nature de mon fils et petit fils avant de découvrir la mienne.

Posté

Euh non je ne crois pas que mes trois appellations riment en "ar". Dis moi toujours ce à quoi tu penses au cas où.

 

 

A mon avis il pensait à quasar, pulsar, magnetar ;)

 

Serait-ce Cassiopée A, rémanent d'une supernova observable au 17ème (mais qui n'a pas été observée), et dans lequel se cache une étoile à neutrons, voire peut-être un un pulsar ?

Posté
A mon avis il pensait à quasar, pulsar, magnetar ;)

le problème de mes communications télépathiques avec Pat c'est que pour le moment elles ne fonctionnent que dans un seul sens...

 

:D'

 

C'est costaud ce que tu proposes quant à toi dis-moi !

Posté

Non ce n'est pas Cassiopée A. (mais merci pour l'info !)

 

Ma magnitude est d'environ 6. (de mémoire ^^)

 

Là je crois que la réponse ne va pas se faire désirer...

Posté (modifié)

Euh... Uranus ?

 

Père de Chronos (Saturne) et grand-père de Jupiter.

Herschel l'a d'abord prise pour une nébuleuse ou une comète.

Modifié par pat59
Posté (modifié)
Euh... Uranus ?

 

Père de Chronos (Saturne) et grand-père de Jupiter.

Herschel l'a d'abord prise pour une nébuleuse ou une comète.

 

BRAVO pat59 !!!

 

Je pensais effectivement à Uranus , et tu as tout dit !

Je donne le lien wiki pour ceux voulant se documenter:

 

http://fr.wikipedia.org/wiki/Uranus_(plan%C3%A8te)

 

Effectivement, sa magnitude permettait son observation, mais sa période de révolution lente, environ 84 ans, a fait penser pendant longtemps qu'il s'agissait d'une étoile. Après l'invention du télescope, Herschel l'a d'abord prise pour une nébuleuse ou une comète (copier-coller de pat59 :be: ), avant de découvrir sa vrai nature le 26 avril 1781 (ou plutôt il s'agit de la date de l'annonce de sa découverte).

 

PS: Je vous promets de m'améliorer pour poser de bon quizz ! :D

Modifié par adri92
Posté

Bonjour à toutes :) et bonjour à tous :) ,

 

Voici une petite énigme cinématographique ;) :

 

Quelle particularité astronomique est liée au film "Barabbas" de Richard Fleischer, sorti en 1961, avec Anthony Quinn comme vedette principale ?

 

x-barabas.jpg

 

Roger le Cantalien. :rolleyes:

Posté

Bonjour Roger :)

 

Ça sent l'éclipse à plein nez ;) (C'est pas ce qu'on voit, sur l'affiche, entre le R et le A ? :?:)

Posté
Bonjour Roger :)

 

Ça sent l'éclipse à plein nez ;) (C'est pas ce qu'on voit, sur l'affiche, entre le R et le A ? :?:)

Bonjour Patrick, :)

 

Damned, je n'avais point examiné assez attentivement l'affiche !... :cry: :cry: :cry:

 

Alors, qu'elle est exactement cette particularité astronomique (qui, à ma connaissance est restée unique) ? ;)

Posté
Oh je vois ! Les futés... Ils ont profité de l'éclipse du 15 février 1961 pour reconstituer l'éclipse qui aurait eu lieu au moment de la crucifixion...

 

Pas bête ! ;)

 

http://xjubier.free.fr/site_pages/solar_eclipses/TSE_19610215_pg01.html

Bravo Patrick, le Ch'timi :be: :be: :be:

 

Effectivement, la particularité astronomique du film "Barabbas" de Richard Fleisher (avec Anthony Quinn comme acteur principal) est d'avoir profitéde l'éclipse totale de Soleil du mercredi 15 février 1961 (n° 7 547 dans le "Canon" d'Oppolzer) pour tourner en Italie (très précisément à Roccastrada en Toscane) la scène de la crucifixion du Christ.

 

1961-02-15.gif

 

ERROR: Si vous lisez ce texte, YouTube est hors-ligne ou vous n'avez pas installe Flash

 

Roger le Cantalien. :rolleyes:

Posté

Il s'agissait de ne pas se planter, ils n'avaient pas droit à l'erreur !

 

(Bon Anthony, ça va pas là coco, tu nous la refais ! :mad: Tu me la joues plus rebelle ! Tu... Quoi ?!? :?: On peut plus tourner ?

Rappelez-moi la lune ! Et plus vite que ça ! ! ! :cry: :cry: :cry:)

Posté (modifié)
Il s'agissait de ne pas se planter, ils n'avaient pas droit à l'erreur !

 

(Bon Anthony, ça va pas là coco, tu nous la refais ! :mad: Tu me la joues plus rebelle ! Tu... Quoi ?!? :?: On peut plus tourner ?

Rappelez-moi la lune ! Et plus vite que ça ! ! ! :cry: :cry: :cry:)

Je suppose effectivement que tout avait été soigneusement répété, à la seconde près, depuis plusieurs jours et que prudemment plusieurs caméras ont filmé la scène de l'éclipse totale pour éviter toute mauvaise surprise lors du développement de la pellicule cinématographique. ;)

 

Roger le Cantalien. :rolleyes:

Modifié par roger15
Posté

Une chance qu'ils aient eu beau temps ! ;)

 

Et c'est la seule fois dans l'histoire du cinéma qu'on a utilisé une vraie éclipse ?

Posté
Une chance qu'ils aient eu beau temps ! ;)

 

Et c'est la seule fois dans l'histoire du cinéma qu'on a utilisé une vraie éclipse ?

Hormis le cas des films documentaires, c'est à ma connaissance la seule fois qu'une véritable éclipse totale de Soleil a été incorporée dans le scénario d'un film. :)

 

Roger le Cantalien. :rolleyes:

Posté
Belle énigme en tout cas, j'ignorais tout ça. Merci Roger :)

Mais de rien, Patrick :) ; le but du QAC est que le poseur d'une énigme puisse améliorer un tout petit peu la connaissance des autres webastrams.;)

 

Roger le Cantalien. :rolleyes:

Posté

Tiens, une autre énigme dans le même style que ma précédente : voici un extrait du dessin animé "Tintin et le Temple du Soleil" sorti dans les salles de cinéma en 1969 (voir : http://fr.wikipedia.org/wiki/Tintin_et_le_Temple_du_Soleil)

 

41526.jpg

 

ERROR: Si vous lisez ce texte, YouTube est hors-ligne ou vous n'avez pas installe Flash

 

L'épisode de l'éclipse totale de Soleil est à partir de 2 minutes et 30 secondes.

 

Ce dessin animé de long métrage était bien sûr basé sur les deux albums de Tintin :

 

"Les sept boules de cristal" (sorti en 1948) ;

 

"Le Temple du Soleil" (sorti en 1949 ; une excellente année !... :D ).

 

Or, le dessinateur belge Hergé s'était inspiré d'une aventure réelle arrivée au début du 16ème siècle par un personnage très connu. Il avait seulement changé la nature de l'éclipse totale : de lunaire elle était devenue solaire dans l'aventure de Tintin ;) .

 

Quelle était cette aventure, concernant une éclipse totale de Lune, survenue au début du 16ème siècle ? :?: et qui était ce personnage très connu ? :?:

 

Roger le Cantalien. :rolleyes:

Posté

Ça concerne Christophe Colomb je crois.

 

Il a dû faire le coup de l'éclipse aux Indiens, mais lui au moins il avait plus de chances de réussir, contrairement à Tintin qui a dû être exactement dans la bande de totalité (quelle chance ;))

Posté
Ça concerne Christophe Colomb je crois.

 

Il a dû faire le coup de l'éclipse aux Indiens, mais lui au moins il avait plus de chances de réussir, contrairement à Tintin qui a dû être exactement dans la bande de totalité (quelle chance ;))

Encore bravo Patrick Trouvetout, :be: :be: :be:

 

Il s'agit effectivement de l'éclipse totale de Lune du jeudi 29 février / vendredi 1er mars 1504 dite "éclipse de Christophe Colomb". Voir ce qu'en dit le brillant calculateur de l'IMCCE Patrick Rocher : http://www.imcce.fr/en/formations/cours/rocher/eclipses/lune/lune_ancienne02.php.

 

Roger le Cantalien. :rolleyes:

 

PS : sinon, un modeste webastram a fait un sujet concernant cette fameuse "éclipse de Christophe Colomb" http://www.webastro.net/forum/showthread.php?t=101898

Posté (modifié)

Pendant que je vais lire ton article, sais-tu Roger quelle erreur a commise Hergé en représentant son éclipse dans Le Temple du Soleil ?

 

crbst_1005-1217541291-Tintin4---465fx349f-1.jpg

Modifié par pat59
Invité
Ce sujet ne peut plus recevoir de nouvelles réponses.
  • En ligne récemment   0 membre est en ligne

    • Aucun utilisateur enregistré regarde cette page.
×
×
  • Créer...

Information importante

Nous avons placé des cookies sur votre appareil pour aider à améliorer ce site. Vous pouvez choisir d’ajuster vos paramètres de cookie, sinon nous supposerons que vous êtes d’accord pour continuer.