Aller au contenu

Messages recommandés

Posté
1. En quelle année ai-je été le premier a découvrir les anneaux de saturne (1 point)? : 1655 par le Hollandais Christian Huygens.

toasted by Acsizia ;)

6 Olympus Month formation volcanique.

Everest sur terre...

il me faut des chiffres et pourquoi, ça vaut 3 points...;)

3. Ceinture de Kuiper.

Bravo Smith , 1 point de plus

Posté

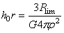
6. Question d'équilibre hydrostatique. La force de gravité "arrondit" la planète. La taille maximale d'une anomalie de surface comme une montagne devrait être proportionnelle à la masse de la planète.

Posté

4. En quelle année ai-je démontré que tout satellite s'approchant trop près de sa planète mère se désagrégeait (2 points)? en 1850 par Édouard Roche (limite de Roche).

Posté
6. Question d'équilibre hydrostatique. La force de gravité "arrondit" la planète. La taille maximale d'une anomalie de surface comme une montagne devrait être proportionnel à la masse de la planète.

 

équilibre oui, hydrostatique non :cool:

Posté
4. En quelle année ai-je démontré que tout satellite s'approchant trop près de sa planète mère se désagrégeait (2 points)? en 1850 par Édouard Roche (limite de Roche).

 

 

Bravo Roger 2 points :) qui me font bien plaisir, tu vois !

Posté
Equilibre isostatique ?

 

pour le raisonnement demandé oui mais ça ne t'aidera pas...

 

indice : quelles forces sont en présence ?

Posté

3. Comment s'appelle la ceinture d'astéroïde extérieure du système solaire (1 point) ? : ceinture de Kuiper.

 

Posté
3. Comment s'appelle la ceinture d'astéroïde extérieure du système solaire (1 point) ? : ceinture de Kuiper.

 

déjà trouvé par Smith, fin stratège... :cool:

Posté

2. J'ai été le premier à montrer l'évolution du moment d'inertie de la terre, qui suis-je (1 point) ? : Isaac Newton.

 

Posté

6 : olympus mons fait 22.5 km de haut du à un équilibre entre le cycle saisonnier du dioxyde de carbone atmosphérique et le dioxyde de carbone gelé dans les calottes polaires ?

Posté

6. Quelle est la hauteur maximale des montagnes du système solaire (et des autres d’ailleurs), en explicitant un peu de raisonnement (3 points) ? : 21 229 mètres pour Olympus Mons sur la planète Mars.

Invité
Ce sujet ne peut plus recevoir de nouvelles réponses.
  • En ligne récemment   0 membre est en ligne

    • Aucun utilisateur enregistré regarde cette page.
×
×
  • Créer...

Information importante

Nous avons placé des cookies sur votre appareil pour aider à améliorer ce site. Vous pouvez choisir d’ajuster vos paramètres de cookie, sinon nous supposerons que vous êtes d’accord pour continuer.