Aller au contenu

Messages recommandés

Posté (modifié)

Bonsoir,

 

Non ! ce sujet ne sera ni un débat ni difficilement compréhensible , contrairement au titre de ce post...

En fait pendant l'été je vais lire beaucoup au sujet de la mécanique quantique et de la relativité restreinte et générale (je vais faire une colo scientifique...).

J'ai commencé par un livre que j'avais lu une première fois sans chercher à tout comprendre (étant plus jeune), qui n'est autre que La relativité d'Albert Einstein.

Mais voilà je suis confonté à un "petit problème" au chapitre 15: Résultats généraux de la Théorie.

Effectivement après avoir "déduit" la nouvelle loi de composition des vitesses à partir des transformations de Lorentz (simple mais cela ne m'a pas empêché d'être heureux), je suis en butte à une petite incompréhension. Je ne comprends pas comment Einstein déduit "la nouvelle formule de l'énergie cinétique" à partir des transformations de Lorentz, et je ne comprends pas non plus ce qu'il appelle "la suite en série de l'énergie cinétique"...

J'ai donc scanné le passage qui nous intéresse ainsi qu'exposé les transformations de Lorentz ( dans le cas d'une translation uniforme de vitesse v sur l'axe des x)

 

Merci d'avance, et j'espère que je me suis fait comprendre ... pas sûr :p

RR.pdf

Modifié par adri92
Posté

En lisant le même bouquin, j'ai calé aussi sur ce passage.

 

Je n'ai pas compris l'intérêt de l'utilisation des développements en série, ni même comment cela marche mathématiquement. Quelques recherches sur la toile ne m'ont pas beaucoup aidé.

 

Bruno passera peut-être par ce fil ?

Posté
Bonsoir,

 

Non ! ce sujet ne sera ni un débat ni difficilement compréhensible , contrairement au titre de ce post...

En fait pendant l'été je vais lire beaucoup au sujet de la mécanique quantique et de la relativité restreinte et générale (je vais faire une colo scientifique...).

J'ai commencé par un livre que j'avais lu une première fois sans chercher à tout comprendre (étant plus jeune), qui n'est autre que La relativité d'Albert Einstein.

Mais voilà je suis confonté à un "petit problème" au chapitre 15: Résultats généraux de la Théorie.

Effectivement après avoir "déduit" la nouvelle loi de composition des vitesses à partir des transformations de Lorentz (simple mais cela ne m'a pas empêché d'être heureux), je suis en bute à une petite incompréhension. Je ne comprends pas comment Einstein déduit "la nouvelle formule de l'énergie cinétique" à partir des transformations de Lorentz, et je ne comprends pas non plus ce qu'il appelle "la suite en série de l'énergie cinétique"...

J'ai donc scanné le passage qui nous intéresse ainsi qu'exposé les transformations de Lorentz ( dans le cas d'une translation uniforme de vitesse v sur l'axe des x)

 

Merci d'avance, et j'espère que je me suis fait comprendre ... pas sûr :p

 

Hello adri,

Il s'agit de de développements en série de Taylor, ce qu'on appelle les développements limités. Toute fonction peut s'exprimer par une suite quand x est petit. Tu verras ça en long en large et en travers l'année prochaine :be:

Posté

Les développements en série de Taylor, c'est ce que j'ai trouvé sur la toile.

 

N'étant pas intéressé par le fait faire les calculs, je me demandais quand même pourquoi utiliser ces développements, en gros, à quoi cela peut servir en physique, principalement dans ce cas là.

Posté (modifié)

Merci de réagir aussi vite !

Pour la série, j'attendrai l'année prochaine, même si je vais suivre attentivement ce post.

Par contre je suis attaché au fait de comprendre comment Einstein arrive à sa nouvelle formule de l'énergie cinétique exposée dans ma pièce jointe. Si nous la déduisons des transformations de Lorentz (comme il démontre plusieurs résultats grâce à elles), comment faisons nous ??

 

Merci encore

 

EDIT: Je vois une bonne pépite de connaisseurs regardant cette discussion ! :)

EDIT n°2: d'ailleurs il y a une faute dans mon livre, ce n'est pas (v^2)/(c^2) qui doit être petit, mais bien (v^4)/(c^2) qui doit l'être... ??

Modifié par adri92
Posté (modifié)

Tiens c'est marrant on en a parlé il y a quelques jours ici #41 . La formule de l’énergie cinétique lorsque (v/c) est proche de zéro (v est très inférieur à c) peut être remplacée par les premiers termes de son développement limité (série de de Taylor) et lorsqu'on prend seulement le premier terme on trouve 1/2 x m x v2 soit le formule classique bien connue donc la formule donnée par Einstein est plus générale et la formule classique n'est qu'un cas particulier de la première.

 

Pour les plus courageux la démonstration ci-dessous:

 

Je ne redémontre pas la formule du développement limité de (1+x)^y qui donne au voisinage de x = 0: (1+x)^y ~ 1 + xy (pas compliqué toutefois si on sait ce qu'est une dérivée) et donc si on applique cette propriété à la formule de l'énergie cinétique:

 

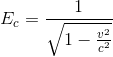
gif.latex?\bg_white%20\begin{align}%20E_c%20&=%20mc^2%20(\gamma%20-1)%20\notag%20\\%20\gamma%20&=%20\frac{1}{\sqrt{1-\frac{v^2}{c^2}}}%20\notag%20\end{align}

 

Maintenant si on simplifie le terme gamma avec la série de Taylor on obtient:

 

%20\gamma%20&\backsimeq%201%20-%20\frac{v^2}{2c^2}%20\notag%20\\%20\gamma%20&=%20\frac{2c^2}{2c^2-v^2}%20\notag%20\\%20\gamma%20-%201%20&=%20\frac{2c^2-2c^2+v^2}{2c^2-v^2}%20\notag%20\\%20\gamma%20-%201%20&=%20\frac{v^2}{2c^2-v^2}%20\notag%20\end{align}

 

Donc si on reprends le la formule du départ et que l'on remplace la valeur de gamma calculé précédemment on obtient:

 

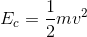
gif.latex?\bg_white%20\begin{align}%20E_c%20&=%20mc^2%20(\gamma%20-1)%20\notag%20\\%20E_c%20&=%20mc^2%20\frac{v^2}{2c^2-v^2}%20\notag%20\\%20E_c%20&=%20\frac{mv^2}{2-\frac{v^2}{c^2}}%20\notag%20\\%20E_c%20&=%20\frac{1}{2}%20mv^2%20\notag%20\end{align}

Modifié par jgricourt
Posté (modifié)

Tiens je n'avais donc pas lu assez attentivement, j'ai pourtant intervenu dans cette discussion ! :b:

Lorsque j'ai lu le passage du livre, cette discussion n'a pas fait tilt ! :confused:

Mais ma question reste la même, comment Einstein arrive à cette formule ! :p

 

EDIT: je laisse pour ma part le développement limité (série de Taylor), même si je comprends pourquoi on obtient la formule de l'énergie cinétique de la mécanique classique pour v très inférieur à c (car les autres membres de la série peuvent alors être négligés)

Modifié par adri92
Posté
EDIT: je laisse pour ma part le développement limité (série de Taylor), même si je comprends pourquoi on obtient la formule de l'énergie cinétique de la mécanique classique pour v très inférieur à c (car les autres membres de la série peuvent alors être négligés)

 

Je suis bien d'accord. Par contre, je me demande encore pourquoi Einstein a inséré ce développement en série, et donc à quoi cela peut-il servir :?:

Posté
Je suis bien d'accord. Par contre, je me demande encore pourquoi Einstein a inséré ce développement en série, et donc à quoi cela peut-il servir :?:

 

Sans doute que ce développement à une réalité physique et permet de déduire que l'on ne se trompe pas de beaucoup dans l'ancienne formule de l'énergie cinétique, et donc ce serait pour cela que l'on ne trouvait pas d'incohérences. Mais pour la compréhension.... attendons les autres !! :be: (en fait je ne vous réponds pas, je ne fais qu'apporter mon incompréhension à la votre )

Posté
Tiens je n'avais donc pas lu assez attentivement, j'ai pourtant intervenu dans cette discussion ! :b:

Lorsque j'ai lu le passage du livre, cette discussion n'a pas fait tilt ! :confused:

Mais ma question reste la même, comment Einstein arrive à cette formule ! :p

 

EDIT: je laisse pour ma part le développement limité (série de Taylor), même si je comprends pourquoi on obtient la formule de l'énergie cinétique de la mécanique classique pour v très inférieur à c (car les autres membres de la série peuvent alors être négligés)

 

regarde un peu ça, je crois qu'il y a ton bonheur ... :rolleyes:

http://fr.wikiversity.org/wiki/Relativit%C3%A9_restreinte/Dynamique_relativiste

Posté
Sans doute que ce développement à une réalité physique et permet de déduire que l'on ne se trompe pas de beaucoup dans l'ancienne formule de l'énergie cinétique, et donc ce serait pour cela que l'on ne trouvait pas d'incohérences. Mais pour la compréhension.... attendons les autres !! :be: (en fait je ne vous réponds pas, je ne fais qu'apporter mon incompréhension à la votre )

 

pour le développement... vous croyez que c'est facile à trimballer, un facteur 1/racine(1-v²/c²) ? c'est plus simple de le... simplifier.

Posté
regarde un peu ça, je crois qu'il y a ton bonheur ... :rolleyes:

http://fr.wikiversity.org/wiki/Relativit%C3%A9_restreinte/Dynamique_relativiste

 

Sympa ! Je vais voir un peu le match de football, et revient ensuite.

J'ai à peine commencé à regarder, mais cela m'a l'air bien (quoique il y a peut être quelques notions que je n'ai pas abordé, mais bon, on parle quand même de relativité restreinte ! :)).

Posté (modifié)
Sympa ! Je vais voir un peu le match de football, et revient ensuite.

J'ai à peine commencé à regarder, mais cela m'a l'air bien (quoique il y a peut être quelques notions que je n'ai pas abordé, mais bon, on parle quand même de relativité restreinte ! :)).

 

du foot ??? naaaan... du devrais rester dans tes équations... c'est bien plus intéressant. :cool:

on s'éloigne un peu du thème Astronomie et Astrophysique, là, nan ?

Modifié par Dr Eric Simon
Posté (modifié)
du foot ??? naaaan... du devrais rester dans tes équations... c'est bien plus intéressant. :cool:

 

Je trouve effectivement les équations bien plus intéressantes, mais j'entends le bruit du foot en arrière fond, et je suis "dans la relativité" depuis déjà quelques heures (puis en ouvrant le lien, je me suis dit: "Adrien, lit cela attentivement après une petite pause!" :) ).

Mais je me suis levé de ma chaise quelques secondes avant la pub de la mi-temps, donc me re-voici ici ;) .

 

Excusez-moi pour le hors-sujet !!! :confused:

 

C'est vrai que ce dont je parle n'est pas directement lié à l'astronomie et l'astrophysique, mais tout ce que je vais lire, et déjà ce livre d'Albert Einstein, est une description des lois régissant l'univers, et donc comme je sais qu'il y a des connaisseurs et des curieux sur ce forum, je poste des intérrogations (incompréhensions)...

Mais si un animateur/modérateur me le déconseille, je peux m'arrêter sans problème, je ne suis pas un "troll"... quoique je sais que j'envoie beaucoup de message en peu de tant, ainsi que des messages vides d'intérets comme celui-ci.... :(

Modifié par adri92
Posté
ce livre d'Albert Einstein, est une description des lois régissant l'univers, et donc comme je sais qu'il y a des connaisseurs et des curieux sur ce forum, je poste des intérrogations (incompréhensions)...

(

 

un Univers vide de masse !... (si on se limite à la relativité restreinte) ;)

Posté (modifié)

Oui mais le livre traite ensuite de la relativité générale, j'y avais pensé ;)

Ma question porte sur la relativité restreinte, qu'il est utile de maîtriser avant la relativité générale...

 

Et les particules rapides présentent des caractéristiques qui s'expliquent par la relativité restreint (durée de vie des muons...), particules venant de l'espace.... donc lient avec l'univers....

 

Mais effectivement un univers vide de masse :be:

Modifié par adri92
Posté (modifié)
je me demande encore pourquoi Einstein a inséré ce développement en série, et donc à quoi cela peut-il servir

Pourquoi utiliser le développement en série ?

 

--> Pour calculer une limite.

 

Partons de la formule de départ :

 

Ec = mc² / racine de 1-v²/c².

 

On veut calculer la limite de Ec lorsque v/c tend vers 0. Le dénominateur est exprimé en fonction de v/c, mais pas le numérateur, donc on ne peut pas calculer cette limite à partir de la formule initiale.

 

La méthode classique est d'utiliser les développements limités (au programme de bac+1 dans toutes les formations scientifiques) : le développement limité (ou le développement de Taylor, la différene entre les deux n'a pas d'importance ici) permet d'exprimer la fonction sous la forme de termes de plus en plus petits (dans un sens précis) en fonction de la variable qui tend vers 0 (ici v/c). Le premier terme est le terme prépondérant, celui qui intervient pour calculer la limite. La méthode consiste donc à :

 

1) écrire le développement limité ;

2) ne retenir que le 1er terme (le terme prépondérant) ;

3) remplacer v/c par 0.

 

On peut aussi utiliser l'équivalent : l'équivalent, c'est le 1er terme du développement limité. En gros ça revient à faire directement l'étape 2), puis l'étape 3). C'est ce qui est fait dans le calcul présenté ci-dessus par Jgricourt au message 6, où on remplace la racine de 1 - v²/c² par son équivalent : 1 -v²/2c².

Modifié par 'Bruno
Posté (modifié)

Merci pour les réponses, je vais creuser tout cela ; je n'avais pas vu le développement de Jgricourt au message #6, car il a édité son message après coup, et j'étais parti !

 

Que c'est loin le Lycée ! En même temps, sorti d'une filière technologique, je ne me souviens pas avoir eu l'occasion d'étudier les développements en série ; mais les maths n'étaient pas mon fort (comme Einstein:p) ; alors aujourd'hui, en me penchant sur ces problèmes, je souffre un peu :confused:

Modifié par salviati
Posté (modifié)
Je ne comprends pas comment Einstein déduit "la nouvelle formule de l'énergie cinétique" à partir des transformations de Lorentz

 

En relativité galiléenne gouvernée par les équations de changement de repère

gif.latex?\begin{cases} & x

on montre facilement que la relation fondamentale de la dynamique (f est la force s'exerçant sur la particule):

 

gif.latex?\frac{\mathrm{d} }{\mathrm{d} t}(mv) = f

 

est invariante (ne change pas de forme) lorsque l'on effectue le changement de repère précédent :

gif.latex?\frac{\mathrm{d} }{\mathrm{d} t

 

Malheureusement cette relation n'est plus invariante quand on fait un changement de repère de Lorentz :

 

gif.latex?\left\{\begin{matrix} x

Il faut la modifier : on trouve que la relation suivante convient :

 

gif.latex?\frac{d}{dt}\frac{mv}{\sqrt{1-\frac{v^{2}}{c^{2}}}}=f

Comme

gif.latex?\frac{d}{dt}Ec=fv

on en déduit après intégration que l'énergie relativiste est :

 

gif.latex?E=\frac{mc^{2}}{\sqrt{1-\frac{v{2}}{c^{2}}}}+Cte.

C'est ici le lieu de faire une remarque au sujet de la masse au repos. Il s'agit en fait de deux interprétations qui n'ont pas d'incidence sur la validité ou non des équations données.

 

Reprenons la relation fondamentale de la dynamique relativiste.

gif.latex?\frac{d}{dt}\frac{mv}{\sqrt{1-\frac{v^{2}}{c^{2}}}}=f

Si vous voulez lui conserver la forme classique :

gif.latex?\frac{\mathrm{d} }{\mathrm{d} t}(mv) = f

 

Il faudra poser :

gif.latex?m

Qui fait intervenir une pseudo masse en mouvement variant en fonction de la vitesse.

Si vous considérez que la masse ne varie pas il faudra garder textuellement la relation :

gif.latex?\frac{d}{dt}\frac{mv}{\sqrt{1-\frac{v^{2}}{c^{2}}}}=f

Modifié par Jean-ClaudeP
Posté

@ jgricourt et Bruno (et un peu wiki aussi)

Merci à vous deux.

 

J'ai bossé un peu la question au boulot aujourd'hui (je sais, c'est pas bien:rolleyes:), je pense avoir compris l'intérêt du développement en série dans le cas qui nous intéresse, j'ai même pu refaire les calculs (assez simples, finalement) en me basant sur ce que vous avez écrit.;)

Posté

Bonsoir,

 

En raison du bac je n'ai pas le temps de regarder ton lien eric, ainsi que l'explication de Jean-ClaudeP, mais aussi tout ce qui touche au développement limité, je commenterai donc mercredi soir...

Mais merci à tous, et comme je vois que cela a servi aussi à d'autres, je suis bien content ! :)

 

PS: Doc Eric, je ne suis qu'en 1re et verrai donc le développement limité que dans 2 ans (à bac + 1 d'après 'Bruno ) :)

 

Encore merci

Posté (modifié)

En 1ère tu as dû voir l'approximation affine :

 

f(x) ~ f(a) + f'(a) (x - a).

 

Le développement en série en est une généraliastion. En gros, on approxime ensuite f', donc à partir de f", puis f" donc à partir de la dérivée 3è et ainsi de suite :

 

f(x) ~ f(a) + f'(a) (x - a) + f"(a) (x - a)² / 2 + f'''(a) (x - a)^3 / 6 + ...

Modifié par 'Bruno
Posté (modifié)

Oui en voyant la discussion je "comprenais" légèrement de quoi vous parliez.

En 1ère on ne présente pas l'approximation linéaire (retirée il y a peu du programme je crois... :( ), mais ce que tu donne est l'équation de la tangente d'une fonction en a, et je comprends qu'il s'agit d'une approximation "locale" de f au point a...

Ah je commence à comprendre un peu ! Merci :o

Je ferai part peut être d'une question mercredi.... mais je visualise un peu ;)

 

EDIT polynôme de Mac Laurin ... ???? Connais pas mais je regarde tout cela et on en reparle mercredi :)

Modifié par adri92
Posté (modifié)

Pas approximation linéaire, apprimation affine (*), je me suis planté de terme (je ne sais pas pourquoi...) - là j'ai corrigé. Ce n'est plus au programme ? C'est vrai qu'ils ont enlevé pas mal de choses en 1ère cette année. Mais c'est effectivement la même chose que l'approximation par la tangente. Dans un développement en série, on généralise en approximant par une polynôme (une fonction affine étant un polynôme particulier - de degré 1).

 

Concernant les polynômes de Mac Laurin, je pense que Jgricourt disait « certainement plus connu » dans le sens « ce n'est plus connu » (ça l'a été, mais ça ne l'est plus). Ou alors il en resté au programme de maths des années 50 ou 60... :)

 

-----

(*) Ah oui, je tape trop vite et j'oublie des lettres : approximation affine. Ouf ! J'ai réussi ! :)

Modifié par 'Bruno
Posté (modifié)

D'accord merci ! :) (pour les termes, ce n'est pas grave puisque c'était juste pour mieux comprendre, mais merci pour la correction )

Je regarderai tout cela plus tard.

Ah oui le plus, je crois qu'il est mentionné dans la discussion "Le français est une langue difficile"....

 

Adrien

 

Edit: Alors c'est "approximation" ou "apprimation" ? Là je (ne) comprends vraiment PLUS ! :be:

Modifié par adri92
Posté
Bonsoir,

 

En raison du bac je n'ai pas le temps de regarder ton lien eric, ainsi que l'explication de Jean-ClaudeP, mais aussi tout ce qui touche au développement limité, je commenterai donc mercredi soir...

Mais merci à tous, et comme je vois que cela a servi aussi à d'autres, je suis bien content ! :)

 

PS: Doc Eric, je ne suis qu'en 1re et verrai donc le développement limité que dans 2 ans (à bac + 1 d'après 'Bruno ) :)

 

Encore merci

 

je parie que tu t'y intéresseras en terminale... :be:

(moi aussi en première je lisais Einstein et Heisenberg, moi aussi je faisais des colos scientifiques qui changèrent ma vie, moi aussi... :be:)

Posté
je parie que tu t'y intéresseras en terminale... :be:

(moi aussi en première je lisais Einstein et Heisenberg, moi aussi je faisais des colos scientifiques qui changèrent ma vie, moi aussi... :be:)

Et ainsi vont les générations de scientifiques :)

Salut vous deux :)

(je vous surprends en plein débat auquel je ne pige rien :be:)

(mais c'est sympa à lire :))

 

Adri, courage pour le bac :)

(et félicitation pour ton ornithorynque, rien à signaler ;):D') :pouce:)

Posté (modifié)
je parie que tu t'y intéresseras en terminale... :be:

SIZE][/size]

 

Je ne me suis jamais avancé dans le programme, mais sait on jamais...:cool:

Pour la colo, j'en ai fait une d'astronomie avec planète sciences, et maintenant j'essaye une colo scientifique. :)

En fait on risque pas de me prendre avec un instrument, car comme le dit Roger, je ne suis pas un "astronome amateur" mais un "amateur d'astronomie" (eh oui sacrilège extrême, mais j'aimerai bien observer avec d'autres...).. j'aime vraiment la physique et les mathématiques, mais je prends le programme comme il vient et ne m'avance pas.

 

Attention Doc, car dans 15 ans à l'âge de 32 ans, il serait bien possible que lors d'un entretient pour un poste pour lequel tu postule je me démarque en parlant de série de Taylor (quoique ce n'est pas d'un niveau très complexe...).... :D

 

EDIT: Salut Yui! tu vois, je fais toujours du hors-sujet :) .

NONNNNNNNNNNNNNNN, ne me parle pas d'ornithorynque, je n'ai plus de correcteur et cela me "hante" !!!!! (pas de félicitation car j'en fais encore, mais c'est vrai qu'il y a des progrès... :) )

 

Yui, tu peux tout "piger" !! En fait tu vois justement le post qui initialement fait part d'une incompréhension, donc tout ce que je ne post pas, je le comprends plus ou moins, il y a donc matière à se "cultiver" !!!

Modifié par adri92
Posté

:)

Grâce à Créateur de Bugs je vous vois en bas de ma page iPhone :)

 

(pssst moi aussi faut que je bosse là, je suis en pleine correction ;))

 

A bientôt :)

Rejoignez la conversation !

Vous pouvez répondre maintenant et vous inscrire plus tard. Si vous avez un compte, connectez-vous pour poster avec votre compte.

Invité
Répondre à ce sujet…

×   Collé en tant que texte enrichi.   Coller en tant que texte brut à la place

  Seulement 75 émoticônes maximum sont autorisées.

×   Votre lien a été automatiquement intégré.   Afficher plutôt comme un lien

×   Votre contenu précédent a été rétabli.   Vider l’éditeur

×   Vous ne pouvez pas directement coller des images. Envoyez-les depuis votre ordinateur ou insérez-les depuis une URL.

  • En ligne récemment   0 membre est en ligne

    • Aucun utilisateur enregistré regarde cette page.
×
×
  • Créer...

Information importante

Nous avons placé des cookies sur votre appareil pour aider à améliorer ce site. Vous pouvez choisir d’ajuster vos paramètres de cookie, sinon nous supposerons que vous êtes d’accord pour continuer.