Aller au contenu

Messages recommandés

Posté

VBA n'est pas non plus un langage réputé performant, c'est même parfois une usine à gaz ... bon assez de médisances ;) Est ce que par hasard ce ne sont pas le tracé des lignes (qui ne sont pas rectilignes) qui prennent du temps ? (plusieurs points à relier entre eux).

  • Réponses 151
  • Créé
  • Dernière réponse

Les pipelettes du sujet

Les pipelettes du sujet

Posté
Coucou !

 

Merci pour l'info. J'étais effectivement tombé dessus en faisant mes recherches de programme. Hélas, il y a définitivement trop de pages : ce n'est pas gérable, ni par l'encombrement, ni par la consultation, où on passe son temps à tourner les pages en regardant par le trou de la serrure. Non, pas efficace.

 

Déjà, je me suis fixé 150 pages et je trouve que c'est trop. Après, le PSA, c'est 80 pages et ça marche très bien. Sauf que, avec 8,5m au minimum, on a plus de points, donc on doit agrandir si on veut garder un maximum de lisibilité. Par contre, on ne peut pas agrandir indéfiniment, il faut trouver un juste milieu... D'où mes 150 (futures ;)) pages...

 

Sur le même site de Torres, tu as aussi un tableau sous Word ( en .docx donc word 2007 ou supp) des objets du ciel profond et des etoiles doubles classés par constellation, mais là, pas de carte...:confused: Ca va etre dur de trouver tout en un et surtout que les cartes soient lisibles si tu veux limiter le nombre de pages tout en gardant la mag limite autour de 12 si j'ai bien compris ce que tu cherches:confused:

Posté
Sur le même site de Torres, tu as aussi un tableau sous Word ( en .docx donc word 2007 ou supp) des objets du ciel profond et des etoiles doubles classés par constellation, mais là, pas de carte...:confused: Ca va etre dur de trouver tout en un et surtout que les cartes soient lisibles si tu veux limiter le nombre de pages tout en gardant la mag limite autour de 12 si j'ai bien compris ce que tu cherches:confused:

 

Avec l'intelliscope, c'est tout simple, suffit de rentrer au préalable (à la maison) les coordonnées équatoriales dans l'intelliscope (pour 99 objets libres) et hop sur le terrain plus aucune difficulté, même pas besoin de cartes :be:

 

Phil.

Posté

Coucou !

 

@ AstroBB1 : non, je te rassure, je me limiterai généralement à 8,50m, par contre, 12,00m, ça sera pour des cartes en zoom, très limitées dans le champ.

Posté
Coucou !

 

@ AstroBB1 : non, je te rassure, je me limiterai généralement à 8,50m, par contre, 12,00m, ça sera pour des cartes en zoom, très limitées dans le champ.

 

Toujours sans carte, mais avec des catalogues divers et partiels, tu as Home Planet de J. Walker pas très complets ( les catalogues pas l'auteur ;) )

Sur astrosurf, j'avais pioché mais y'a pas mal de temps, des cartes jusqu'à m= 7, noms des etoiles, limites des constellations, zoom sur certaines parties du ciel 'remarquables', ciel profond, le tout assez complet fait par JP Cazard avec le logiciel Coelix et ça ne pèse qu'une cinquantaine de pages...

Posté

Coucou !

 

Justement, mon boulot serait de pouvoir sortir des cartes correctes, avec annotations pour retrouver les objets du ciel profond. Donc les étoiles ne sont là essentiellement que comme guides (bon, les jolies petites carbonées :wub:).

 

L'étape suivante est donc de reporter sur ces cartes les objets du ciel profond.

 

Et enfin, de faire remarquer ceux qui sont à observer, avec différents critères que je ne développerai pas ici, ça n'est pas l'objet de la discussion.

 

Donc, en premier lieu, il me faut ces fichues cartes !! Et mon problème, ce n'est pas de les avoir, mais d'éviter d'y passer 2 mois rien que là dessus... Parce que, pour moi, le gros du boulot, c'est justement les annotations. Près de 3.000 objets à reporter et à commenter, ça ne se fait pas en 10 minutes. Surtout que certains objets ont le bon goût de s'inviter sur plusieurs cartes. Tu imagines, maintenant ?

 

Non, chaque chose en son temps. Mon problème actuel, c'est de pouvoir sortir rapidement des cartes avec les informations que je désire. Rapidement.

Posté
Coucou !

 

Justement, mon boulot serait de pouvoir sortir des cartes correctes, avec annotations pour retrouver les objets du ciel profond. Donc les étoiles ne sont là essentiellement que comme guides (bon, les jolies petites carbonées :wub:).

 

L'étape suivante est donc de reporter sur ces cartes les objets du ciel profond.

 

Et enfin, de faire remarquer ceux qui sont à observer, avec différents critères que je ne développerai pas ici, ça n'est pas l'objet de la discussion.

 

Donc, en premier lieu, il me faut ces fichues cartes !! Et mon problème, ce n'est pas de les avoir, mais d'éviter d'y passer 2 mois rien que là dessus... Parce que, pour moi, le gros du boulot, c'est justement les annotations. Près de 3.000 objets à reporter et à commenter, ça ne se fait pas en 10 minutes. Surtout que certains objets ont le bon goût de s'inviter sur plusieurs cartes. Tu imagines, maintenant ?

 

Non, chaque chose en son temps. Mon problème actuel, c'est de pouvoir sortir rapidement des cartes avec les informations que je désire. Rapidement.

 

Dans ce cas prends chez Torres l'atlas par constellation où il prend constel par constel tous les 'objets interessants' par contre y'a pas les noms des etoiles , juste des numeros. Et ensuite tu piques son atlas des 5800 objets. Et pourquoi ne pas prendre les cartes d'astrosurf que je t'ai indiquées plus haut et y ajouter les objets que tu souhaites si ils n'y sont pas; c'est en PDF donc modifiable. Et tu peux aussi combiner les générales d'astrosurf avec les 5800 de Torres...

Posté

Coucou !

 

Je suis d'accord, son travail est très intéressant, MAIS !

 

- Il n'est pas libre de droits.

- Il est trop "brouillon". Je sais, le mot n'est pas sympathique ni correct, c'est pour ça que je l'ai mis entre guillements. Brouillon car finalement trop complet, avec les magnitudes 11, qui sont totalement inexploitables sur une carte générale. Et brouillon car je n'aurais plus aucune place disponible pour y mettre mes propres commentaires sans ruiner complètement ces cartes.

 

Après, c'est vrai, l'idée de sortir des cartes par constellation est intéressant, je vais y réfléchir. Mais ça ne remet pas en cause mon projet.

Posté

Les temps de traitement sont étonnamment longs ! (Tu utilises un Amiga ou un Commodore ? :)) Le programme que j'ai écrit gérait l'ensemble du catalogue de Khartchenko et pour faire une carte, ça ne devait pas prendre plus de 2 ou 3 secondes, sinon je m'en serais aperçu (et à l'époque j'utilisais mon vieil ordinateur modèle 2003 sous Windows XP).

 

L'augmentation de la durée de traitement par étoile lorsque le nombre d'étoiles augmente est peut-être due au fait qu'il a besoin de plus de mémoire de vive, et l'accès à cette zone mémoire plus grande est peut-être plus long ? Mais ça ne me convainc pas : si on balaie les étoiles dans l'ordre de la liste, je ne vois pas pourquoi ça prendrait plus de temps, il n'y a rien à chercher...

Posté

Coucou !

 

La longueur ne vient pas de l'accès au fichier, mais bel et bien du traçage des objets. Preuve en est quand j'ai tracé les étoiles autour Orion jusqu'à 4,0m. Si je n'effaçais pas entre chaque test, les temps de traitement augmentaient de façon dramatique, comme je l'ai dit dans mon explication.

 

Non, ça vient d'ailleurs, pas des données, vu que là, on ne travaille qu'avec 478 étoiles... Je n'ai pas testé en limitant PHYSIQUEMENT la base, mais la simple itération des traçages suffit à induire une longueur impossible.

 

Non, je ne comprends pas.

Posté

Le coup du retraçage n'est pas nécessairement dans le code que tu as récupéré pour dessiner la carte. Des fois, il y a une propriété à modifier pour éviter le retraçage systématique, du style :

 

mon_canevas.refresh = false

// dessin de toutes les étoiles

mon_canevas.refresh = true

Posté

Coucou !

 

J'avais pensé à un truc du genre. J'utilise d'ailleurs souvent cette fonction sous Excel justement pour éviter la mise à jour et le déplacement entre feuilles qui perd énormément de temps. Mais là, rien de tout ça.

 

Tiens, voici un extrait du code :

     star_dia = Delta_Dia * Cos((mag - mp) / (mv - mp) * Pi) + DiaV

    x1 = k * u1 + x0 - star_dia * 0.5
    y1 = -k * v1 + y0 - star_dia * 0.5
    x2 = star_dia
    y2 = star_dia
    ActiveWindow.Selection.SlideRange.Shapes.AddShape(msoShapeOval, x1, y1, x2, y2).Select
    With ActiveWindow.Selection.ShapeRange
         .Fill.Visible = msoTrue
         .Fill.Solid
         .Fill.ForeColor.SchemeColor = ppForeground
         .Line.Weight = 0.5
         .Line.Visible = msoTrue
         .Line.ForeColor.SchemeColor = ppBackground
         .Line.BackColor.RGB = RGB(255, 255, 255)
    End With

C'est la boucle que concerne une étoile simple. S'il n'y a que ça, on passe directement à l'étoile suivante...

 

Et rien qui peut y faire penser...

Posté

Coucou !

 

Problème de lenteur résolu. Exit la fonction "SELECT" qui visiblement me pourrissait ma macro.

 

Maintenant, c'est ça :

With ActiveWindow.Selection.SlideRange.Shapes.AddShape(msoShapeOval, x1, y1, x2, y2)
       .Fill.Visible = msoTrue
       .Fill.Solid
       .Fill.ForeColor.SchemeColor = ppForeground
       .Line.Weight = 0.3
       .Line.Visible = msoTrue
       .Line.ForeColor.SchemeColor = ppBackground
       .Line.BackColor.RGB = RGB(255, 255, 255)
End With

Et ça marche 1.000 fois plus vite !

 

Bon, encore un gros boulot pour aménager la macro pour balayer les 2,5 millions d'étoiles du Kharchenko et je passe à la difficulté suivante : les objets du ciel profond !!

 

À bientôt pour de nouvelles aventures merveilleuses au pays des Maquereaux ;) Euh... Non, des macros ! ;) ;)

Posté

Sans doute que le Select reparcourait l'ensemble des shapes existants pour trouver celui que tu venais de créer et qui avait le mauvais goût d'être en dernier dans la liste ;)

Posté (modifié)

J'ai vu que Taki utilisait une projection très complexe: une projection transverse universelle de Mercator modifiée dont le but est d'approcher la projection des coniques équidistantes (voir ce que c'est une projection UTM). Je trouve étrange ce choix sachant que le plus simple et d'utiliser une projection conforme (conservation des angles et donc des formes) telle que la projection stéréographique comme la plupart des logiciels de carto. stellaire. Du coup les calculs engagés pour chaque objets sont plutôt lourds ...

 

PS: j'ai terminé un petit outil d'import de la base Kharchenko dans SQLite (2.5 millions d'objets), je passe à la partie graphique pour générer les cartes au format SVG ...

Modifié par jgricourt
Posté

Coucou !

 

Là, j'avoue ne pas m'être penché sur la question. Pas du tout. J'applique "bêtement" (aucun commentaire, OK ? ;)) les formules proposées par M. Taki. Par contre, ce que je suis en train de faire, c'est de réécrire ses macros pour les optimiser et d'une part augmenter la vitesse de calcul et d'autre part les rendre compatibles avec le Kharchenko, et ça demande pas mal de travail.

 

Ensuite, pour une raison que je ne comprends pas, sa base de données en objets du ciel profond est plutôt faible. Je vais donc devoir vérifier et compléter cette partie.

 

Alors, avant d'avancer plus en avant, est-il problématique d'utiliser cette projection ? J'ai commencé à lire l'article que tu m'avais donné (je l'ai même trouvé en français : Transverse Universelle de Mercator). J'avoue ne pas très bien lu tout, du coup je n'ai pas toutes les informations entre les mains.

 

Est-il possible que tu m'en fasses un résumé ? Et quelle serait la projection la plus adaptée ? J'avoue avoir ses cartes entre les mains et je ne vois pas vraiment s'il y a un souci. D'après les premières lignes que j'ai lues, c'est même, si on se limite à quelques degrés (en l’occurrence, pour moi, ça sera + ou - 6° d'après mes estimations), on est dans le cadre précis de l'utilisation optimale de cette conversion, d'après les premières lignes que j'ai pu lire.

 

Un petit topo ?

Posté

De ce que j'en sais, la projection UTM est celle utilisée par les militaires américains depuis longtemps pour leur carto. terrestre, l’intérêt je crois et de pouvoir déterminer les distances simplement (lecture directe le long d'un méridien). Mais bon c'est vrai aussi que si on de projette qu'une petite zone de ciel (+/-6° c'est pas très large) et bien toutes les projections se valent au niveau du respect des formes géométriques, il n'y a pas de grosses différences (faire le test dans Stellarium pour s'en rendre compte).

Posté

Ah, la question des projections... Je suis très difficile sur ce sujet.

 

Certaines projections (comme Mercator) conservent les angles, mais pas les distances ou les aires. En fait, elles sont même très mauvaise en distance (ou aire) lorsqu'on s'éloigne du centre de la carte (par l'exemple l'équateur). D'autres projections (dites conformes) conservent les distances (ou les aires), mais pas les angles. En fait, celles qui conservent les distances sont très mauvaises en angles (grosses déformations). C'est pour ça que je préfère les projections qui ne conservent ni l'un ni l'autre : elles déforment un poil les angles, ne respectent pas tout à fait les distances, mais du coup ça ressemble plus à la réalité. Après tout, pourquoi vouloir conserver exactement les angles ou exactement les distances (l'un entraînant une grosse erreur pour l'autre) ? Ce qu'on veut, c'est que la carte ressemble au ciel, donc il faut conserver les deux, et comme c'est impossible, les conserver approximativement, d'où l'intérêt d'un compromis.

 

Bref, ma projection préférée est la projection conique à deux parallèles de référence (de Lambert, je crois). Uranometria utilise une projection conique, le Pocket Sky Atlas aussi. Taki préfère une projection azimutale équivalente, beurk (ça déforme sur les bords).

Posté

Petit topo sur les projections cartographiques.

 

Une projection est conforme si elle conserve les angles.

 

Une projection est équivalente si elle conserve les surfaces.

 

Il n'y a pas de projection qui soit à la fois conforme et équivalente. Par contre, il y a des projection qui ne sont ni conformes, ni équivalentes ;)

 

Après, les différents types de projections vont avoir différents effets sur les méridiens et les parallèles. Restent-ils droits? Parallèles entre eux?

 

La projection Mercator est une projection de la sphère sur un cylindre tangent d'axe vertical. C'est la carte classique du monde. Principal défaut, elle allonge les pôles à l'infini. Les méridiens sont des lignes droites verticales. Les parallèles sont des lignes droites horizontales. Les formules mathématiques sont triviales (un seul calcul de tangente à faire). Souvent utilisée pour les cartes interactives à l'échelle mondiale comme google maps.

 

La projection Mercator Transverse est une projection de la sphère sur un cylindre tangent d'axe horizontal. À par le méridien du centre qui reste une ligne droite verticale, tout le reste est courbe... Bien pour représenter les zones étendues sur l'axe nord-sud.

 

L'UTM (Universal Transverse Mercator) est une série de 60 projections Mercator Transverse, une toutes les 6°. C'est le système de l'armée américaine et du GPS. Le problème, c'est au raccord entre les zones.

 

La projection Lambert est une projection de la sphère sur un cône tangent d'axe vertical. Les méridiens sont des lignes droites qui convergent au pôle. Les parallèles sont des cercles centrés sur le pôle. Bien pour représenter les zones étendues en est-ouest (hors équateur où il faut prendre le Mercator). L'extrait que tu as présenté ressemblait à ça.

 

La projection stéréographique est une projection de la sphère sur un plan tangent. Je pense qu'à part le méridien central, il n'y a pas grand chose de droit. C'est celle qui se déforme le plus quand on s'éloigne du point central... mais de façon homogène dans toutes les directions.

 

Cas particulier des projections stéréographiques polaires où le point de tangence est le pôle. Bien pour représenter les zones polaires où les autres projections sont à la ramasse. Aussi utilisées en complément à l'UTM.

 

Il y en a encore des tas d'autres mais je pense que ce sont surtout de celles là qu'il faut discuter quand on veut faire un atlas astro.

 

Toutes les projections sont-elles semblables quand on regarde de près? Oui, mais 5-6° de champ, ce n'est pas de près. On voit voir les différences.

 

Personnellement, si je devais partir sur quelque chose, ça serait stéréographique partout.

 

Mes 0,02 €.

Posté

Pour moi, si on ne représente pas une portion trop grande du ciel, il en faut trois :

- Si la carte contient le pôle, une bête projection polaire : X = échelle x (90° - DE ) x cos(AD) et Y = échelle x (90° - DE ) x sin(AD).

- Si la carte contient l'équateur, une bête projection rectangulaire (surtout pas Mercator !) où l'on fixe l'échelle en ascension droite selon un parallèle de référence (par exemple si la carte est centrée sur 10°, on calcule X = échelle x cos (10°) x AD et Y = échelle x DE. Les distances en AD seront un poil contractées "au-dessus" du parallèle de référence (côté pôle) et un poil dilatées côté équateur.

- Sinon, une projection conique définie par deux parallèles de référence, un en haut et un en bas. Les distances en AD seront un poil dilatés à l'extérieur des parallèles de référence et un poil contractés à l'intérieur.

 

Avec ces trois projections, les angles droits et les distances en déclinaison sont conservées. Les angles non droits et les distances quelconques ne sont pas conservées, mais de peu.

 

(Et pareil pour les cartes géographiques d'ailleurs.)

Posté (modifié)

Coucou !

 

Je veux bien utiliser les projections que vous voulez, ça ne me gène pas vraiment, mais :

 

1. Est-ce réellement possible d'obtenir un consensus ?

 

2. Les cartes étant sur des étendues réduites (environ 8mm/degré, format A4), il semblerait que les projections soient assez approchantes. Ensuite, sur les objets très faibles, difficile à trouver, on peut très bien envisager des cartes régionales avec une échelle bien plus réduite (50 mm/degré, par exemple, mais à déterminer en temps et en heure, et même peut-être au cas par cas).

 

3. Je n'ai pas codé les transformations, et je n'en connais pas les formules, ça peut être coton.

 

4. La formule est complexe, certes (mais tant que ça ?), mais ça ne se ressent pas du tout sur le temps de calcul, en ce moment, c'est l'extraction des données qui est le facteur limitant, avec un taux de lecture d'environ 350 étoiles par secondes, mais je travaille dessus, et j'ai des pistes pour améliorer ça encore. Mais bon, 4m20 pour balayer les 90.000 étoiles...

 

5. Sur des cartes "générales", l'échelle standard est d'environ 8 à 9 mm par degré. On arrive à une centaine de planches. Est-ce que ça vous convient ? Ni un trop grand nombre de pages, ni des cartes trop peu exploitables ?

 

6. Sur des cartes, on retrouve les magnitudes limites à 7,6 (PSA, mais petit format) à 8,5 (l'essentiel des autres). Je peux fixer quoi ? 8,5, ça suffit ? Après, si on pousse les feux, on risque de ne plus s'y retrouver... Sans compter qu'avec les "zooms", on sera à 11m, non ?

 

Plein de questions ! À vous de bosser !! ;)

Modifié par BBBenj
Posté (modifié)

Déjà si tu reste avec les formules de projection UTM de Taki tu peux faire une grosse optimisation en pré-calculant le facteur de projection, je m'explique la transformation de projection est une fonction des coordonnées équatorial à laquelle on applique un facteur d'échelle indépendant. Donc tu peux très bien calculer à l'avance pour chaque étoile cette projection pour l'échelle 1 c'est à dire la sphère de rayon R=1 et de sauvegarder le résultat dans la base de donnée (une table dans ton cas). Après à l'affichage il n'y a plus de calcul à faire il suffit de rappeler cette valeur pour chaque étoile (une simple lecture en base) :O_o:

 

edit: ce que je dis n'est valable que pour un axe de projection constant pour toutes les cartes, je ne sais pas si c'est le cas avec Taki ?

Modifié par jgricourt
Posté (modifié)
Pour moi' date=' si on ne représente pas une portion trop grande du ciel, il en faut trois :

- Si la carte contient le pôle, une bête projection polaire : X = échelle x (90° - DE ) x cos(AD) et Y = échelle x (90° - DE ) x sin(AD).

- Si la carte contient l'équateur, une bête projection rectangulaire (surtout pas Mercator !) où l'on fixe l'échelle en ascension droite selon un parallèle de référence (par exemple si la carte est centrée sur 10°, on calcule X = échelle x cos (10°) x AD et Y = échelle x DE. Les distances en AD seront un poil contractées "au-dessus" du parallèle de référence (côté pôle) et un poil dilatées côté équateur.

- Sinon, une projection conique définie par deux parallèles de référence, un en haut et un en bas. Les distances en AD seront un poil dilatés à l'extérieur des parallèles de référence et un poil contractés à l'intérieur.

 

Avec ces trois projections, les angles droits et les distances en déclinaison sont conservées. Les angles non droits et les distances quelconques ne sont pas conservées, mais de peu.

 

(Et pareil pour les cartes géographiques d'ailleurs.)[/quote']

 

Moi je préfère la projection stéréographique car elle préserve les angles et donc les formes sans déformations (un cercle est un cercle) et vue que ces cartes ont pour but de faire du repérage je crois que c'est important de mon point de vue, après on fait comme on veut :) Sinon les cartes de Taki sont très bien car on peut déterminer les coordonnées avec une règle mais est ce vraiment utile ? Encore une fois sur une portion très limité du ciel la différence entre les projections est très faible ...

 

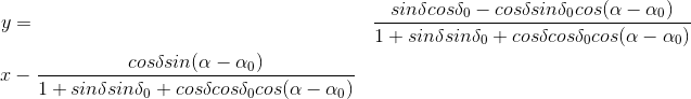
Les formules de projection stéréo. centrée sur une étoile de coordonnées équatoriale (ra0, dec0) données à l'échelle 1:

 

gif.latex?\bg_white%20\begin{align}%20y%20&=&%20\frac{sin%20\delta%20cos%20\delta_0%20-%20cos%20\delta%20sin%20\delta_0%20cos(\alpha-\alpha_0)}{1%20+%20sin%20\delta%20sin%20\delta_0%20+%20cos%20\delta%20cos%20\delta_0%20cos(\alpha-\alpha_0)}%20\notag%20\\%20x%20&=&%20-%20\frac{cos%20\delta%20sin(\alpha-\alpha_0)}{1%20+%20sin%20\delta%20sin%20\delta_0%20+%20cos%20\delta%20cos%20\delta_0%20cos(\alpha-\alpha_0)%20}%20\notag%20\end{align}

 

1. Est-ce réellement possible d'obtenir un consensus ?

 

Non ! On te donne des pistes des idées pour améliorer le programme de Taki après à toi de décider ce qui est dans ton intérêt, tu es maître du jeu ;)

 

La formule est complexe, certes (mais tant que ça ?), mais ça ne se ressent pas du tout sur le temps de calcul, en ce moment, c'est l'extraction des données qui est le facteur limitant, avec un taux de lecture d'environ 350 étoiles par secondes, mais je travaille dessus, et j'ai des pistes pour améliorer ça encore. Mais bon, 4m20 pour balayer les 90.000 étoiles...

 

Ok donc celà ne change pas le temps de calcul ... c'est bien la lecture Excel le responsable, cela ne m'étonne pas car ce n'est pas une base de donnée ...

 

Sur des cartes, on retrouve les magnitudes limites à 7,6 (PSA, mais petit format) à 8,5 (l'essentiel des autres). Je peux fixer quoi ? 8,5, ça suffit ? Après, si on pousse les feux, on risque de ne plus s'y retrouver... Sans compter qu'avec les "zooms", on sera à 11m, non ?

 

Idéalement on devrait pouvoir choisir / paramétrer le facteur d'échelle et donc calculer automatiquement la mag. limite optimale pour ne pas surcharger les cartes :)

Modifié par jgricourt
Posté

Je confirme que le consensus n'existe pas pour les projections cartographiques. Et c'est bien le foutoir pour se repérer sur terre, chaque pays voir région ayant sa propre projection.

 

Concernant Taki, je suis allé voir la page sur geocities.

 

Il parle de Modified Transverse Mercator Projection. C'est comme l'UTM mais avec des zones deux fois plus petites (3° au lieu de 6°). L'exemple en haut de la page montre bien le résultat. Un seul méridien et l'équateur sont droits. Tous les autres méridiens et parallèles sont courbes. On peut aussi voir le résultat sur un autre site web.

 

L'exemple que tu avais fournis en pdf, c'est différent. Regarde la tête du pôle. Ça ressemble plutôt à la proposition de 'Bruno.

Posté (modifié)

Coucou !

 

Éric, tu ne donnes pas la bonne page, il faut plutôt regarder sur la page de l'Atlas 8.5m, qui, elle, représente ce que je voudrais faire.

 

J'ai vérifié le PDF que j'avais mis. Bien évidemment, c'est le seul centré sur le pôle ! En voici un autre :

http://www.geocities.jp/toshimi_taki/atlas_85/c062-073_060715.pdf

 

Là, c'est un fichier qui englobe l'équateur. Et on constate effectivement sans difficulté (comme sur les autres cartes) que l'équateur et le méridien central sont droits. Et que dans les autres cartes (je ne vais pas faire un lien vers chaque carte...), seul un méridien est droit. Les pôles sont les exceptions avec visiblement l'utilisation d'une autre projection.

 

Je vais intégrer la formule de JGricourt (désolé, je ne connais pas ton prénom. Jean ? Jérôme ?) pour voir ce que ça donne et je vais vous poster un exemple.

 

Par contre, j'ai repris l'échelle, peu ou prou, de l'Atlas 8.5 de M. Taki. On a déjà presque 150 cartes avec son échelle (8,66667 mm/degré), j'ai le sentiment que c'est une échelle assez bonne, je me fixe 8 mm/degré pour débuter. On verra après. Retour dans un moment, mais continuez à réagir, je suis bigrement intéressé.

 

 

 

 

 

P.S. : Je précise, mon travail a vocation à la distribution PAPIER d'un ensemble de cartes très annotées et non pas la mise à disposition d'un programme, car l'annotation y est tout simplement impossible...

Modifié par BBBenj
Posté (modifié)
Je précise, mon travail a vocation à la distribution PAPIER d'un ensemble de cartes très annotées et non pas la mise à disposition d'un programme, car l'annotation y est tout simplement impossible...

 

Merci de le préciser car j'avais pas compris ça :) en tout cas je trouve ce projet super intéressant et je vais aussi faire quelque chose de mon côté mais en partant de zéro et plus sous forme d'un programme pour l'aspect paramétrage des cartes.

 

bon courage a toi on attends tes cartes avec impatience :)

 

ps: il doit bien exister un algo. de labellisation automatique de carte ? ou sinon je vais en inventer un ...

Modifié par jgricourt
Posté

Coucou !

 

Me voilà déjà de retour, mais bredouille...

Les formules de projection stéréo. centrée sur une étoile de coordonnées équatoriale (ra0, dec0) données à l'échelle 1:

 

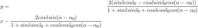
gif.latex?%5Cbg_white%20%5Cbegin%7Balign%7D%20y%20&=&%20%5Cfrac%7B2%20%28sin%20%5Cdelta%20cos%20%5Cdelta_0%20-%20cos%20%5Cdelta%20sin%20%5Cdelta_0%20cos%28%5Calpha-%5Calpha_0%29%29%7D%7B1%20+%20sin%20%5Cdelta%20sin%20%5Cdelta_0%20+%20cos%20%5Cdelta%20cos%20%5Cdelta_0%20cos%28%5Calpha-%5Calpha_0%29%7D%20%5Cnotag%20%5C%5C%20x%20&=&%20-%20%5Cfrac%7B2%20cos%20%5Cdelta%20sin%28%5Calpha-%5Calpha_0%29%7D%7B1%20+%20sin%20%5Cdelta%20sin%20%5Cdelta_0%20+%20cos%20%5Cdelta%20cos%20%5Cdelta_0%20cos%28%5Calpha-%5Calpha_0%29%20%7D%20%5Cnotag%20%5Cend%7Balign%7D

Euh... J'ai beau rechercher, je ne suis pas. À quoi correspondent delta et alpha ? Et delta0 et alpha0.

 

J'ai ma petite idée, mais je voudrais confirmation :

delta0 = déclinaison du centre de la carte

alpha0 = ascension droite du centre de la carte

 

et

delta = déclinaison de l'étoile

alpha = ascension droite de l'étoile

 

C'est bien ça ? Ce qui nous donne les coordonnées x et y sur la carte ?

 

 

 

 

Ok donc celà ne change pas le temps de calcul ... c'est bien la lecture Excel le responsable, cela ne m'étonne pas car ce n'est pas une base de donnée ...

Je travaille dessus. Mais bon, 4min20 au pire par carte pour balayer l'ensemble des étoiles de la carte, ça reste acceptable. Cela dit, j'ai des pistes dans différentes directions, que ce soit en conservant la structure Excel qu'en travaillant complètement différemment. Et ça avance plutôt bien. Mais ça reste long, comme tout.

 

 

Idéalement on devrait pouvoir choisir / paramétrer le facteur d'échelle et donc calculer automatiquement la mag. limite optimale pour ne pas surcharger les cartes :)

Genre limiter le nombre d'étoiles par carte ? On se fixe à x étoiles, et on détermine la magnitude maximale à ne pas dépasser, c'est ça ?

Posté (modifié)
C'est bien ça ? Ce qui nous donne les coordonnées x et y sur la carte ?

 

Oui tu as pigé ce sont bien les coordonnées équto. sauf que c'est donné pour l'échelle 1 (sphère de rayon 1 si tu préfères) donc il faudra appliquer un facteur d'échelle (le zoom) pour couvrir l'espace disponible sur la vraie carte. C'est un simple coefficient multiplicateur à mettre devant les formules (à toi de le choisir).

 

Genre limiter le nombre d'étoiles par carte ? On se fixe à x étoiles, et on détermine la magnitude maximale à ne pas dépasser, c'est ça ?

 

Non je dirais plutôt calculer la magnitude maxi en fonction de l’échelle choisie (voir Stellarium) et il me semble que Taki gère un truc comme ça en modélisant l'accroissement de magnitude sous forme d'un début de sinusoide ? (dis moi si j'ai pas rêvé là ...).

Modifié par jgricourt

Rejoignez la conversation !

Vous pouvez répondre maintenant et vous inscrire plus tard. Si vous avez un compte, connectez-vous pour poster avec votre compte.

Invité
Répondre à ce sujet…

×   Collé en tant que texte enrichi.   Coller en tant que texte brut à la place

  Seulement 75 émoticônes maximum sont autorisées.

×   Votre lien a été automatiquement intégré.   Afficher plutôt comme un lien

×   Votre contenu précédent a été rétabli.   Vider l’éditeur

×   Vous ne pouvez pas directement coller des images. Envoyez-les depuis votre ordinateur ou insérez-les depuis une URL.

  • En ligne récemment   0 membre est en ligne

    • Aucun utilisateur enregistré regarde cette page.

×
×
  • Créer...

Information importante

Nous avons placé des cookies sur votre appareil pour aider à améliorer ce site. Vous pouvez choisir d’ajuster vos paramètres de cookie, sinon nous supposerons que vous êtes d’accord pour continuer.