Aller au contenu

Messages recommandés

Posté

Après la liste de nébuleuses planétaires brillantes...

 

http://www.webastro.net/forum/showthread.php?t=131175&highlight=liste

 

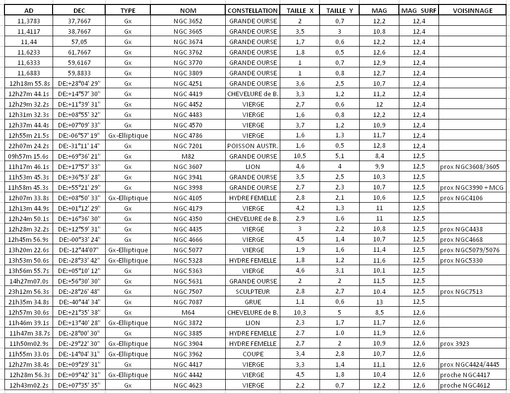
Voici une liste des galaxies les plus brillantes, classées par brillance surfacique décroissantes jusqu'à 12,6. Même si je l'ai complétée, merci à toi Christophe pour la liste de départ. ;)

 

Donc pour les imageurs fans de poses courtes ou les observateurs.

 

1359-1458477988.jpg

 

1359-1458478044.jpg

 

1359-1458478083.jpg

 

1359-1458478156.jpg

 

1359-1458478201.jpg

 

1359-1458478239.jpg

 

Albéric

  • Merci / Quelle qualité! 1
Posté
Fort bien, à analyser tranquillement...

(Un "f" à Girafe)

Patte.

 

Oui bien vu Patte !

Mais elle gardera ses deux 'f', de toute façon avec la réforme de l’orthographe, on peut faire n'importe quoi ! :be:

 

Albéric

  • 3 semaines plus tard...
Posté (modifié)

Je l'avais pas vu ta nice liste ;)

Merci merci. Je vais plastifier tout cela au même format que les NP et hop ;)

Dans la valise oculairesssss pour si un jour je peux sortir faire du visu :)

Il annonce super beau pour 2017 je crois :p

Modifié par Invité
Posté

Bonjour Albéric

 

.. ça devient hard.. Tu auras de quoi faire pendant ces prochaines années de vache maigre planétaire.

Suggestion : les references MCG sont peu utilisées, utilise plutôt le catalogue PGC ou UGC pour les objets moins connus.

 

Christian

Posté

Salutatous,

 

ATTENTION, dans le lot il y a des cibles plus ou moins intéressantes, les elliptiques sans détails n'ont rien de très motivant.

Pareil pour les MGC, en général pas très passionnants sauf si Christian nous les image. ;)

 

 

Dans la valise oculairesssss pour si un jour je peux sortir faire du visu :)

Il annonce super beau pour 2017 je crois :p

 

Peut-être l'été 2016 un peu avant ? :?::(

 

Mais au fait on peut télécharger un fichier quelque part ?

 

Tu peux sauvegarder les images (listes au format .jpg) et les imprimer.

 

.. ça devient hard.. Tu auras de quoi faire pendant ces prochaines années de vache maigre planétaire.

 

J'ai la liste des NP et des galaxies, mais il me manque les amas globulaires. ;)

 

Suggestion : les references MCG sont peu utilisées, utilise plutôt le catalogue PGC ou UGC pour les objets moins connus.

 

Je les considère comme des cibles secondaires de toute façon. Il y a largement de quoi faire en NGC ! :p

 

 

Albéric

Rejoignez la conversation !

Vous pouvez répondre maintenant et vous inscrire plus tard. Si vous avez un compte, connectez-vous pour poster avec votre compte.

Invité
Répondre à ce sujet…

×   Collé en tant que texte enrichi.   Coller en tant que texte brut à la place

  Seulement 75 émoticônes maximum sont autorisées.

×   Votre lien a été automatiquement intégré.   Afficher plutôt comme un lien

×   Votre contenu précédent a été rétabli.   Vider l’éditeur

×   Vous ne pouvez pas directement coller des images. Envoyez-les depuis votre ordinateur ou insérez-les depuis une URL.

  • En ligne récemment   0 membre est en ligne

    • Aucun utilisateur enregistré regarde cette page.
×
×
  • Créer...

Information importante

Nous avons placé des cookies sur votre appareil pour aider à améliorer ce site. Vous pouvez choisir d’ajuster vos paramètres de cookie, sinon nous supposerons que vous êtes d’accord pour continuer.