Aller au contenu

Messages recommandés

Posté

Je m'adresse aux spécialistes du logiciel Webastro.

 

En écrivant un CROA ce matin, je me suis aperçu qu'il n'y a pas dans la "police" du forum l'alphabet Grec (Symbol) :confused: qui pourtant serait très utile dans un forum d'astronomie pour désigner les étoiles, serait-il possible de l'inclure.;)

D'avance merci !

Dédé.

Posté

Astuce: règle ton clavier sur "grec", ou utilise la table des caractères (sous windows, c'est menu démarrer > programmes > quelque part dans accessoires) :)

 

(<méchant>évidemment, c'est une solution temporaire, pas une excuse pour que CdB fasse la grasse matinée pendant toute la durée des vacances :be: </méchant>)

Posté

La table des caractères ça ne fonctionne que si la police correspondante est installée sur le forum ! Tu n'as pas le choix dans la liste des polices en haut à gauche (liste déroulante).

Posté
En écrivant un CROA ce matin, je me suis aperçu qu'il n'y a pas dans la "police" du forum l'alphabet Grec (Symbol) :confused: qui pourtant serait très utile dans un forum d'astronomie pour désigner les étoiles, serait-il possible de l'inclure.;)

Dédé.

Si j'osais... et de quoi écrire des équations, aussi: racines, exposants, indices.

 

:be:

Posté
La table des caractères ça ne fonctionne que si la police correspondante est installée sur le forum ! Tu n'as pas le choix dans la liste des polices en haut à gauche (liste déroulante).

 

Justement, c'est la raison de mon post, ce serait bien que les "boss" l'inclus dans la liste des polices.

 

A l'attention de Gérard : Il faut oser :be:

Posté

Mon cher GG,

 

Avec keymap, tu as déjà les exposants ¹ ² ³ :eheh:.

 

Installe-le, et utilise la touche AltGr pour afficher de nouveaux caractères...

 

© œ ƒ ™ ‹ › ¼ ½ ¾ É “ ” « » È ¯ Ç À ¢ Ù ‡ … † ± — × ÷

 

Si c'est pas formidable, ça !!

 

PS : merci, Patte. ;)

Posté
Mon cher GG,

 

Avec keymap, tu as déjà les exposants ¹ ² ³ :eheh:.

Je cite:

 

KeyMap fonctionne sous Windows 95, Windows 98, Windows Millenium, Windows NT 4, Windows 2000, Windows XP

 

Et sous Mac? Et pi pourquoi faire compliqué quand il serait plus simple d'avoir tout cela dans l'éditeur?

 

Et pi je change souvent de Mac, de PC... non non, c'est pas la solution!

 

:hm:

Posté
LaTeX, LaTeX, LaTeX.....

 

Ben tien, justement: un éditeur/complitateur gratuit qui tourne sous windows (je sais pas comment on appelle ça) pour écrire mes docs en LaTeX, je peux trouver ça où?:?:

Posté

Salut,

 

Windows ? Miktex miktex miktex :D : http://miktex.org/

Euh ... ça c' est le "compilateur" (i.e. pdflatex doc.tex te fabrique le fichier doc.pdf contenant le document après "typesetting")

Pour éditer un document LaTeX, notepad suffit ;) . Si tu cherches un WYSIMLWYG (What You See Is More or Less What You Get), là je sais pas ...

Peut-être en cherchant du coté du ctan ( http://www.ctan.org/ ) ?

 

Il existe des module pour balancer du LaTeX dans des posts : http://www.mayer.dial.pipex.com/tex.htm

 

ça serait cool ! CDB, au boulot !

Posté
Salut,

 

Windows ? Miktex miktex miktex :D : http://miktex.org/

Euh ... ça c' est le "compilateur" (i.e. pdflatex doc.tex te fabrique le fichier doc.pdf contenant le document après "typesetting")

Pour éditer un document LaTeX, notepad suffit ;) . Si tu cherches un WYSIMLWYG (What You See Is More or Less What You Get), là je sais pas ...

Peut-être en cherchant du coté du ctan ( http://www.ctan.org/ ) ?

 

Il existe des module pour balancer du LaTeX dans des posts : http://www.mayer.dial.pipex.com/tex.htm

 

ça serait cool ! CDB, au boulot !

 

Miktex, latex, caoutchouc tout cela est un peu compliqué pour mettre une seule lettre Grec sur un post :cry:

Posté

kenaroh > A ton avis ? xD

 

 

Mais en plus, le LaTeX permet d'écrire des pages de calculs scientifiques, pas le Symbol. Ca va au-delà des simples caractères grecs et c'est demandé depuis longtemps déjà ;)

Posté

En écrivant un CROA ce matin, je me suis aperçu qu'il n'y a pas dans la "police" du forum l'alphabet Grec (Symbol) :confused: qui pourtant serait très utile dans un forum d'astronomie pour désigner les étoiles

 

Quel manque de respect... Pour commencer, on désigne les étoiles par leur nom quand elles en ont un

 

Et si elle n'ont pas cette fortune, OK pour utiliser le matricule grec, mais au moins taper le nom de la lettre grecque en toutes lettres (latines)(*). On n'est quand même pas si pressé que ça...

 

 

 

(*) Et puis ça permet d'apprendre comment se lit, s'écrit et se prononce l'alphabet grec aux nouveaux...

Posté
Quel manque de respect... Pour commencer, on désigne les étoiles par leur nom quand elles en ont un

 

Et si elle n'ont pas cette fortune, OK pour utiliser le matricule grec, mais au moins taper le nom de la lettre grecque en toutes lettres (latines)(*). On n'est quand même pas si pressé que ça...

 

 

 

(*) Et puis ça permet d'apprendre comment se lit, s'écrit et se prononce l'alphabet grec aux nouveaux...

 

Justement je pensais aux débutants qui lorsqu'ils cherchent une étoile sur une carte car elles sont souvent notées par une lettre de Bayer ! mais sinon tu peux regarder mes CROA, je mets en principe le nom commun suivit du numéro barbare ex : Véga (Alpha lyrae) ;)

Posté
mais sinon tu peux regarder mes CROA, je mets en principe le nom commun suivit du numéro barbare ex : Véga (Alpha lyrae) ;)

 

Oui j'ai vu :) J'ai comme ça réalisé que je commettais une erreur à parler de T Lyrae, alors que c'est Tau.

 

 

Le risque, c'est que si les caractères grecs sont dispos, il y a des CROA (pas les tiens...) qui vont se mettre à ressembler à des formules de maths...

Posté

Il manque aussi un module qui remplacerait les gros mots par des suites de caractères non alphabétiques.

"...Pff, ils sont %*$/§£& les membres ..." , tu vois l' idée TeTeX ? :be:

Posté
Je m'adresse aux spécialistes du logiciel Webastro.

 

En écrivant un CROA ce matin, je me suis aperçu qu'il n'y a pas dans la "police" du forum l'alphabet Grec (Symbol) :confused: qui pourtant serait très utile dans un forum d'astronomie pour désigner les étoiles, serait-il possible de l'inclure.;)

D'avance merci !

Dédé.

 

Bonsoir Dédé, :)

 

Peux-être trouveras-tu ton bonheur en faisant un copier-coller de ces lettres grecques :

 

α β γ δ ε ζ η θ ι κ λ μ ν ξ ο π ρ ς σ τ υ φ χ ψ

 

Rοgεr 15.

Posté

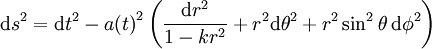
Oui, rhoger, mais comment veux-tu qu' on puisse écrire un truc comme ça, et donc discuter en profondeur du big bang et des trous noirs, sujets qui te passionnent au plus haut point, par couper/coller ?

 

0d03de77775b94f4d0d113874322aea1.png

 

hein ?

 

:be:

Posté
Pff, sont chiants les membres pour le moment.

 

Latex, grec ? Pourquoi pas l'alphabet latin tant qu'on y est ?

 

Ah zut...

 

Je ne suis pas "chiant" mais exigeant, d'ailleurs vu que je risque d'acheter du matériel Chinois il me faudrait aussi un alphabet Chinois :D

:dehors:

Posté
Salut,

 

Windows ? Miktex miktex miktex :D : http://miktex.org/

Euh ... ça c' est le "compilateur" (i.e. pdflatex doc.tex te fabrique le fichier doc.pdf contenant le document après "typesetting")

Pour éditer un document LaTeX, notepad suffit ;) . Si tu cherches un WYSIMLWYG (What You See Is More or Less What You Get), là je sais pas ...

Peut-être en cherchant du coté du ctan ( http://www.ctan.org/ ) ?

 

Il existe des module pour balancer du LaTeX dans des posts : http://www.mayer.dial.pipex.com/tex.htm

 

ça serait cool ! CDB, au boulot !

 

Dediou, ça fait 10 ans que je n'ai pas manipulé du LaTeX, mais je bave d'envie de m'en servir à nouveau car c'est trop bien.

Donc ce que je cherche (avec des mots simples), c'est un truc sous lequel je puisse taper avec la syntaxe du LaTeX (avec un fichier d'aide, si possible:p ) et qui puisse m'indiquer les erreurs de syntaxes quand je compile mon doc, puis qui me l'affiche ensuite tel qu'il est, que je puisse stocker et imprimer ensuite, mais que je puisse également remanier si ça me chante.

ok?:hm:

 

:D

 

Merci Arthur!^^

Posté

A mes débuts en astronomie, j'ai passé plus d'une semaine à aprendre par coeur l'alphabet Grec afin de me familiariser avec les cartes et plus tard je me suis fait un tableau de conversion pour faire mes contre-rendu sur "Word".

Posté
Donc ce que je cherche (avec des mots simples), c'est un truc sous lequel je puisse taper avec la syntaxe du LaTeX (avec un fichier d'aide, si possible:p ) et qui puisse m'indiquer les erreurs de syntaxes quand je compile mon doc, puis qui me l'affiche ensuite tel qu'il est, que je puisse stocker et imprimer ensuite, mais que je puisse également remanier si ça me chante.

ok?:hm:

 

Un truc dans ce genre, peut-être ?

 

http://www.ntu.edu.sg/home5/PG03053527/latexeditor/

 

A+

--

Pascal.

Invité akira
Posté

sinon y a kile qui est pas mal aussi ... mais je suis pas sur que ca tourne sous windaube.

Rejoignez la conversation !

Vous pouvez répondre maintenant et vous inscrire plus tard. Si vous avez un compte, connectez-vous pour poster avec votre compte.

Invité
Répondre à ce sujet…

×   Collé en tant que texte enrichi.   Coller en tant que texte brut à la place

  Seulement 75 émoticônes maximum sont autorisées.

×   Votre lien a été automatiquement intégré.   Afficher plutôt comme un lien

×   Votre contenu précédent a été rétabli.   Vider l’éditeur

×   Vous ne pouvez pas directement coller des images. Envoyez-les depuis votre ordinateur ou insérez-les depuis une URL.

  • En ligne récemment   0 membre est en ligne

    • Aucun utilisateur enregistré regarde cette page.
×
×
  • Créer...

Information importante

Nous avons placé des cookies sur votre appareil pour aider à améliorer ce site. Vous pouvez choisir d’ajuster vos paramètres de cookie, sinon nous supposerons que vous êtes d’accord pour continuer.