Aller au contenu

Messages recommandés

  • Réponses 488
  • Créé
  • Dernière réponse

Les pipelettes du sujet

Les pipelettes du sujet

Posté

Et voilà, le Nobel est attribué à Serge Haroche (Collège de France et ENS Paris) et à David J. Wineland de l'Université du Colorado pour leurs "travaux novateurs sur les méthodes expérimentales permettant de mesurer et de manipuler des systèmes quantiques individuels"

 

Pour le Higgs ce sera pour plus tard...

 

Dominique

Posté
Bonjour,

 

Je suis peut-être dans l'erreur, mais je pense que le Nobel n'ira pas à Higgs cette année car la nature exacte du boson trouvé au CERN n'est pas encore établie. À mon avis, il aura à coup sûr le prix Nobel (avec au moins Englert), mais pas avant l'an prochain et à condition qu'ATLAS et CMS démontrent sans ambiguïté que c'est le boson de Higgs qui a été observé et pas une bête beaucoup plus exotique qui remettrait en cause le mécanisme de Higgs.

 

Dominique

 

Belle prédiction! ;)

Mais si le boson découvert n'est pas le Higgs et qu'il vient bouleverser la théorie, cela serait en soi une découverte 'nobelisable'. Encore faudrait-il pouvoir l'expliquer... :confused:

Posté
Bon, vous avez eu chaud, on va pas fermer le CERN tout de suite :be:

 

http://bigbrowser.blog.lemonde.fr/2012/10/16/mini-trou-noir-une-allemande-craignant-la-fin-du-monde-echoue-a-arreter-le-cern/

 

Si vous voulez déprimer lisez les commentaires par contre....

 

Y'en a un qui sort du lot quand même:

 

"A part ça est-ce que l’histoire dit si cette allemande a payé les frais de justice et d’administration que sa bêtise et ignorance ont coûté aux contribuables?"

 

C'est la première chose à laquelle j'ai pensé!

 

D'ailleurs, ce serait plutôt à elle d'aller se cacher dans un trou... et bien noir.

 

Le pire, c'est qu'il s'agit de sa deuxième tentative.:O_o:

Posté
Y'en a un qui sort du lot quand même:

 

"A part ça est-ce que l’histoire dit si cette allemande a payé les frais de justice et d’administration que sa bêtise et ignorance ont coûté aux contribuables?"

 

C'est la première chose à laquelle j'ai pensé!

 

D'ailleurs, ce serait plutôt à elle d'aller se cacher dans un trou... et bien noir.

 

Le pire, c'est qu'il s'agit de sa deuxième tentative.:O_o:

 

+1. Errare humanum est, sed perseverare diabolicum ! :be::be:

  • 4 mois plus tard...
Posté

Bonjour,

 

Les physiciens travaillent d'arrache-pied dans les expériences ATLAS et CMS afin de mesurer les caractéristiques de la nouvelle particule découverte durant l'été 2012. Pour l'instant tout semble indiquer qu'il s'agit bien d'un boson de Higgs tout ce qu'il y a de plus standard. Par contre la valeur de sa masse est troublante, en effet, sans nouvelle physique, elle pourrait indiquer que le vide se trouve actuellement dans un état métastable. Cette métastabilité pourrait avoir des conséquences fâcheuses pour l'univers si une perturbation venait à faire basculer le vide dans un état de moindre énergie.

 

Je détaille tout cela sur mon blog : http://sortirdediaspar.blogspot.fr/2013/02/higgs-supersymetrie-et-stabilite-du-vide.html

 

La conférence de Moriond débute samedi prochain, les collaborations feront alors un nouveau point sur l'état des analyses.

 

Donc, comme on dit chez nous "stay tuned" :)

 

Dominique

Posté

Bonsoir,

 

Merci Mister Dom. :)

 

Comme souvent lorsque je lis tes explications, je navigue un peu au-delà des mes capacités à bien comprendre. Pour autant, le voyage reste passionnant.

 

Je suis lègèrement ébahi que l'on puisse imaginer une "perturbation" capable de modifier l'énergie du vide. Je pensais, sans doute naïvement, que cela faisait parti des paramètres initiaux, de ces choses établies une fois pour toutes à l'origine...

Posté
+1. Qu'est-ce qui pourrait perturber l'énergie du vide ?

 

:) réponse d'idiot:

n'importe quoi, une poussière, une impureté... comme pour l'eau?????

 

attendons avec gourmandise la réponse de ceux qui savent et permettent aux néophytes de voyager dans l'espace temps!.

Posté (modifié)
Bonjour,

 

Les physiciens travaillent d'arrache-pied dans les expériences ATLAS et CMS afin de mesurer les caractéristiques de la nouvelle particule découverte durant l'été 2012. Pour l'instant tout semble indiquer qu'il s'agit bien d'un boson de Higgs tout ce qu'il y a de plus standard. Par contre la valeur de sa masse est troublante, en effet, sans nouvelle physique, elle pourrait indiquer que le vide se trouve actuellement dans un état métastable. Cette métastabilité pourrait avoir des conséquences fâcheuses pour l'univers si une perturbation venait à faire basculer le vide dans un état de moindre énergie.

 

Je détaille tout cela sur mon blog : http://sortirdediaspar.blogspot.fr/2013/02/higgs-supersymetrie-et-stabilite-du-vide.html

 

La conférence de Moriond débute samedi prochain, les collaborations feront alors un nouveau point sur l'état des analyses.

 

Donc, comme on dit chez nous "stay tuned" :)

 

Dominique

 

bonjour!

 

intéressant que qu'elqu'un d'autre reprenne un sujet qui parait tout a fait hérétique que "l'énergie du vide"

(je suis fait vider du forum pour ce sujet ,que les gens n'avaient pas lu

et qui se sentaient insultés quand je répondais simplement qu'ils n'avaient pas lu assez)

 

(l'énergie du vide est une théorie éllaborée par Feynneman prix nobel des années 70 ....et non la mienne..,théorie achevée dont on ne discute pas la validité...on l'a demontrée récement experimentalement sur la base de deux experiences de labo: il ya creation de photons et d'autres particules mais cette reaction nécessite plus d'energie je pense que celle qui apparait: je suppose que les gens dont syncopathe on cru que je perrorais sur le theme du moteur perpétuel ce qui n'etait pas mon sujet du tout )

 

je vais relire ce sujet de votre blog

 

mais pour relancer ce theme j'ai lu plusieures choses a ce sujet:

Stephen Hawking parle lui d'une "énergie positive" qui apparait lors du big bang et d'une "énergie négative" égale strictement, le vide,il compare cela a un ouvrier qui creuse un trou, le tas de terre représenterait l'energie positive et le trou l'énergie négative....les deux sont égaux strictement...

mais de signe opposé au niveau mathématique...

 

il ne s'agit pas d'antimatière mais du vide.

 

 

j'ai entendu je crois un reportage sur national géo ou un physicien

disait que lorsque l'univers est apparu tout a fait a son debut (cad qq fraction infime de fraction de seconde, il avait la taille du système solaire, et l'energie positive la matiere y était comme "en état de surfusion" (la métastabilité de votre article??)pas de particules mais de "l'energie positive non materialisée sous forme de sous particules"...puis immédiatement apres , la"" surfusion" aurait cessé (la métastabilité?)pour donner naissance a la soupe de particules des origines..et à l'expansion primordiale brutale de la théorie standart.

 

je ne sais si c'est a rapprocher de votre info mais je vous repercute ces infos qui me reviennent en tête..

 

en fait la physique est bien balbutiante en astronomie: quelle est la nature

des vides entre le réseau de maille de matiere dans l'univers?: mystere..

 

est que cela correspond "l'enegie négative de SH?" a de l'antimatiere? (une autre théorie peu probable)

quel est le lien entre ces vastes etendues vides et le réseau en éponge de la matiere(les galaxies)?

 

il reste encore bien des choses a découvrir..

 

j'avais aussi évoqué la possibilité d'un mécanisme de compensation (tout a fait intuitivement) comme votre article en parle et dont j'ai fait une petite copie fragmentaire

 

merci d'évoquer ce sujet ( même si cela semble énerver certains)

 

 

bien a vous

 

JC

mes sources sont "SEV" "la recherche", et "science et avenir" pour répondre la question d'un maileur sur ce sujet

 

...........................................................................................

 

Un point reste très troublant ; en effet, le Higgs possède la capacité de se coupler à lui-même (autocouplage), or la faible masse du Higgs (~125 GeV) comparée à la masse du quark top (~173.5 GeV) conduit à calculer un couplage du Higgs avec lui-même qui devient négatif à haute énergie, la conséquence de ceci est que le vide devient instable à partir d'unecertaine énergie ! Le fait que nous vivions dans un univers dans lequel le vide est visiblement stable, conduit à penser qu'il existe un mécanisme de compensation non encore mis en évidence. Dans l'hypothèse peu probable où ce mécanisme de compensation n'existerait pas, il serait possible que le vide soit actuellement dans un état métastable, un peu comme un récipient d'eau refroidi en dessous de zéro degrés Celsius tout en restant liquide. Comme dans le cas de l'eau qui glace instantanément à la moindre perturbation, on pourrait alors imaginer qu'un évènement fasse basculer le vide dans un état de plus grande stabilité. La perturbation se propagerait alors dans tout l'univers à la vitesse de la lumière, balayant tout sur son passage dans une gigantesque débauche d'énergie. Une fois redevenu stable, l'univers fonctionnerait alors avec des lois physiques différentes et sans doute assez peu compatibles avec la vie telle que nous la connaissons. metastability.png

Modifié par albatros
Posté

Bonjour,

 

+1. Qu'est-ce qui pourrait perturber l'énergie du vide ?

 

S'il est métastable, le vide pourrait se perturber tout seul :) et basculer vers un vide de plus basse énergie (donc plus stable) par effet tunnel. Ceci pourrait se produire n'importe où dans l'univers et se propager de proche à la vitesse de la lumière.

 

Apparemment les théoriciens travaillent pas mal sur le sujet en ce moment pour calculer la durée de vie du vide actuel. L'un d'entre eux aurait trouvé quelque chose comme 10^100 ans... donc pas de souci dans l'immédiat :)

 

Tout ceci suppose que le modèle standard actuel est valide jusqu'à l'échelle de Planck. Un nouveau mécanisme tel que la SuperSymétrie pourrait stabiliser le vide.

 

Encore une fois, ce qui est intriguant dans cette observation, c'est le fait que la masse du Higgs et la masse du top, soient pile-poil aux bonnes valeurs pour que le vide soit juste à la limite de la stabilité.

 

Dominique

Posté

Comme quetzalcoatl tout cela me dépasse un peu !

 

10 puissance 100 ans ... on a un peu de temps devant nous ;) ... ça me rassure !

Posté

Faut se déplacer sur la pointe des pieds pour que le vide ne bascule pas. Et ne pas parler trop fort.

Posté

Encore une fois, ce qui est intriguant dans cette observation, c'est le fait que la masse du Higgs et la masse du top, soient pile-poil aux bonnes valeurs pour que le vide soit juste à la limite de la stabilité.

 

Dominique

 

Est ce susceptible d'alimenter le moulin des tenants des "paysages cosmiques", multivers pour résoudre la question du principe anthropique ? (comme Susskind, Barrau et d'autres).

 

Les univers bulles avec les mauvais paramètres (pour Higgs et la masse du top) sont instables, et nous ne pouvons être là pour les observer...

Posté

Bonjour,

 

Est ce susceptible d'alimenter le moulin des tenants des "paysages cosmiques", multivers pour résoudre la question du principe anthropique ? (comme Susskind, Barrau et d'autres).

 

Les univers bulles avec les mauvais paramètres (pour Higgs et la masse du top) sont instables, et nous ne pouvons être là pour les observer...

 

Oui tout à fait. Mais bien que cette idée de principe anthropique soit assez fascinante (il existe un très grand nombre, voire une infinité d'univers et nous sommes dans celui pour lequel les lois de la physique sont compatibles avec notre existence), c'est aussi un peu une façon de mettre les problèmes sous le tapis. Il peut aussi y avoir une raison profonde pour laquelle certains paramètres valent ce qu'ils valent et les coïncidences apparentes ne seraient alors que le reflet de notre compréhension limitée.

 

Un article de blog paru aujourd'hui sur l'histoire des 10^100 ans pour la durée de vie du vide : http://www.quantumdiaries.org/2013/02/27/l%E2%80%99univers-va-t-il-disparaitre/

 

Dominique

Posté

:ambu:Le LHC, lui même, serait il susceptible de pouvoir créer une impureté dans ce vide par ... l'exotisme de l'une de ses expériences?

Arrivés à ce stade, une simple pensée ne pourrait elle pas modifier le code général du cosmos "tel que nous le connaissons"?

La fin du monde (232eme version) nous tend elle les bras?

moi, 2012 ça m'en touchait pas une, mais 2013! dedans 2013 il y a... ce nombre que je n'ose pas écrire!:ambu:

 

Remettons nos botes spatiales:

La vraie surprise ne serait pas que Notre cosmos disparaisse,

le miracle absolument inexplicable est plutôt que nous soyons là, doués de conscience pour en parler! :):):)

Posté
Il peut aussi y avoir une raison profonde pour laquelle certains paramètres valent ce qu'ils valent et les coïncidences apparentes ne seraient alors que le reflet de notre compréhension limitée.

 

 

Une phrase qui fait plaisir à lire sous ta plume. :cool:

Posté

Bonjour,

 

@Albatros : Pas facile de répondre à toutes les questions que vous soulevez. Tout ce que je peux dire, c'est que les théoriciens Higgs, Brout, Englert, et al. ont proposé un mécanisme permettant de conférer de la masse aux particules élémentaires. Ce mécanisme repose sur l'existence d'un champ scalaire (voir plus bas pour l'explication de ce que c'est) qui remplit l'univers. Pour que le mécanisme fonctionne, il faut que l'état fondamental de ce champ, c'est à dire le vide, soit non nul.

 

Toutes les caractéristiques de la nouvelle particule découverte par ATLAS et CMS semblent confirmer qu'il s'agit bien du boson scalaire imaginé par les théoriciens. C'est fondamental, car c'est la première fois que l'on met en évidence un tel champ scalaire en physique des particules et cela valide tout le mécanisme. Le fait que le vide possède une énergie non nulle est une conséquence de cette découverte.

 

Ce qui est amusant, c'est qu'il existe une approche pour expliquer l'énergie noire qui consiste justement à introduire un champ scalaire. La tentation est donc forte d'assimiler les deux. Malheureusement ça ne colle pas, car quand on calcule l'énergie noire engendrée par le vide associé au mécanisme de Higgs, on trouve que celle-ci serait 10^120 fois trop importante ! Il y a donc un "léger" problème... On voit qu'il manque quelque chose d'important pour faire la connexion entre la cosmologie et la physique des particules.

 

Donc en bref, oui l'énergie du vide joue un rôle fondamental, mais on est loin d'avoir tout compris.

 

À propos du champ scalaire, on peut se représenter cela en imaginant une carte de température dans l'atmosphère par exemple. En chaque point de l'atmosphère on peut associer une valeur (un scalaire) qui représente la température, c'est donc un champ scalaire.

Si on fait la même chose avec le vent; à chaque point de l'atmosphère on peut associer une grandeur (la force du vent) et une direction (la direction dans laquelle souffle le vent), ceci peut être représenté par un vecteur, il s'agit donc d'un champ vectoriel.

 

Dominique

Posté

Merci Dom de nous aider à "imaginer" de quoi nous parlons!

 

A quoi ressemblerait donc un changement d'état de ce vide (s'il était en surfusion), la disparition de la gravité?

Posté

Cette nouvelle particule qui est peut-être le Higgs à une masse de 125 Gev, bien plus petite que le Quark Top (173.5 Gev) or ce dernier à été découvert en 1994 au Fermilab.

Comment se fait-il que l'on n'ai pas découvert plutôt ce soi-disant Higgs ? En était-ce la théorie qui manquait ?

Posté

Bonjour,

 

Merci Dom de nous aider à "imaginer" de quoi nous parlons!

 

A quoi ressemblerait donc un changement d'état de ce vide (s'il était en surfusion), la disparition de la gravité?

 

J'imagine (mais je peux me tromper) qu'il y aurait un énorme flash de rayonnement (gamma ?) qui balayerait l'univers. Ensuite les masses des particules changeraient ce qui modifierait les couplages physiques. On aurait alors des lois physiques différentes... un gros bazar quoi !

 

Cette nouvelle particule qui est peut-être le Higgs à une masse de 125 Gev, bien plus petite que le Quark Top (173.5 Gev) or ce dernier à été découvert en 1994 au Fermilab.

Comment se fait-il que l'on n'ai pas découvert plutôt ce soi-disant Higgs ? En était-ce la théorie qui manquait ?

 

La masse n'est pas la seule quantité important pour découvrir une particule, il faut aussi prendre en compte les sections efficaces, c'est à dire les probabilités pour que la nouvelle particule se forme et ensuite il faut qu'elle se désintègre dans un mode qui permette de l'identifier.

 

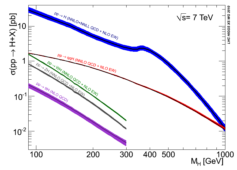
La courbe des sections efficace de production du Higgs en fonction de sa masse et pour des collisions à 7 TeV est donnée dans le graphe ci-dessous :

 

Higgs_XS_7TeV.png

 

Pour un Higgs de 125 GeV la section efficace de production vaut 15.3 pb

 

A 7 TeV la section efficace de production de paires de quarks top vaut environ 170 pb soit plus de 10x plus que la section efficace de production du Higgs. De plus le top se désintègre presque exclusivement dans un seul canal (t --> W B), alors que le Higgs se désintègre dans plusieurs canaux.

 

Dominique

Posté
:ambu:Le LHC, lui même, serait il susceptible de pouvoir créer une impureté dans ce vide par ... l'exotisme de l'une de ses expériences?

Il y a des accélérateurs de particules bien plus puissants que le LHC dans l'univers : Trous noirs, étoiles à neutron etc...

Posté

Merci pour ta réponse détaillée Dominique.

 

Il y a des accélérateurs de particules bien plus puissants que le LHC dans l'univers

Justement, a-t-on pu trouver quelques indices de particules supersymétriques dans les rayons cosmiques très énergétiques qui nous arrivent sur terre. D'ailleurs, existe-t-il de telles recherches/expériences ?

Posté
Merci pour ta réponse détaillée Dominique.

 

 

Justement, a-t-on pu trouver quelques indices de particules supersymétriques dans les rayons cosmiques très énergétiques qui nous arrivent sur terre. D'ailleurs, existe-t-il de telles recherches/expériences ?

 

Il y a "l'observatoire" de rayons cosmiques, Pierre Auger, dans la pampa argentine. Si j'en crois la page wiki, ils ont pu tester positivement l'anisotropie des rayons d'ultra-haute énergie (pas de direction privilégiée), mais pas leur provenance, même si les noyaux de galaxies actives (AGN) sont des candidats sérieux.

Posté
Bonjour,

 

Les physiciens travaillent d'arrache-pied dans les expériences ATLAS et CMS afin de mesurer les caractéristiques de la nouvelle particule découverte durant l'été 2012. Pour l'instant tout semble indiquer qu'il s'agit bien d'un boson de Higgs tout ce qu'il y a de plus standard. Par contre la valeur de sa masse est troublante, en effet, sans nouvelle physique, elle pourrait indiquer que le vide se trouve actuellement dans un état métastable. Cette métastabilité pourrait avoir des conséquences fâcheuses pour l'univers si une perturbation venait à faire basculer le vide dans un état de moindre énergie.

 

Je détaille tout cela sur mon blog : http://sortirdediaspar.blogspot.fr/2013/02/higgs-supersymetrie-et-stabilite-du-vide.html

 

La conférence de Moriond débute samedi prochain, les collaborations feront alors un nouveau point sur l'état des analyses.

 

Donc, comme on dit chez nous "stay tuned" :)

 

Dominique

 

A noter également la conférence qui s'est tenue à l'IAP le mois dernier et que l'on peut visionner ici : http://www.canal-u.tv/video/cerimes/la_decouverte_du_boson_de_higgs_au_cern.11454

 

En fin de conférence il y est d'ailleurs question des implications cosmologiques de la découverte du Higgs, et de cette problématique de stabilité du vide. Je la recommande chaudement aux profanes comme moi, cela reste plutôt abordable.:)

Posté (modifié)

Le LHC laisse la place à Planck et AMS

On attend en effet la publication des résultats de la chasse aux particules de matière noire avec le détecteur AMS. Il ne faut probablement pas s’attendre à des miracles, étant donné que le LHC n’a pour le moment fourni aucune trace de ces particules. Mais on ne se sait jamais.

Le Spectromètre magnétique alpha (AMS-02) est un détecteur de physique des particules installé sur un module arrimé à la Station spatiale internationale (ISS) dont l’objectif est la recherche de matière noire, d’antimatière et de matière manquante dans les rayons cosmiques.

Depuis le 19 mai 2011, AMS-02 a enregistré quelques 17 milliards d’événements de rayons cosmiques. Ces événements ont été utilisées pour calibrer soigneusement les détecteurs de particules afin d'exploiter pleinement leur sensibilité à la recherche des événements les plus rares. Au cours de cette période AMS mesura directement des rayons cosmiques de haute énergie à partir de l'espace: pour la première fois des électrons d'énergie supérieure à 1 TeV et des positrons avec des énergies supérieures à 200 GeV ont été enregistrés avant d'entrer dans l'atmosphère.

Sources : La référence de quetzalcoatl ci-dessus.

http://www.ams02.org/

 

Dernières nouvelles d'AMS

Modifié par Jean-ClaudeP
  • 2 semaines plus tard...
Posté

La science au jour le jour:

Le boson découvert au LHC ressemble vraiment beaucoup au boson de Higgs. C'est l'annonce faite ce matin par le Cern, qui résume ainsi le propos des physiciens qui analysent les milliards de chocs entre protons qui ont eu lieu dans les deux expériences - CMS et Atlas - du Grand Collisionneur de Hadrons (LHC).

http://sciences.blogs.liberation.fr/home/2013/03/le-boson-serait-vraiment-de-higgs-cern.html

Rejoignez la conversation !

Vous pouvez répondre maintenant et vous inscrire plus tard. Si vous avez un compte, connectez-vous pour poster avec votre compte.

Invité
Répondre à ce sujet…

×   Collé en tant que texte enrichi.   Coller en tant que texte brut à la place

  Seulement 75 émoticônes maximum sont autorisées.

×   Votre lien a été automatiquement intégré.   Afficher plutôt comme un lien

×   Votre contenu précédent a été rétabli.   Vider l’éditeur

×   Vous ne pouvez pas directement coller des images. Envoyez-les depuis votre ordinateur ou insérez-les depuis une URL.

  • En ligne récemment   0 membre est en ligne

    • Aucun utilisateur enregistré regarde cette page.

×
×
  • Créer...

Information importante

Nous avons placé des cookies sur votre appareil pour aider à améliorer ce site. Vous pouvez choisir d’ajuster vos paramètres de cookie, sinon nous supposerons que vous êtes d’accord pour continuer.