Aller au contenu

Messages recommandés

Posté (modifié)

Bonjour,

 

Je me permets d'ouvrir ce sujet pour recueillir les avis d'experts et faire un résumé sur la perte de luminosité qui se produit dans les lunettes et dans les telescopes entre l'entrée et la sortie, due aux divers elements optiques tels que les lentilles, les miroirs et les renvois coudés.

L'idée est de se concentrer sur du matériel plutot grand public incluant les APO entre 1000 et 2000 euros comme les ED100 et ED120 SW.

 

Concernant les lunettes:

Pour le moment, de ce que j'ai pu lire ici et la, les lentilles des lunettes d'initiation semblent avoir une perte de luminosité de 2% par face, donc un facteur de transmission de 98% fois deux lentilles fois deux faces = 0.98^4 = 0.922. Est-ce que les connaisseurs pourraient deja confirmer cela ?

Ensuite y-a-t-il aussi une perte de lumiere dans la lentille ?

Est-ce que cela vaut aussi pour les lentilles Schott des SW ED100 et ED120 ?

 

Ensuite les renvois coudés dielectriques annoncent une reflectivité de 99%, la au moins c'est clair, mais qu'en est-il des renvois coudés classiques livrés avec les lunettes ?

Ont-ils plutot une reflectivité de 90%, 92%, 95% ?

 

Concernant les telescopes:

L'obturation due au miroir secondaire est proportionnelle a d^2/D^2 avec d = diametre du miroir secondaire et D = diametre du miroir primaire, mais en pratique que vaut d pour un Newton de 150 ou de 200 par exemple ?

De plus quelle est la reflectivité des miroirs primaire et secondaire ?

 

Concernant les oculaires

Faut-il aussi prendre en compte une perte de luminosite au niveau des oculaires ?

Est-ce la meme regle des 2% de perte par face par lentille ?

Cela depend-il aussi de la marque et de la technologie optique des oculaires, et dans ce cas quelle est-elle pour les marques connues SW Plossl, ES, TV Nagler etc ?

 

Merci a vous.

Modifié par astroshaolin
Posté

Pour les oculaires, j'ai lu quelque part qu'on arrive au mieux à 1 % de perte par surface de lentille. Donc je m'attends à ce que les meilleures lunettes atteignent aussi ces performances. J'avais déjà vu, il y a plus de dix ans, un tableau de transmission de divers oculaires (j'ai toujours le lien, mais le site n'existe plus), je me souviens que les Nagler étaient dans les 92 %, les oculaires bas de gamme dans les 88 %, et les plus « transmetteurs » étaient les Plössl TeleVue, dans les 95 % en gros, ainsi que certains oculaires moins connus. En gros : les oculaires avec peu de lentilles, dans les marques haut de gamme, transmettaient genre 95 % ; les oculaires avec beaucoup de lentilles, dans les marques haut de gamme, transmettaient pas mal, genre 90 % ; et les oculaires bas de gamme étaient sous 90 %. Mais c'est vraiment de mémoire. J'en avais retenu que ça ne dépend pas que du nombre de lentilles, mais aussi (et peut-être surtout) de la qualité des traitements de surface sur les lentilles.

 

L'obstruction des Newton est souvent de l'ordre de 25 %. Ça fait perdre environ 6 % (c'est équivalent à un taux de transmission de 94 %). Les taux de réflexion des miroirs sont de l'ordre de 85 % pour une aluminure normale, de 95 % pour une aluminure haute réflectivité. Il faut tenir compte aussi du miroir secondaire, de sorte qu'on a un taux de transmission de 72 % avec deux miroirs à 85 %, et 90 % avec deux miroirs à 95 %.

 

Mais attention : ces valeurs concernent le top de la courbe de transmission, obtenues pour une valeur précise de la longueur d'onde. En fait, la transmission est moindre de part et d'autre de cette longueur d'onde optimale. On peut très bien avoir 95 % dans le vert, mais 90 % dans le rouge et 85 % dans le bleu, ce genre de chose. Donc au total, sur l'ensemble du spectre, la transmission réelle est inférieure à celle qu'on pourrait obtenir avec les données. Si on veut être précis, il faut regarder les courbes de transmission.

 

Posté

Super, merci jeap pour le lien, c'est clairement des infos que je recherchais.

Et merci Bruno pour les données chiffrées.

Je ferai un petit recapitulatif complet pour les personnes interessées.

Concernant les lunettes, donc pour celles haut de gamme c'est plutot 1% de perte / face pour les haut de gamme du genre APO et plutot 2% / face pour les autres types SW 90/900 ?

Quant aux Newton, quand tu dis "les taux de réflexion des miroirs sont de l'ordre de 85 % pour une aluminure normale, de 95 % pour une aluminure haute réflectivité", tu peux me donner des exemples de telescopes "normaux" et d'autres "haute reflectivité" ? Par exemple dans quelle catégorie sont les modèles Skywatcher N 200/1000 Explorer ?

Merci

Posté
Il y a 7 heures, jeap a dit :

Salut

J'ai toujours ce lien dans mes favoris, c'est pas des oculaires très récents, mais ça donne une idée ;)

http://www.amateurastronomie.com/Astronomie/tips/tips3.htm

 

Hé, mais c'est celui dont j'avais perdu le lien ! (Le lien qui ne marchait pas devait être autre chose). Merci Jeap, c'est pile poil ce dont je parlais ! Et je ne me souvenais plus qu'il donnait des valeurs en fonction de la longueur d'onde.

 

Posté

Bonjour,

 

Du coup voici un petit recap, n'hesitez pas à me corriger ou à completer les données:

 

* Pour une lunette grand public entree et milieu de gamme de diametre D, exemple SW 90/900,

- la luminosité captée est facteur de D^2

- La perte de luminosité est de 2% par face de lentille, fois 4, cela donne 8% de perte soit 92% de transmittance

- La perte de luminosité du renvoi coudé dielectrique est de 1%, soit 99% de transmittance

 

=> Au final, hors oculaire, la luminosité captée est facteur de 0.92*0.99*D^2 = 0.91 * D^2

 

* Pour une lunette grand public mileu/haut de gamme (par exemple les APO doublet ED SW) de diametre D,

- la luminosité captée est toujours facteur de D^2

- La perte de luminosité est de 1% par face de lentille, fois 4, cela donne 8% de perte soit 96% de transmittance

- La perte de luminosité du renvoi coudé dielectrique est de 1%, soit 99% de reflectivité

 

=> Au final, hors oculaire, la luminosité captée est facteur de 0.96*0.99*D^2 = 0.95 * D^2

 

* Pour un télescope entree et milieu de gamme avec miroirs primaire de diametre D et secondaire d (exemple ?),

- la luminosité captée a l'entree est facteur de d^2

- L'obturation est facteur de d^2/D^2, avec d = 0.25D, soit 6% de perte donc 94% de transmittance

- La perte de luminosité par miroir est de 15% (soit 85% de reflectivité), donc 28% pour les deux (72% de reflectivité)

 

=> Au final, hors oculaire, la luminosité captée est facteur de 0.94*0.72*D^2 = 0.68 * D^2

 

* Pour un télescope milieu/haut de gamme avec miroirs primaire de diametre D et secondaire d (exemple ?),

- la luminosité captée a l'entree est facteur de d^2

- L'obturation est facteur de d^2/D^2, avec d = 0.20D, soit 4% de perte donc 96% de transmittance

- La perte de luminosité par miroir est de 5% (soit 95% de reflectivité), donc 10% pour les deux (90% de reflectivité)

 

=> Au final, hors oculaire, la luminosité captée est facteur de 0.96*0.90*D^2 = 0.86 * D^2

 

Peut-on en deduire qu'un telescope milieu de gamme de diametre D (transmittance 0.68 D^2) a un pouvoir de captation de lumière équivalent à une lunette milieu de gamme de diametre 1/sqr(0.68/0.91) x D = 1.15 x D ?

 

Ou bien qu'un telescope milieu de gamme de diametre D (transmittance 0.68 D^2) a un pouvoir de captation de lumière équivalent à une lunette milieu/haut de gamme de diametre 1/sqr(0.68/0.95) x D = 1.18 x D ?

 

Ou encore qu'un telescope haut de gamme de diametre D (transmittance 0.86 D^2) a un pouvoir de captation de lumière équivalent à une lunette milieu/haut de gamme de diametre 1/sqr(0.86/0.95) x D = 1.05 x D ?

 

Ou bien fais-je une erreur de raisonnement ?

 

Merci

Posté

Toutes ces étapes de calcul sont très intéressantes mais, au final, si l'on admet, par exemple,  un rendement "tout compris" de 80% (c'est très pessimiste), cela correspond à un coefficient d'atténuation du flux optique de 1/0,8 = 1,25 soit 0,25 magnitude.

Avec un instrument de 200 mm de diamètre, portant le gain visuel de 6 à (6 + 7,5)magnitudes  = 13,5 magnitudes, la perte de luminosité globale n'est que de 0,25/13,5 = 1,85% !

Il faut donc être pragmatique et relativiser l'impact optique de la mauvaise transmission d'un instrument ;).

Posté (modifié)

Salut, merci pour ton commentaire, c'est interessant de raisonner avec les magnitudes, je ne maitrise pas encore ce concept :)

 

Apres, il me semble que 1 en magnitude represente x2.5 plus de lumiere émise (ou observee), donc 0.25 de magnitude en moins cela represente 0.25 x 150% = 37% de lumiere proprement dite captée, est-ce bien cela ?

En fait plus que par passion des calculs mathematiques, j'essaie de me rendre compte de l'equivalence lunette / telescope en terme de diametre pour un achat futur.

Perso j'ai une lulu 90/900 pour le moment et j'en suis content, mais j'envisage d'acheter dans quelques annees une APO 120, par exemple la 120ED, si possible d'occasion pour moins de 1000 euros. Et mes calculs me font conclure qu'outre le piqué, le contraste et la definition bien meilleurs sur une 120ED par rapport à un Newton <200, la lumière captée serait equivalente à un Newton 140 (120 x 1.18), donc un poil moins qu'un Newton 150.

 

Evidemment cela restera bcp moins qu'avec un Newton 200...

 

Est ce que mes calculs et mon raisonnement tiennent la route ?

 

Modifié par astroshaolin
Posté

Il me semble qu'on observe en effet, en pratique, qu'une lunette haut de gamme de diamètre dépasse sensiblement en magnitude un télescope quelconque de même diamètre. Je me souviens d'une soirée d'il y a une vingtaine d'années où on avait comparé mon Dobson 200 mm à une lunette 178 mm ED : la lunette était nettement devant en magnitude limite, en fait elle était au niveau d'un 250 mm présent par ailleurs.

 

Il y a 7 heures, astroshaolin a dit :

donc 0.25 de magnitude en moins cela represente 0.25 x 150% = 37% de lumiere proprement dite captée, est-ce bien cela ?

 

Non, c'est plus compliqué. Un gain de M magnitudes (négativement) revient à capter 10^0,4M fois plus de lumière.

 

Exemples :

- Gagner 5 magnitudes revient à capter 10^2 fois plus de lumière. (C'est bien la définition : 5 magnitudes = facteur 100.)

- Gagner 0,25 magnitude revient à capter 10^0,1 =

 

 

Posté

Pour te simplifier un peu les choses sans faire des calculs mathématiques compliqués (même si cela est intéressant pour un opticien comme moi) , il existe plusieurs règles générales à retenir en astronomie :

 

L' instrument d'astronomie qui a la plus faible perte de luminosité est la lunette astronomique.

Ensuite, on trouve les Newtons,Cassegrains classiques et Gregory en seconde position avec une perte de lumière un peu plus élevée à cause notamment de l'obstruction centrale du miroir primaire causée par le miroir secondaire.

Enfin, on retrouve les catadioptriques comme les Schmidt-Cassegrain et les Maksutov-Cassegrain avec la plus faible transmission de lumière car lame correctrice + deux miroirs par instrument en plus toujours de l'obstruction centrale du miroir primaire.

 

En gros, voici le pourcentage de transmission de lumière par catégorie d'instruments :

 

lunettes astronomiques à 94 %

Newtons et autres télescopes à deux miroirs à 85 %

catadioptriques à 75 %

 

Ces données sont obtenues en utilisant les meilleurs renvois coudés et oculaires possibles.Elles sont un peu plus faibles avec des instruments d'astronomie bon marché du commerce (soient quelques pourcents encore en moins).

 

On peut donc en déduire qu'une lunette astronomique donne le même rendu en images qu' un Newton de 3 cm de diamètre plus élevé.

 

Exemples :      Un Newton de 200 mm est équivalent à une lunette de 170 mm.

 

                           Un Newton de 114/900 mm est équivalent seulement à une lunette de 90 mm.

 

C'est vrai que cela paraît bizarre en optique mais le diamètre d'un instrument ne fait pas tout.

 

C'est donc aussi à cause de cela que les instruments Ritchey-Chrétien ont la plus "mauvaise" transmission de lumière et sont difficilement utilisable pour observer.Mais ils sont parfaits pour la photo astro.

 

 

 

 

 

 

         

                           

 

                 

 

 

 

 

Posté

Non, ça ne marche pas. D'après tes chiffres, une lunette transmet 94 % et un Newton 85 % (à diamètre égal, je suppose).  Elle serait donc 1,10 fois plus lumineuse.

A transmissions identiques, un Newton de 200 mm est (200/170)^2 = 1,38 fois plus lumineux qu'une lunette de 170 mm.

 

En considérant, cette fois, les coefficients de transmissions, on peut écrire :

(200)^2 x 0,85 = 34000

(170)^2 x  0,94 = 27170

Donc le Newton de 200 l'emporte encore sur la lunette de 170 mm, malgré sa meilleure transmission (1,25 au lieu de 1,38)

 

Quelque chose ne va donc pas dans ton raisonnement...:confused:

Posté

Repartons de la base du calcul (je ne prends jamais pour argent comptant les formules toutes faites):

 

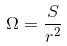
Pogson nous dit qu'une différence de magnitude correspond à une différence de flux lumineux capté par l'instrument:

image.png.580659da22c41b2b7be7252e0576a6a7.png

 

Mais aussi l'intensité est le rapport du flux lumineux par un angle solide (stéradian), cette intensité dépend de la source
image.png.6df641889f64d34b60a77fc230b77910.png

 

L'angle solide caractérise la portion du flux lumineux émis à la distance "r" et intercepté par l'instrument 

image.png.09b280765907ccae4f2982d9cc69c4c2.png

 

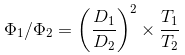
La surface collectrice de l'instrument s'écrit donc aussi :

image.png.2935422426894988cdda75dfb8818208.png 

 

Donc avec tous ces elements on peut commencer à réécrire le flux

image.png.c9c62f34fb14b2ed5406b891657afa58.png

 

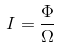
Mais l'instrument n'est pas parfait et une portion du flux est perdu en route donc en tenant compte de la transmission T

image.png.6a629a5520f32a37977a570503f3e0e7.png

 

Si l'on compare les flux entrant des 2 instruments :

image.png.71f5833f4417bfb9066e25b85dbd6da9.png

 

image.png.456e65d440cc0c43a2e7605c0895b372.png

 

Dans la formule de Pogson

image.png.6e2d0b8d3e5a474d613684854b05e06c.png

 

image.png.279fe420835c7f7dac2091e1c6913470.png

 

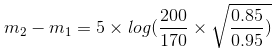
Maintenant en remplaçant les valeurs pour réaliser le calcule de Toutiet

image.png.6073e60f6c4eb4de5065b7df06bd262d.png


Et au final :

 

image.png.713eba78d5e65700f32947416aaddd04.png

 

Donc le gain de magnitude de la lunette est encore de 0.23 par rapport au Newton, on va dire que c'est suffisamment faible pour dire que ces 2 instruments sont équivalents du point de vue de la magnitude limite atteinte :) 

Posté
Le 20.9.2018 à 14:23, Toutiet a dit :

Avec un instrument de 200 mm de diamètre, portant le gain visuel de 6 à (6 + 7,5)magnitudes  = 13,5 magnitudes, la perte de luminosité globale n'est que de 0,25/13,5 = 1,85% !

Là je ne suis plus. Ce calcule n'a, à mon avis, pas beaucoup de sens parce que:

1) Ici on utilise une échelle logarithmique.

2) la valeur 0 n'est pas le début de l'échelle (en faite il n'y a pas de début puisque c'est logarithmique). C'est comme si on disait que 12°C c'est 20% plus chaud que 10°C.

 

Mais la conclusion reste bien sûr valide.

Posté

Oui bien sûr, 0.25/13.5 = 1.85%.

Et 1°C c'est -200% de plus de degrées que -1°C 🤔  , mais physiquement cela ne veut rien dire.

Là les 13.5 c'est une valeur abitraire (et en plus, comme mentionné plus haut, les mag. utilisent une échelle log.).

 

Avec la même argumatation un télescope de 400mm (plus 1.5 mag par rapport au 200 mm) serait 1.5/13.5 = 11% "mieux" qu'un 200mm.

 

 

  • 1 année plus tard...
Posté

Attention, la perte de transmission par surface de lentille se n'additionne pas, elle se multiplie !

 

Ainsi, si on considère 1% de perte par surface de lentille (avec les traitements multicouche actuels, on est plutôt de l'ordre de 0.25%), il y a 100-1=99% de lumière qui passe par surface de lentille.

 

Si on a 6 lentilles, cas classique d'un triplet + aplanisseur, cela fait 12 surfaces. La transmission n'est pas de (1-0.01x12)=88.0% mais de (1-0.01)^12=88.6%. Les miroirs ont une réflectivité de l'ordre de 94% soit 6% de perte (avec traitement "de base"). Un Newton + correcteur de coma à 4 lentilles ne laissera donc pas passer 1-2x0.06-8x0.01=80% de la lumière mais ((1-0.06)^2)x((1-0.01)^8)=81.5%. Cela dit l'écart est assez faible. On s'en tape un peu d'ailleurs de tous ces calculs, le mieux est d'imager avec ce que l'on a plutôt que de se perdre en calculs... quoique ça occupe !

Rejoignez la conversation !

Vous pouvez répondre maintenant et vous inscrire plus tard. Si vous avez un compte, connectez-vous pour poster avec votre compte.

Invité
Répondre à ce sujet…

×   Collé en tant que texte enrichi.   Coller en tant que texte brut à la place

  Seulement 75 émoticônes maximum sont autorisées.

×   Votre lien a été automatiquement intégré.   Afficher plutôt comme un lien

×   Votre contenu précédent a été rétabli.   Vider l’éditeur

×   Vous ne pouvez pas directement coller des images. Envoyez-les depuis votre ordinateur ou insérez-les depuis une URL.

  • En ligne récemment   0 membre est en ligne

    • Aucun utilisateur enregistré regarde cette page.
×
×
  • Créer...

Information importante

Nous avons placé des cookies sur votre appareil pour aider à améliorer ce site. Vous pouvez choisir d’ajuster vos paramètres de cookie, sinon nous supposerons que vous êtes d’accord pour continuer.