Aller au contenu

Messages recommandés

Posté

Bonjour tout le monde,

 

 

1er épisode ici: 

Le 3ème et dernier épisode ici: Les remerciements pour votre aide

 

 

la construction du T 400 suit son cours. Avec bien sûr, des points que j'essaye de comprendre…. En vain ! :confused: ;)

 

Pour fixer les tourillons sur le cadre, j'ai fait un petit découpage en carton pour mieux visualiser ou les fixer. Mais, cela ne m'aide pas beaucoup !

  IMG_20180929_104230.thumb.jpg.4a83b55d829ff5b9f022d733c8c8e3c3.jpg

Le point sur le dessus est le centre de gravité théorique, puisque je ne connais pas le poids de la cage secondaire (par exemple!)

Je met peut être la charrue avant les bœufs. A savoir, faire tout le reste, et fixer les tourillons en dernier?

 

Une petite photo de l'avancement des travaux :IMG_20180929_122808.thumb.jpg.e8b3e5c42a4f66cbdd26646495b19ea4.jpg      Vos commentaires constructifs sont les bienvenus.

 

Bon cieux

Patrice

Posté

Bonjour,

Si le centre de gravité prévu est le point en haut de la photo (le toit de la maison), attention ton télescope sera complètement déséquilibré !

Il faut le centre de gravité soit confondu avec le centre des tourillons : dans ce cas le couple lié au poids du télescope est nul et il reste stable lorsque tu auras pointé une étoile. Bien évidement en fonction de ce que l'on monte comme oculaire, le poids de la cage secondaire varie. Le mieux est donc d'estimer où se trouve le centre de gravité sans oculaire, et avec l'oculaire le plus lourds (ou la tête bino si prévue) puis de placer le centre des tourillons au milieu des 2 cotes.

 

Donc suivant le découpage que tu as fait, il faudrait augmenter significativement le diamètre des tourillons : les points d'appuis restant au même endroit, cela va remonter le centre de rotation des tourillons.

 

Un petit tour sur les pages de magnitude 78 éclaircira mon propos peut-être un peu confus... http://www.astrosurf.com/magnitude78/telescopes/TelStrock/principes.html

Sinon si l'anglais n'est pas un problème, je dois avouer que j'ai trouvé le livre de David Kriege (Dobson Obsession) très bien fait.

http://www.willbell.com/tm/dobtel.htm

Les structures et solutions ne sont pas forcément du dernier cri, mais il y a beaucoup d'explications sur la mécanique, le choix des matériaux, etc.

 

Bonne continuation !

 

Le 29/09/2018 à 12:35, Patcubitus a dit :

Pour fixer les tourillons sur le cadre, j'ai fait un petit découpage en carton pour mieux visualiser ou les fixer. Mais, cela ne m'aide pas beaucoup !

  IMG_20180929_104230.thumb.jpg.4a83b55d829ff5b9f022d733c8c8e3c3.jpg

Le point sur le dessus est le centre de gravité théorique, puisque je ne connais pas le poids de la cage secondaire (par exemple!)

Je met peut être la charrue avant les bœufs. A savoir, faire tout le reste, et fixer les tourillons en dernier?

 

 

Posté

Merci pour ta réponse qui m'éclaire beaucoup.

Je me suis planté dans le calcul du CG. Il faut que je prenne en compte également la plateforme équatoriale qui sera intégrée au télescope.

 

Patrice

Posté

Pas besoin de prendre en compte la table. Ce qui compte c'est le CG de la partie mobile en altitude (tube+tourillons)

Posté
Il y a 5 heures, jvaillant a dit :

Il faut le centre de gravité soit confondu avec le centre des tourillons : dans ce cas le couple lié au poids du télescope est nul et il reste stable lorsque tu auras pointé une étoile. Bien évidement en fonction de ce que l'on monte comme oculaire, le poids de la cage secondaire varie. Le mieux est donc d'estimer où se trouve le centre de gravité sans oculaire, et avec l'oculaire le plus lourds (ou la tête bino si prévue) puis de placer le centre des tourillons au milieu des 2 cotes.

 

Oui c'est exactement ça et le plus beau c'est que cela se calcul très bien, je ne vais pas écrire tout la démonstration ici, Pierre Strock donne des elements sur sont site mais si tu es intéressé j'ai un écris un document qui reprends tout ça en plus détaillé, donc le déplacement du centre de gravité G suite au chargement de l'oculaire de masse m :

 

gif.latex?%5Cbg_white%20%5CDelta%20G%20%3D%20%5Cfrac%7Bm%7D%7BM+m%7D%20d

 

où d est la distance entre le porte oculaire et le centre de gravité à vide.

où M la masse du tube à vide.

 

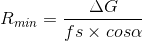
La taille des tourillons est importante aussi car plus ils seront larges plus il seront tolérant aux différence de charge du tube et ça aussi on peut le calculer (théorème de Varignon):

 

gif.latex?%5Cbg_white%20T%20%3D%20%5Cfrac%7B%5CDelta%20G%20%5Ctimes%20P%20%5Ctimes%20sin%20%5Cbeta%7D%7BR%7D

 

où R le rayon des tourillons

où P le poids du tube

où l'angle beta l'inclinaison du tube

où T la somme totale des forces tangentielle s'opposant au mouvement de rotation (loi de Coulomb)

 

On en déduit la dimension minimale des tourillons pour arriver à l'équilibre

 

gif.latex?%5Cbg_white%20R_%7Bmin%7D%20%3D%20%5Cfrac%7B%5CDelta%20G%7D%7Bfs%20%5Ctimes%20cos%20%5Calpha%7D

 

où fs le coefficient de frottement statique, environ 0.06 pour du téflon sur bande de formica.

où alpha l'angle des points de contacts des tourillons sur le rocker

 

On peut aussi jouer sur la force normale s'appliquant sur le rocker pour arriver à l'équilibre (avec la mise en place d'un ressort en tension).

Posté
il y a 11 minutes, jgricourt a dit :

 

gif.latex?%5Cbg_white%20R_%7Bmin%7D%20%3D%20%5Cfrac%7B%5CDelta%20G%7D%7Bfs%20%5Ctimes%20cos%20%5Calpha%7D

 

où fs le coefficient de frottement statique, environ 0.06 pour du téflon sur bande de formica.

où alpha l'angle des points de contacts des tourillons sur le rocker

 

On peut aussi jouer sur la force normale s'appliquant sur le rocker pour arriver à l'équilibre (avec la mise en place d'un ressort en tension).

 

Merci d'avoir pris le temps d'écrire les formules.

 

Pour info, il me semble que dans le bouquin de David Kriege (c'est à lui que l'on doit l'identification du couple teflon/formica, du moins c'est ce qu'il dit), il mentionne le couple nylon/formica comme ayant un coefficient de frottement statique de 0.2 et dynamique de 0.19 (0.06 pour teflon/formica dans les 2 cas). C'est peut-être une solution à coupler avec le ressort quand on a besoin d'augmenter le coefficient de friction.

 

Ce qu'il faut absolument, c'est que le frottement statique = frottement dynamique pour éviter les à coup, et teflon/formica reste la version la plus épouvée.

Posté
Il y a 2 heures, José9 a dit :

Pas besoin de prendre en compte la table. Ce qui compte c'est le CG de la partie mobile en altitude (tube+tourillons)

Ok José, merci pour la précision. Il faut que je refasse tout cela. J'avais rien compris en fait à ce que j'avais lu sur le net :confused: .

 

Merci pour votre développement très poussé JG et JVaillant. Mais la, c'est beaucoup trop pour mon petit cerveau. ;)

Posté

Bonjour tout le monde :be:,

 

suite a vos renseignements éclairés, je viens de refaire les calculs des masses et des longueurs du tube. Et j'obtiens un CG tout a fait sympa ;).

En effet, il se trouve à IMG_20181005_165425.thumb.jpg.7982d1180b9578d9057a57b193d62dbd.jpg103 mm.

 

Maintenant, si tout est bon. Comment définir sur le "cadre/barillet" l'endroit ou fixer les tourillons?

 

Bon cieux

Patrice

 

Posté

Bonjour,

 

Pour le coup, le centre de gravité est un peu bas : l'idéal est d'avoir le CG sur l'axe des tourillons.

Ici le télescope sera "lourd du c*l", il aura donc tendance à pointer vers le zenith. Mais ce n'est pas très grave car :

1- c'est beaucoup plus facile a ratrapper que le cas inverse : un petit poids accroché à la cage secondaire et le tour est joué

2- par expérience, on a souvent tendance a sous-estimé le poids de la partie haute du tube, on a vite envie de rajouter un chercheur non prévue, il faut compter le poids de la jupe, des baffles contre la lumière parasite, il faut aussi compter tout l'accastillage de fixation des tubes, de l'araignée... 

 

Il serait intéressant de savoir où ce trouve le centre de gravité lorsqu'il n'y a pas d'oculaire et lorsque la charge maximale est accrochée genre 1kg voir 1.5kg si on compte un correcteur de coma et un gros caillou, genre Ethos 21 ou Nagler 26 ou 31, ou une bino (600g facilement sans les oculaires)...

 

Posté
Il y a 4 heures, jvaillant a dit :

Il serait intéressant de savoir où ce trouve le centre de gravité lorsqu'il n'y a pas d'oculaire et lorsque la charge maximale est accrochée genre 1kg voir 1.5kg si on compte un correcteur de coma et un gros caillou, genre Ethos 21 ou Nagler 26 ou 31, ou une bino (600g facilement sans les oculaires)...

 

Il ne reste plus qu'a appliquer la formule du déplacement du centre de gravité que j'ai donné plus haut :) 

Posté

Bonsoir,

 

merci pour vos réponses JGricourt et JVaillant. Je me suis donc lancé , et cela donne ça esthétiquement parlant.

 

IMG_20181008_220349.thumb.jpg.6917c3b652e9b9ab6f7db8534cae17fa.jpg

 

J'ai calculé le CG "a vide" en fait (et c'est une estimation!). Les oculaires que j'ai, sont à des poids raisonnables. Et les Pentax WX que je vise pour plus tard, le sont aussi. Une bino ou un Ethos ne sont malheureusement pas prévu par la suite.

 

Comme vous pouvez le voir sur la photo, j'ai encore beaucoup de boulot sur cette partie. Mais je suis très content, ça avance "tranquillement" B)

 

Bon cieux

Patrice

  • Merci / Quelle qualité! 2
Posté

La théorie c'est bien mais parfois on a quelques différences en injectant les masses dans la formule..., l’idéal étant de poser le tube sur un tuyau pour en chercher l'équilibre parfait et on a le CG du tube complet au mm près avec l'oculaire que l'on compte utiliser le plus souvent (cela suppose que l'on tienne compte aussi de ses habitudes d'observation) . et de rechercher ensuite de CG du tourillon seul éventuellement pour affiner avec l'ensemble

Posté

Salut,

 

c'est une découpe de tourillons originale !

En-dehors du débat sur le CG, je vois que tes appuis latéraux sont montés sur des promontoires qui partent de tes équerres de contreventement.

Ca me semble frêle. Alors c'est vrai, il y a les roulements pour éviter les contraintes sur le miroir dues à un battement de ces promontoires, mais intuitivement j'essaierais de renforcer par le dessous, avec du profilé en T par exemple, en fonction de la place qu'il y a dessous.

 

Fred.

 

Posté

Bonjour,

 

Merci Thierry pour tes commentaires sympas et tes encouragements :be:.

 

Pour l'équilibre du tube, les dés sont jetés :be:, et sur mon 318mm , j'ai rajouté un frein qui est très pratique. J'espère juste que je n'aurai pas à le faire sur celui ci !  !

 

Merci pour l'idée des équerres en dessous, Fred. Même si j'ai une plaque de 3mm collée à l'époxy et rivetée,on ne sait jamais !

 

Bonne journée et bon cieux

Patrice

Posté

Ton travail est très soigné et ça se voit que tu maîtrises la réalisation et c'est plutôt rare dans les productions amateurs. Les haches me semblent bien larges comme il faut (plus elle sont grande mieux ce sera pour l'équilibre), en revanche je rajouterai une barre cylindrique pour relier les 2 haches en haut car cela rendra le tout plus rigide, je l'ai déjà vu faire sur des dobs d'artisan. Je reviens sur le CG, c'est vrai qu'il peut y avoir une petite différence avec le calcul mais cela permet d'aller dans la bonne direction et se rassurer qu'on est pas à côté de plaque. Tu peux aussi réajuster ton calcul en avançant car on ne peut pas toujours savoir à l'avance le poids exact du barillet avant que celui-ci ne soit complètement terminé. Bien voir aussi où positionner les points de contacts sur rocker lorsque celui ci sera bien avancé.

Posté

Merci JG,

 

J'ai prévu à l'avant des haches, un truc qui devrait être esthétique (j'y tiens beaucoup pour ce Dob) , que je n'ai pas encore réalisé.

 

Me voilà rassuré également, comme tu le dis pour le CG. 

 

Pour le rocker, j'y réfléchis également.

 

Patrice

Posté

Bonjour,

 

La construction est jolie...

 

Mais, ce qui me dérange le plus c'est que l'axe optique du miroir ne semble pas intersecter (c'est un verbe ca?) l'axe des tourillons... J'ai peut être tord et c'est peut etre un effet de perspective sur la photo...

 

Mais si j'ai raison, cela semble bizare... Je ne sais pas quel impact cela aura sur l'équilibre, il faut que j'y reflechisse!

 

Cyrille

 

 

Posté
Il y a 1 heure, HPMâd a dit :

Bonjour,

 

La construction est jolie...

 

Mais, ce qui me dérange le plus c'est que l'axe optique du miroir ne semble pas intersecter (c'est un verbe ca?) l'axe des tourillons... J'ai peut être tord

 

 

Tu as probablement tort -- les deux barres du barillet ne sont jamais vraiment centrées:

post-55471-14073911972252.jpg

Mais en plus, le centre de gravité du barillet plus miroir plus les tourillons n'est pas selon l'axe optique, en grande partie à cause des tourillons eux-mêmes, qui ont plus de masse d'un côté du miroir.

Posté

Merci JM :),

 

Les tubes à l'avant vont être fixés dans le cadre également. Et ceux des côtés avant sur le cadre ou dans les tourillons au niveau du cadre aussi.

 

Merci Sixela, ça me rassure.

 

Bon cieux

Patrice

Rejoignez la conversation !

Vous pouvez répondre maintenant et vous inscrire plus tard. Si vous avez un compte, connectez-vous pour poster avec votre compte.

Invité
Répondre à ce sujet…

×   Collé en tant que texte enrichi.   Coller en tant que texte brut à la place

  Seulement 75 émoticônes maximum sont autorisées.

×   Votre lien a été automatiquement intégré.   Afficher plutôt comme un lien

×   Votre contenu précédent a été rétabli.   Vider l’éditeur

×   Vous ne pouvez pas directement coller des images. Envoyez-les depuis votre ordinateur ou insérez-les depuis une URL.

  • En ligne récemment   0 membre est en ligne

    • Aucun utilisateur enregistré regarde cette page.
×
×
  • Créer...

Information importante

Nous avons placé des cookies sur votre appareil pour aider à améliorer ce site. Vous pouvez choisir d’ajuster vos paramètres de cookie, sinon nous supposerons que vous êtes d’accord pour continuer.