Aller au contenu

Le cercle et pi ?


iksarfighter

Messages recommandés

Posté
non non, on ne parle pas de virgule flottante mais bien de représentation. La même qui dit que 1=0.9999999 (à l'infini), cf la démonstration du message 63

A partir du moment ou le nombre de décimales (n) est fixe (et donc pas infini), l'égalité n'est plus valable.

 

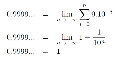
Newton j'entends bien c'était juste pour faire un parallèle mais bien sûr les processeurs ne savent utiliser et représenter que des rationnels (et encore une certaine plage) mais en aucun cas les irrationnels. Je rajoute une autre démonstration que je viens de trouver en griffonnant un bout de papier à l'instant (j'ai mis plus de temps à la mettre en forme par contre !). L'idée et de considérer que le nombre 0.9999 ... est une somme de nombres finis: 0.9 + 0.09 + 0.009 etc ... Donc nous avons là, la somme d'une belle suite géométrique. Je vous donne que la fin pour pas encombrer le file.

 

Pour les matheux voir la démonstration complète ici.

 

demonstration_0.999_1.jpg

  • Réponses 111
  • Créé
  • Dernière réponse
Posté
À ma connaissance, il n'est pas certain que pi soit univers. Quand à "une infinité de fois", cela impliquerait que pi soit un nombre normal, ce qui n'est pas démontré non plus.

Ah pardon, je pensais avoir lu qu'il en était.

 

D'ailleurs il faudrait faire très attention si on se lance dans des calculs de PI, on risque des poursuites graves :D : http://omnilogie.fr/O/Ne_calculez_pas_pi_en_binaire_!

 

Ah tiens ça c'est rigolo aussi : http://drgoulu.com/2008/01/17/pi-search/

Posté
Une base (numérique) doit être un nombre entier' date=' non ? Or Pi ne l'est pas.

[/quote']

 

Non, pas nécessairement. On utilise par exemple la base phinaire, construite à partir du nombre d'or.

http://fr.wikipedia.org/wiki/Base_d'or

Il y aussi la base d'Euler à pas variable, dans laquelle PI s'écrit 2.22222...

 

Le fait qu'il n'y ait pas de régularité dans le développement décimal de PI, ou que ce développement s'écrive avec un nombre infini de symboles ne sont pas des caractéristiques intrinsèques de ce nombre, seulement des propriétés d'une représentation particulière.

 

gjricourt: il n'y a pas tant de problème pour représenter des irrationnels de façon exacte dans la mémoire d'un ordinateur. Il faut simplement abandonner les représentations habituelles en numération de position (décimal, binaire, etc.).

Posté

500 000 chiffres complement aléatoires

 

avec 4 chiffres 1 chances sur 10 000 de trouver ton code

 

donc on pourrait meme le trouver en moyenne 50 fois en cherchant bien , donc normal de l'y voir au moins une fois

Posté

Allez, je me lance: 8732 est le code de la carte d'un membre du forum. Que celui qui flippe en disant ça, se rassure, je ne sais pas qui :be:

Posté
J'ai simplement dit que pour moi un divisé par quatre ça donne 0,25. Est-ce inexact de déclarer cela ?

Non, tu as dit plus que ça, tu as dit, je cite : « un divisé par quatre cela donne bien 0,25 et rien d'autre ! » (j'ai mis la fin en italique). C'est à cause du « et rien d'autre » que je suis intervenu. En effet, Lolo a annoncé que c'était faux pour tout nombre admettant une écriture décimale finie (comme 0,25) et a donné un exemple simple pour illustrer (0,24999...), on ne peut donc pas l'accuser d'être obscur.

Posté

Il est temps que vous retourniez à l'oculaire, les gars...ça peut difficilement devenir PI...:be:

Posté

Les surface des cercles, c'est des histoires à avoir des pierres carrées...

Désolé...

Posté

Tiens, ça me rappelle une formule laissée par un instit de CM2:

 

3 AB OQP HIé

_____________ =3 Q BC

3 PI R2

 

Vous avez deux heures !

 

Un indice:

 

MANQUE(PQ)

Posté

Oui, mais là il va falloir parler des différentes déterminations du logarithme complexe et c'est plutôt, heu... complexe.

Posté
500 000 chiffres complement aléatoires

 

avec 4 chiffres 1 chances sur 10 000 de trouver ton code

 

donc on pourrait meme le trouver en moyenne 50 fois en cherchant bien , donc normal de l'y voir au moins une fois

 

Ouf !!!!

 

Mon N° de sécu ne se trouve pas dans Pi...tout du moins pas dans les 200 000 000 premières décimales :D

Posté

Bonsoir à tous

 

Je vous laisse avec vos jeux pour l'école primaire, et je vais jouer à l'Eur:censuré:ions : je viens de trouver les numéros du prochain tirage :p

 

:jesors:

Posté

Iksarfighter : en fait je crois que tu l'as obtenu à partir de exp(2ipi)=1. En passant au logarithme, on en déduit effectivement 2ipi = log(1) donc pi = log(1)/2i. Le logarithme complexe n'est pas parfaitement déterminé, il faut choisir une détermination, et là tu n'as pas choisi le détermination principale, celle pour qui log(1) = 0, mais une des infinies déterminations possibles (définies à 2pi près), celle pour qui log(1) = 2ipi (ce qui est autorisé puisque exp(2ipi) = 1). Bien entendu la formule pi = log(1)/2i n'a aucun intérêt puisqu'elle provient directement du choix de la détermination de log(1).

Posté

Toute cette discussion fait référence à une manière particulière par laquelle les mathématiques se sont développées à travers l'histoire.

Vous savez tous que les mathématiques manipulent des objects abstraits qui doivent être parfaitement définis et sur lesquels on applique des théorèmes sûrs en suivant des règle logiques. Or, les imperfections de la notation mathématiques et du langage conduisent à manipuler des signes (figures de géométries, signes de l'algèbres, etc) dont les significations dépassent parfois le cadre strictement mathématique conduisant ainsi à des contradiction insolubles.

Les exemples cités plus haut sont de ce type et ont tous conduit à des ruptures dans le développement des mathématiques, mais ont exercés aussi une fascination sur les esprits instruits de ces époques et ont contribué à accélérer le développement des dites mathématiques.

Il faut remarquer que la fascination pour ces phénomènes n'est toujours pas éteintes aujourd'hui car ils frappent encore les esprits au point que des débats identiques et aussi animés apparaissent régulièrement dans les forums, même les moins scientifiques.

 

A) A l'époque de Pythagore les grecs ne connaissent que les nombres entiers et fractionnaires qui leur servent à exprimer sans difficulté les rapports de longueurs apparaissant en géométrie. Or, le carré recèle une difficulté : le rapport de la diagonale au côté ne peut être exprimé par une fraction entière (il semble que ce soit les pythagoricient qui aient démontré ceci). La chose est incompréhensible pour les grecs habitués à ne voir en géométrie que des rapports exprimables par des fractions entières et est d'autant plus énervante que le carré est une figure on ne peut plus simple. Il faudra attendre quelques années pour que les grecs admettent comme nouvelle familles de nombres les nombres irrationnels.

 

B) Au 12e siècle apparait en Europe, via les arabes, la numération décimale. C'est une notation extraordinairement pratique qui permet facilement de faire des opérations entre nombres entiers (multiplication et division en particulier).

Jusque là pas de problème, mais au 16e siècle apparaissent les nombres à virgules ou décimaux (Simon Stevin) qui permettent de représenter facilement des nombres non entiers selon un développement fini :

2,5783 = 2+ 5/10+7/10^2+8/10^3+3/10^4

= 5 dixiéme + 7 centième + 8 milièmes + 3 dixmillièmes,

ces quantités en -ième étant de plus en plus petites.

 

Mais la notation de ces nombres recèle des difficultés que l'usage commun de ces nombres ne tardent pas à faire sortir.

Que dire de 0,33333... à l'infini ? Trois attitude apparaissent alors :

0,33333.... représente 1/3 vu que les "3" qui apparaissent à "l'infini" n'ont plus aucune signification, ce sont des "infini-iémes"

0,33333... n'a pas de sens vu que l'infini mathématique n'est pas défini à l'époque.

0,33333... chaque 3 de la suite représente une quantité aussi petite soit-elle, donc quelque soit le nombre décimal (avec un nombre fini de décimales) que vous écrirez, vous n’arriverez jamais à l'égalité

stricte et exacte (comme le requiert les mathématiques) :

1/3=0,33333.

Donc il y a une erreur quelque part.

En fait, ces trois attitudes sont naturelles à l'époque puisque les mathématiques d'alors sont incapables de résoudre la difficulté.

Le fait que 2,5 puisse être représenté par 2,49999... procède de la même difficulté.

 

Il faudra attendre le 19e siècle pour que les mathématiciens donnent un sens précis à l'écriture 0,33333... avec la notion de limite (voir discussions plus haut) et justifient convenablement les deux écritures : 2,5= 2,49999...

 

C) Au 15 ème siècle on sait que tout nombre carré est positif, donc le signe Racine(-1) n'a pas de sens !

Or, un médecin italien, Jérôme Cardan, va troubler les esprits en utilisant ces symboles sans signification apparente pour faire des calculs pourtant cohérent.

 

(1+Racine(-3))^3=-8

 

la parenthèse n'a pas de signification mais le calcul donne un résultat réel à droite.

Les mathématiciens d'alors conquis par cette Racine(-1) qui n'existe pas mais qui permet d'obtenir des résultats cohérents et intéressants se lancent dans des calculs assez débridés. Ainsi

on voit apparaître des égalité farfelus du genre de celle qui sont données plus haut (GC Fagnano, J Bernoulli):

 

log(1)/(2Racine(-1))=Pi

 

La situation devient vite insoluble, au point que deux grands mathématiciens (Euler et d'Alembert) eurent une controverse importante sur le logarithme dit imaginaire qui ne débouchera d'abord sur rien. Ce n'est que plusieurs année après qu'Euler résoudra le problème en montrant que la fonction logarithme, définie parfaitement sur les réels positifs, ne l'est plus dans l'ensemble des nombres complexes et devient multiforme, dernière difficulté qui sera résolu par le mathématicien allemand Bernhard Riemann à la fin du 19e siècle en introduisant les surfaces de... Riemann

mimetex.cgi?\hookleftarrow

Posté

Merci pour ce topo intéressant et très bien rédigé ;)

 

Effectivement, modéliser le monde ou la capacité d'abstraction du cerveau humain par les mathématiques semble être une quête sans fin.

 

La simple diagonale du carré, ou la maîtrise des nombres premiers nous plongent déjà dans des abîmes de réflexion !

Archivé

Ce sujet est désormais archivé et ne peut plus recevoir de nouvelles réponses.

  • En ligne récemment   0 membre est en ligne

    • Aucun utilisateur enregistré regarde cette page.
×
×
  • Créer...

Information importante

Nous avons placé des cookies sur votre appareil pour aider à améliorer ce site. Vous pouvez choisir d’ajuster vos paramètres de cookie, sinon nous supposerons que vous êtes d’accord pour continuer.