Aller au contenu

L'espace à 4 dimensions et la vitesse de déplacement spatio-temporelle.


Messages recommandés

Posté
il y a 27 minutes, externo a dit :

Je ne dis pas que tau = t.

t=t et tau= tau, les variables restent les mêmes.

Justement c'est là qu'est la confusion ! 

 

Tu dis

Il y a 1 heure, externo a dit :

Minkowski, c'est (ctau)² = (ct)² - x² -y²-z², mon espace-temps c'est (ct)² = (ctau)² + x² +y² +z²

Or Minkowski c'est pas çà ! c'est s² =  (ct)² - x² -y²-z² avec s² une "pseudo-distance" (car peut être positive, nul ou négative) ! et s est DIFFERENT de ctau !!!

En prenant la vrai définition de Minkowski ton espace n'a aucun sens car tu ne fait pas apparaitre de pseudo-distance.

Du coup pour "remplacer t par tau" et donc passer dans le référentiel propre il faut faire une transformation de Lorentz !

Posté
il y a une heure, solfra a dit :

Je vais arrêter de perdre mon temps à te répondre et aller réviser mes cours (j'ai un exam de relativité générale et de mécanique quantique relativiste à la fin du mois qu'il ne faudrait pas louper) 

Bonjour @solfra,

 

Vos efforts avec cet interlocuteur sont méritoires. Bonne initiative que d'arrêter.

Courage et détermination dans vos révisions, le sujet de votre examen à venir est toujours un peu effrayant et c'est normal. Je vous en souhaite en tous les cas une belle réussite, ce qui ne devrait pas manquer à lire vos posts précédents.

 

Belle vie à vous.

 

Ney

 

PS : Le point 3 de la première slide de votre professeur contient une toute petite imprécision : " Toute information ne peut pas voyager plus vite que la lumière". Ceci n'est vrai que dans le vide. Dans un milieu transparent comme l'air ou l'eau, certaines particules légères même moyennement énergétiques (quelques dizaines de Kev pour un électron) peuvent aller plus vite que la lumière (200 000 km/s dans l'eau) émettant alors pour un coût énergétique faible (2,5 eV pour un positron) une radiation. C'est l'effet Cherenkov, physiscien russe du XXième siècle, qui obtint pour cette découverte le Nobel 1958. Aujourd'hui en astrophysique, ce phénomène est employé pour caractériser les gerbes cosmiques par exemple et il explique aussi la nature bleutée des piscines dans les réacteurs nucléaires.

Posté

Bonjour externo,

bonjour à tous,

 

Désolé externo, mais je n'ai pas compris ce que tu veux démontrer dans ton post.

Peux-tu l'expliquer en des termes d'approche plus facile ?

Parce que si c'est la contraction des longueurs que tu veux évoquer, elle est parfaitement expliquée par la Relativité Restreinte.

 

 

Le 08/04/2021 à 00:43, externo a dit :

La relation entre les deux est que V²+T² =C², la vitesse totale reste inchangée et égale à c.

Que représente cette équation ? Je ne la comprends pas...

Si V comme C sont probablement des vitesses, qu'est-ce que T ?

Parce que si T est un temps, cette équation ne veut absolument rien dire, elle est fausse dès sa dimension.

Une vitesse ne s'additionne pas à un temps pour donner une vitesse, même au carré.

Et à partir d'une équation fausse, on peut démontrer absolument tout ce que l'on veut.

 

Le 08/04/2021 à 00:43, externo a dit :

SI je dis des bêtises pas de problème qu'on me le dise mais avec des arguments.

Je ne suis donc pas loin de t'en avoir déjà donné 1.

 

Éric

 

 

Posté (modifié)
Citation

Parce que si T est un temps, cette équation ne veut absolument rien dire

Pour mon explication de ce qu'est une vitesse voir mon fil de futura :

https://forums.futura-sciences.com/physique/904093-eclaircissements-quadrivitesse-notion-de-vitesse-temps.html

 

Mais tu trouveras la même explication (plus brièvement) dans cette vidéo. Lis d'ailleurs le post épinglé sous la vidéo.

 

Citation

Que représente cette équation ? Je ne la comprends pas...

T= vitesse dans le temps et V = vitesse dans l'espace. Avec la vidéo ci-dessus tu la comprendras.

Mais tu peux la retrouver à partir de la transformé de Lorentz. Tu isoles c² d'un côté et tu mets le reste de l'autre. A partir de gamma = ...  tu cherches c²= .....

Modifié par Invité
Posté (modifié)
il y a 52 minutes, externo a dit :

Mais s² = (ctau)² je t'assure.

Oui effectivement je me suis un peut emballer par ce qu'il est rare de voir cette écriture.

 

La seul relation qui relie t à tau est dtau=gamma dt. 

 

Tu ne peux pas passer les x,y,z de l'autre coté de l'équation pour avoir ct en fonction de tau ! Ceci est du au fait de ds² = -cdt²+dx²+dy²+dz² = cdt²-dx²-dy²-dz². C'est les deux convention de notation qu'y existe. C'est pour sa qu'il existe les coordonnées covariantes et contravariances ! En gros, pour "résumé" tu te place en coordonnée covariante et moi en contravariance. Mais cela ne change pas la métrique ! on passe justement entre ces deux "types" de  coordonnées par le tenseur métrique !

Pour passer d'un référentiel à l'autre il faut utiliser la transformé de Lorentz

 

https://dournac.org/sciences/general_relativity/node6.html

https://books.google.fr/books?id=qeA3DAAAQBAJ&printsec=frontcover&hl=fr#v=onepage&q&f=false

https://fr.wikipedia.org/wiki/Tenseur_métrique

https://www.ipht.fr/Docspht//articles/t05/171/public/publi.pdf

https://www.futura-sciences.com/sciences/dossiers/physique-relativite-restreinte-naissance-espace-temps-509/page/7/

https://fr.wikipedia.org/wiki/Covariant_et_contravariant_(algèbre_linéaire)

 

Pourquoi vouloir changer la métrique de Minkowski alors qu'elle marche très bien ? Apprend déjà à l'utiliser et après tu pourra jouer avec !

 

 

Merci à tous pour vos encouragement !

 

il y a 46 minutes, 22Ney44 a dit :

Le point 3 de la première slide de votre professeur contient une toute petite imprécision : " Toute information ne peut pas voyager plus vite que la lumière". Ceci n'est vrai que dans le vide

Oui merci pour cette remarque, c'est un point qu'on omet souvent lorsqu'on vulgarise le sujet

Modifié par solfra
Posté
Il y a 2 heures, solfra a dit :

comme on a pas accès à latex


Oui, c’est vraiment dommage. @Créateur de bugs, c’est pour quand ? J’avais déjà donné le lien vers le plugin à installer...

 

Alors Pour ou Contre le LaTeX sur Webastro 😉

 

Le LaTeX (prononcer Latek) c’est ça :
https://fr.m.wikibooks.org/wiki/LaTeX/Écrire_des_mathématiques

 

Là c’est juste du latex :

image.jpeg.71b6de744b70f22aede22e7ca9d319e1.jpeg

  • J'aime 1
Posté
Citation

ds² = -cdt²+dx²+dy²+dz² = cdt²-dx²-dy²-dz²

Non ça c'est faux.

Citation

Pourquoi vouloir changer la métrique de Minkowski alors qu'elle marche très bien ? 

Parce que je considère qu'elle ne représente pas le réel. Après oui c'est vrai elle marche les calculs sont justes.

Dans ma représentation le temps est une composante qui a la même unité que l'espace, c'est à dire qu'on peut le mesure en mètre. Et on peut mesurer l'espace en secondes. Par contre vu que c'est le temps et non l'espace on ne peut pas le représenter de la même manière.  Dire que deux points se rencontrent en x,y,z,t n'est pas vrai, c'est une conception spatiale du temps. Lorsqu'ils se rencontrent, ils ont le même x,y,z mais leur t est différent. Mais ne perd pas ton temps (le vrai) la dessus si tu dois étudier.

Posté (modifié)
il y a 29 minutes, externo a dit :

Non ça c'est faux.

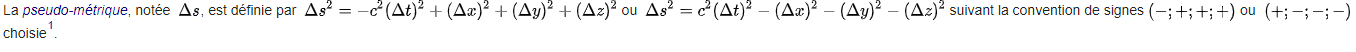
Pourquoi ??? Je sais quand même ce que j'écrit. Dans mon cours de relativité on utilise (-+++) et dans mon cours de mécanique quantique relativiste on utilise (+---) ! C'est pareil, juste une définition !

 

image.png.1d673af473e0b0aa353b6960acd79c1f.png

Par Wikipédia https://fr.wikipedia.org/wiki/Intervalle_d'espace-temps

 

il y a 29 minutes, externo a dit :

temps est une composante qui a la même unité que l'espace

C'est le cas aussi dans Minkowski ! la dimension de ct est m/s*s=m ! La composante ct a donc bien la dimension d'une distance ! De plus gamma est sans dimension. Comme t et tau sont relié par gamma ils ont donc les mêmes dimension !

Modifié par solfra
Posté
il y a 20 minutes, externo a dit :

Parce que je considère qu'elle ne représente pas le réel.

Mais, rien ne représente le réel. Les mathématiques, la géométrie ne sont qu'une tentative de modélisation du réel.  La seule question c'est est-ce que les modélisations mathématiques, géométriques, physiques expliquent les observations.

Si les modèles étaient mauvais cela fera longtemps qu'ils auraient été abandonné.

Un nv modèle doit englober et compléter les modèles existants.

 

Déjà, il faudrait que tu définisses toute la géométrie et l'algèbre de ton espace, et ensuite que toutes les équations de la physique classique, de la physique relativiste, de l'électromagnétisme, etc..  puisse s'exprimer dans ton espace.

Un espace sans géométrie et sans algèbre, n'est pas un espace.

Posté (modifié)

 

Citation

Pourquoi ??? Je sais quand même ce que j'écrit. Dans mon cours de relativité on utilise (-+++) et dans mon cours de mécanique quantique relativiste on utilise (+---) ! C'est pareil, juste une définition !

On peut utiliser l'un ou l'autre mais je ne pense pas que l'on puisse mettre un signe d'égalité entre les deux.

 

Citation

C'est le cas aussi dans Minkowski ! la dimension de ct est m/s*s=m ! La composante ct a donc bien la dimension d'une distance ! De plus gamma est sans dimension. Comme t et tau sont relié par gamma ils ont donc les mêmes dimension !

Oui, tu as raison.

 

-----------------------------------------------------------------------

J'ai l'intention de ne pas aller plus loin dans les réflexions et répondre simplement aux questions.

Néanmoins je rajoute une réflexion :

j'ai l'impression que mon système permet de conceptualiser le lien de causalité entre les particules. Lorsqu'une particule et son antiparticule sont créées il y a une histoire comme quoi elles sont liées causalement jusqu'à ce qu'on les mesure. En fait avec mon système on peut modéliser que le lien de causalité est conservé tant que les temps des particules sont identiques et que leur chemin dans l'espace temps est de même longueur. Lorsqu'on mesure une des deux particules, l’action de la mesure l’influence et elle cesse d'avoir parcouru la même distance que l'autre dans l'espace temps.

 

Quand les particules se rencontrent dans l'espace (tout court) ce sont les coordonnées x,y et z qui doivent coïncider et le chemin dans l'espace-temps doit être de même longueur. (comme déjà dit plus haut)

Quand elles se rencontrent dans le même "temps" et donc qu'elles sont liées causalement c'est la coordonnée de temps qui doit coïncider et également le chemin dans l'espace-temps doit être de même longueur.

 

Le chemin dans l’espace temps peut être représenté en mètre ou en secondes, auquel cas on peut très bien parler d’âge spatiotemporel.

Modifié par Invité
Posté
il y a une heure, externo a dit :

T= vitesse dans le temps

???

 

il y a 34 minutes, externo a dit :

Parce que je considère qu'elle ne représente pas le réel. Après oui c'est vrai elle marche les calculs sont justes.

Ta métrique donne-t-elle aussi des calculs qui sont justes ?

 

Éric

 

Posté

---------------------------------------------

Citation

Mais, rien ne représente le réel. Les mathématiques, la géométrie ne sont qu'une tentative de modélisation du réel.  La seule question c'est est-ce que les modélisations mathématiques, géométriques, physiques expliquent les observations.

La géométrie d'euclide représente la géométrie du monde réel, et moi ce que je suppose c'est que l'espace-temps tel que je le défini représente la géométrie de l'espace-temps du monde réel. Ses résultats sont les mêmes que celui de l'espace de Minkowski mais sa géométrie diffère.

Citation

Ta métrique donne-t-elle aussi des calculs qui sont justes ?

Oui c'est les mêmes calculs que pour l'espace de Minkowski. Il faut bien tout relire les messages.

Posté

 

Le 08/04/2021 à 13:06, externo a dit :

Mais pour le moment je ne suis tombé que sur une opposition de convention par des scientifiques qui ne veulent pas remettre en cause leurs propres modèles et me claquent la porte au nez

 

Il y a 23 heures, externo a dit :

Tu ne cherches pas à comprendre, c'est toi qui ne répond pas au fil et non le contraire. Donc si tu ne veux pas comprendre laisse tomber et laisse d'autres personnes se manifester ou simplement consulter ce fil. Ce sera un fil utile.

 

Il y a 20 heures, externo a dit :

c'est juste de la géométrie élémentaire. Ca se comprend tout seul.

 

Il y a 4 heures, externo a dit :

En fait j'ai compris quelque chose, et c'est justement ce que les modérateurs de futura auraient dû m'expliquer mais qu'ils n'ont pas été fichus de faire.

 

Il y a 3 heures, externo a dit :

Oui laisse tomber tout cela et va étudier. Garde le pour tes moments de loisir si tu veux, mais ne perds pas ton temps avec si tu as des examens.

 

Il y a 14 heures, externo a dit :

Dans mon espace tous les objets se déplacent à la vitesse c. C'est même pas une vitesse limite c'est la seule vitesse possible.

 

Il y a 4 heures, externo a dit :

L'espace de Minkoswki n'est pas un espace-temps

 

Ce qui est étonnant dans ce fil, c'est qu'on continue quand même à te répondre...

 

:dehors:

  • Merci / Quelle qualité! 1
  • Comme je me gausse! 1
Invité AstroRudi
Posté

En 1980, quand je faisais (une partie = une année) de mes études de droit à Aix en Provence, nous avions aussi des cours à la fac d'économie. Il nous fallait marcher au moins 10 minutes à pied et le plan de temps était tel que c'était impossible d'être à temps. Un jour quand nous arrivions dans la salle avec 10 minutes de retard, le professeur disait haut et fort: "Ah, le petits cons arrivent" (texto). ... C'était totalement inadmissible pour l'étranger que j'étais !

 

J'ai l'impression que rien n'a changé depuis 1980. La vraie question est de savoir si internationalement, les scientifiques français (ou ceux qui postent sur les forums) sont à la hauteur de leur remarques inadmissibles sur ce forum.  Je ne me réfère pas à la discussion quant au fond, mais uniquement aux "coups de griffe" (et le terme est encore gentil) qui ne sont pas compatibles avec l'étique d'un scientifique.  relisez le thread sous cet angle, s'il vous plaît !

Posté
Il y a 2 heures, externo a dit :

Dire que deux points se rencontrent en x,y,z,t n'est pas vrai, c'est une conception spatiale du temps. Lorsqu'ils se rencontrent, ils ont le même x,y,z mais leur t est différent.

Je ne comprends pas.

Si je donne rdv à quelqu’un en un lieu (x,y,z) et à un instant (t), je ne peux le rencontrer que s'il est au même lieu (x,y,z) que moi, et au même instant (t) que moi. S'il vient au même (x,y,z) que moi mais 10 min après par exemple, (t'=t+10), il est fort probable que je sois déjà parti ; et il n'y aura donc pas de rencontre. Et s'il m'attend au même (t) que moi mais en un autre lieu (x',y',z') que le mien, la rencontre ne pourra pas avoir lieu non plus.

 

Comment peut-il y avoir rencontre dans ton modèle si les 4 coordonnées spatio-temporelles ne sont pas les mêmes ?

Posté
il y a 27 minutes, AstroRudi a dit :

La vraie question est de savoir si internationalement, les scientifiques français (ou ceux qui postent sur les forums) sont à la hauteur de leur remarques inadmissibles sur ce forum.  Je ne me réfère pas à la discussion quant au fond, mais uniquement aux "coups de griffe" (et le terme est encore gentil) qui ne sont pas compatibles avec l'étique d'un scientifique.  relisez le thread sous cet angle, s'il vous plaît !

Je ne vois pas tellement les choses ainsi. Imagine comme tu as l'air d'être un crac en économie, qu'un quidam arrive et te dit (je sais pas qui est un des plus grands économistes... je suppose que ça dépend de ta fibre politique, Keynes ? Smith ? Marx ? Piketty ? Friedman ? bon bref tu m'auras compris) qu'il a compris je sais pas quoi, le courant monétariste ou ce que tu voudras, mais au bout de deux lignes de discussions, tu te rends compte qu'il ne connait rien de rien mais vraiment rien, ça veut dire que si tu as des cours de sciences économiques et sociales en 3ème, même ces bases ne sont pas acquises.

 

Donc tu lui expliques calmement qu'en fait il y a des petites notions qu'il faudrait revoir, et que c'est pas encore tout à fait ça. Et lui il revient en disant "de toute façon ce que j'ai fait c'est bon, c'est incontestable". Alors qu'il est venu en disant qu'il voulait discuter et si c'était argumenté il écouterait. Tu as vu une seule fois où il répond sur les remarques de fond ? A un moment je comprends que les gens perdent patience...

Posté
Citation

les scientifiques français (ou ceux qui postent sur les forums) sont à la hauteur de leur remarques inadmissibles sur ce forum.  

Lisez mon fil de discussion sur futura et vous verrez comment s'est comportée la modération envers moi alors que je n'ai jamais eu une parole de travers contre elle.

Posté
Il y a 1 heure, externo a dit :

---------------------------------------------

La géométrie d'euclide représente la géométrie du monde réel

Est-ce que tu as une preuve de ce que tu avances ?

Il y a 1 heure, externo a dit :

et moi ce que je suppose c'est que l'espace-temps tel que je le défini représente la géométrie de l'espace-temps du monde réel.

Quand on fait des sciences, à un moment on avance des preuves. Si tu supposes que ton espace-temps représente le monde réel, alors il faut que tu le prouves, soit par des observations que tu aurais faites, soit par une hypothèse mais que tu poses vraiment (en langage physique et courant à quoi ça correspond ???) et ensuite tu le traduis en langage mathématique. C'est un comme ça qu'on a fait pour la mécanique quantique.

Il y a 1 heure, externo a dit :

Ses résultats sont les mêmes que celui de l'espace de Minkowski mais sa géométrie diffère.

Oui c'est les mêmes calculs que pour l'espace de Minkowski. Il faut bien tout relire les messages.

Alors dans ce cas prouve, tu reprends un exemple, par exemple la contraction des longueurs et tu fais le calcul selon la méthode que tout le monde connait depuis 115 ans et tu le montres avec ta méthode.

Après elle sert à quoi ta méthode si jamais ça marchait ?

Posté (modifié)
Citation

Je ne comprends pas.

Si je donne rdv à quelqu’un en un lieu (x,y,z) et à un instant (t), je ne peux le rencontrer que s'il est au même lieu (x,y,z) que moi, et au même instant (t) que moi. S'il vient au même (x,y,z) que moi mais 10 min après par exemple, (t'=t+10), il est fort probable que je sois déjà parti ; et il n'y aura donc pas de rencontre. Et s'il m'attend au même (t) que moi mais en un autre lieu (x',y',z') que le mien, la rencontre ne pourra pas avoir lieu non plus.

La rencontre a lieu s'ils sont au même point de l'espace (x,y,z) et si depuis le temps 0 ils ont parcouru la même distance dans l'espace temps.

Par exemple, avec les jumeaux de Langevin, on peut supposer qu'au départ de la fusée ils sont au même temps (en réalité il doit y avoir des micro différences entre leurs deux temps), et qu'ils aient tous les deux 30 ans.  Au retour , mettons que l'un ait  40 ans et l'autre 50. Ils auront depuis leur séparation parcouru la même distance dans l'espace temps : 20 ans. Pour le jumeau voyageur cette distance se retrouve par la formule (distance dans l'espace en années)² + (10)² = 20²  Alors on peut aussi tout convertir en mètres. Cela revient au même. 1 seconde = 299792458 mètres.

Modifié par Invité
Posté (modifié)
il y a 30 minutes, bongibong a dit :
Il y a 2 heures, externo a dit :

La géométrie d'euclide représente la géométrie du monde réel

Est-ce que tu as une preuve de ce que tu avances ?

?? Mettons la géométrie tels que nos sens nous la représente.

Citation

Quand on fait des sciences, à un moment on avance des preuves. Si tu supposes que ton espace-temps représente le monde réel, alors il faut que tu le prouves, soit par des observations que tu aurais faites, soit par une hypothèse mais que tu poses vraiment (en langage physique et courant à quoi ça correspond ???) et ensuite tu le traduis en langage mathématique. C'est un comme ça qu'on a fait pour la mécanique quantique.

C'est ce que j'ai essayé de faire avec mes graphiques. Intuitivement la contraction de l'espace est une rotation de l'espace dans la dimension du temps.

 

il y a 30 minutes, bongibong a dit :
Citation

Ses résultats sont les mêmes que celui de l'espace de Minkowski mais sa géométrie diffère.

Oui c'est les mêmes calculs que pour l'espace de Minkowski. Il faut bien tout relire les messages.

Alors dans ce cas prouve, tu reprends un exemple, par exemple la contraction des longueurs et tu fais le calcul selon la méthode que tout le monde connait depuis 115 ans et tu le montres avec ta méthode.

Il suffit de lire les distances sur le graphique avec une règle et c'est bon. Mais je vais faire un exemple s'il le faut. Je voulais le faire sur l'autre forum mais ils ont verrouillé le fil.

 

il y a 30 minutes, bongibong a dit :

Après elle sert à quoi ta méthode si jamais ça marchait ?

A mieux comprendre l'univers avec nos sens. Ca peut avoir aussi des conséquences dans la conception que l'on s'en fait et par exemple lever les paradoxes.

 

Tu m'as fait peur avec ton gros encart, j'ai crus qu'un modo allait encore verrouiller ce fil !

Modifié par Invité
Posté
il y a 4 minutes, externo a dit :

?? Mettons la géométrie tels que nos sens nous la représente.

La terre semble plate localement, nos sens disent que la terre est plate. Donc la terre est plate ?

il y a 4 minutes, externo a dit :

C'est ce que j'ai essayé de faire avec mes graphiques. Intuitivement la contraction de l'espace est une rotation de l'espace dans la dimension du temps.

On peut parler de rotation de l'espace-temps parce qu'il y a un invariant :

image.png.38107a5196fa7a730f8168d7677f5fff.png

 

La norme lorentzienne implique que c'est de la trigonométrie hyperbolique.

 

il y a 4 minutes, externo a dit :

Il suffit de lire les distances sur le graphique avec une règle et c'est bon. Mais je vais faire un exemple s'il le faut. Je voulais le faire sur l'autre forum mais ils ont verrouillé le fil.

Aller je te donne la réponse :

image.png.52117c7841cbd74e83dbc81abf920d72.png

et la contraction des longueurs provient simplement de la relativité de la simultanéité.

  • Merci / Quelle qualité! 1
Posté (modifié)
il y a 37 minutes, externo a dit :

?? Mettons la géométrie tels que nos sens nous la représente.

 

A mieux comprendre l'univers avec nos sens.

C'est une régression de plusieurs siècles dans la connaissance scientifique.

C'est ne pas avec nos sens que nos comprenons l'univers qui nous entoure. Nous le pensons, nous le construisons, nous le modélisons.

Et quand un modèle n'est plus assez représentatif (physique classique) un nouveau modèle viens le remplacer (physique relativiste) qui sera remplacé par un nouveau modèle un jour peut-être.

Newton ne découvre pas la gravitation parce qu'une pomme lui tombe sur la tête.

Modifié par philou31
Posté (modifié)

Voilà les calculs :

 

longueur de la fusée vue depuis la terre = Longueur de la fusée * cos a'

Or l’angle a’ = l’angle a

et cos a’ = vitesse dans le temps / c = (c/gamma)/c = 1/gamma

d’où

longueur de la fusée vue depuis la terre = longueur de la fusée / gamma

 

Graphe4.jpg

Graphe3.jpg

 

 

Citation

La terre semble plate localement, nos sens disent que la terre est plate. Donc la terre est plate ?

Il suffit de s'élever assez haut pour que nos sens ne nous la représentent plus plate.

On est d'accord que nos sens ne nous font pas sentir la relativité non plus à de basses vitesses mais ce sont bien nos sens qui nous la font sentir à de hautes vitesses. Que font les sens ? ils récoltent les données du réel. Mais ils sont grossiers, il faut les aider un peu. C'est ce que j'essaie de faire ici.

Modifié par Invité
Posté (modifié)
il y a une heure, externo a dit :

A mieux comprendre l'univers avec nos sens. Ca peut avoir aussi des conséquences dans la conception que l'on s'en fait et par exemple lever les paradoxes.

Donc c'est avec tes sens que tu comprends l'univers ? Du big bang à la composition des atomes ?

 

Le paradoxe des jumeau n'en est pas un ! Comme souvent un paradoxe apparait quand une question est mal posé. Le paradoxes des jumeau apparait du fait que l'on ne considère pas des référentiel inertiels.

 

 

Regardes toutes les vidéo de David Louapre et relis ses billet de blog (les liens sont dans les description des vidéos) Il explique extrêmement bien ce qu'on essai de te faire comprendre

 

 

 

 

 

@Modérationje pense que l'on peut fermer nous aussi le sujet, notre amis @externon'a pas compris la relativité restreinte et propose une métrique farfelu alors que la métrique de Minkowski fonctionne très bien pour la relativité restreinte. 

 

Modifié par solfra
Posté

Classiquement, si je ne dis pas de betise, (ça fait quelques dizaines d'années que je n'ai pas joué à ça...)  si vraiment tu veux une signature ++++ utilise les coordonnees de Poincaré : ict à la place de ct (i^2=-1)

Du coup transformation de Lorentz = rotation dans l'espace temps

Si on a le quadrivecteur X(tau) alors si on definit la quadri vitesse par U=dX(tau)/dtau  on obtient le carré scalaire de U égal à c^2, donc constant.

Si U est le vecteur tangent à la ligne d espace temps alors oui, tout deplacement se fait à la vitesse c sur sa ligne .

De plus une acceleration A=dU(tau)/dtau est orthogonale à U

Une acceleration est une rotation de la vitesse U.

 

en esperant n'avoir pas dit de co%$#%ries

Posté
Citation

Donc c'est avec tes sens que tu comprends l'univers ? Du big bang à la composition des atomes ?

Oui c'est avec nos sens mais aidés par des instrument mais ça reste nos sens.

 

Citation

Modérationje pense que l'on peut fermer nous aussi le sujet

Maintenant que j'ai à peu près fini, ça me fera des vacances.

Citation

Classiquement, si je ne dis pas de betise, (ça fait quelques dizaines d'années que je n'ai pas joué à ça...)  si vraiment tu veux une signature ++++ utilise les coordonnees de Poincaré : ict à la place de ct (i^2=-1) etc....

Très bien, mais il faut reprendre le fil depuis le début pour en comprendre les finesses.

Posté

Bonjour externo,

bonjour à tous !!

 

Il y a 15 heures, externo a dit :

Très bien, mais il faut reprendre le fil depuis le début pour en comprendre les finesses.

Je n'arrive pas à comprendre les finesses de ce fil.

Déjà, je ne suis pas certain de bien appréhender le but de ta démonstration externo.

Comme je te l'ai déjà demandé plus haut, peux-tu m'expliquer avec des termes faciles le but de ton exposé ?

 

Il y a 17 heures, externo a dit :
Il y a 17 heures, bongibong a dit :

Après elle sert à quoi ta méthode si jamais ça marchait ?

A mieux comprendre l'univers avec nos sens. Ca peut avoir aussi des conséquences dans la conception que l'on s'en fait et par exemple lever les paradoxes.

Peux-tu développer stp externo ? Peux-tu étayer par des exemples dans lesquels ta méthode (pour reprendre le terme de bongibond) aura permis d'apporter une meilleure compréhension de l'Univers ou de lever les paradoxes ?

 

Il y a 20 heures, externo a dit :
Citation

Que représente cette équation ? Je ne la comprends pas...

T= vitesse dans le temps et V = vitesse dans l'espace. Avec la vidéo ci-dessus tu la comprendras.

Mais tu peux la retrouver à partir de la transformé de Lorentz. Tu isoles c² d'un côté et tu mets le reste de l'autre. A partir de gamma = ...  tu cherches c²= .....

Heu non, désolé, ce n'est pas à moi de faire ta démonstration. Merci de la réaliser, de la commenter, et d'expliquer ses apports. De plus, quand je te demande des explications sur des points précis, tu me renvoies vers des vidéo publiées par d'autres. C'est ton avis qui m'intéresse, ton point de vue, avec ta réflexion et tes mots.

 

Il y a 16 heures, externo a dit :

 

Graphe4.jpg

Graphe3.jpg

 

Désolé, je ne comprends pas non plus...

1er graphe :

sur l'axe des abscisses, je suppose que X est une longueur, donc on mesure en mètre (par exemple).

sur l'axe des ordonnées, je suppose que t est un temps, donc on mesure en seconde (par exemple).

Que signifie la phrase "longueur de la fusée dans la dimension du temps" ?

 

2nd graphe :

que représentent les vecteurs que tu dessines ?

 

Merci de bien vouloir m'expliquer.

 

Éric

Invité
Ce sujet ne peut plus recevoir de nouvelles réponses.
  • En ligne récemment   0 membre est en ligne

    • Aucun utilisateur enregistré regarde cette page.
×
×
  • Créer...

Information importante

Nous avons placé des cookies sur votre appareil pour aider à améliorer ce site. Vous pouvez choisir d’ajuster vos paramètres de cookie, sinon nous supposerons que vous êtes d’accord pour continuer.