Aller au contenu

(Topic unique) calculs et généralités autour des CMOS (calcul des 3 sigma, gain à utiliser, analyse d'un capteur...)


Messages recommandés

Posté (modifié)

Bonjour à tous,

 

Je comprends très bien l'objectif de @Colmic : du simple et de l'efficacité pour obtenir des images d'une qualité qui nous contente sans se prendre trop la tête (logistique et cérébrale ;)  ).
Maintenant, en espérant que Colmic ne m'en voudra pas de poster ça ici, j'avais envie pour ceux qui le souhaite d’approfondir ces sujets relatifs au signal et au bruit. J'ai hésité à ouvrir un topic spécifique. Je suis quelque part un peu hors sujet car ce que je vais dire ne s'applique pas qu'aux capteurs CMOS mais en même temps ce topic se veut unique (et ça, c'est cool de centraliser les connaissances et les info pour ceux qui les cherchent!).

 

J'ai envie de partager ça car je sens bien que  lorsqu'on survole ces sujets, on ne comprends pas très bien qu'on se fait. Et certains aiment bien comprendre en rentrant dans la vis de 2. Si vous êtes comme ça et bien je vous invite à continuer à lire! Ça n'enlève rien au fait que les premiers post de Colmic de ce fil sont de qualité, vont à l'essentiel et sont largement suffisants pour s'éclater avec l'astrophoto. Il n'est pas du tout nécessaire de lire ce qui suit.

 

 

La base de la base.


Dans un fichier numérique issu de nos imageurs, on trouve de l'information qui permet de reconstituer des images.

 

On peut séparer cette information en 2 types:

  • L'information désirée
  • L'information indésirée

 

L'information désirée est le signal pur débarrassé de son propre bruit. C'est la grandeur physique qu’on veut compter ou quantifier. Dans notre cas, c'est le nombre moyen et la direction des photons qui heurtent chaque photosite de nos capteurs provenant de la source qu'on a choisie (une nébuleuse, une galaxie, une planète, une étoile, etc...) pendant une certaine durée.

L'information indésirée a pour origine plusieurs phénomènes, sans rentrer dans le détail et sans être exhaustif:

  1. L'incertitude contenue dans l'information désirée qu'on appelle donc le bruit. Ici le bruit photonique provenant de la source choisie.
  2. Les photons émis par une autre source que celle qu'on a choisi (contenant également du bruit). Exemple: la pollution lumineuse
  3. Les erreurs de comptage liée au matériel de mesure lui-même (le capteur): c'est un signal assortie également d'une incertitude (d'un bruit)

Dans cette information indésirée, on peut séparer:

  • Le signal: c'est ce que l'on peut reproduire à coup sûr lorsqu'on le mesure plusieurs fois. Quand on fait la moyenne du signal sur un très grand nombre de mesure, on trouve toujours le même résultat à chaque fois qu'on en fait l'expérience.
  • Le bruit: c'est un phénomène aléatoire qui ne se prédit pas et ne se reproduit pas. Quand on fait la moyenne du bruit sur une très grand nombre de mesure, il finit par devenir non mesurable.

 

Premier constat. On fait souvent l'amalgame : information désirée = signal et information indésirée = bruit. Et bien, non, malheureusement c'est plus compliqué que ça: dans l'information indésirée, il y a aussi du signal et tout le signal qu'on mesure ne contribue pas à l'information désirée. En revanche, l'information indésirée est un signal et le bruit est nécessairement indésirée.

 

Pour ne garder que l'information désirée, on cherche à se débarrasser de l'information indésirée. Comme cette information indésirée n'est pas de la même nature (signal ou bruit), on la supprime avec principalement 2 méthodes:

  • Soustraction du signal désiré par les signaux indésirés (le bias, les pixels froid et chauds, etc.) : permet de supprimer les signaux indésirés
  • Moyenne des bruits: permet d'annuler le bruit

Sachant que :
•    la moyenne d'un signal donne le même signal
•    la soustraction (comme l'addition) d'un bruit par un autre bruit donne un bruit plus grand que l'un ou l'autre de ces bruits

 

Il est à noter qu'on ne réussie jamais à se débarrasser complètement de l’information indésirée.

 


Modélisation du signal et du bruit enregistré dans un fichier numérique par un imageur

 

Notation:

  1. Le temps d’exposition est égal à t
  2. Le bruit de lecture ne dépend pas du temps d’exposition et n’a pas de relation avec le signal de bias. Si le signal de bias = x alors le bruit de lecture = y
  3. Le signal thermique est considéré proportionnel au temps d’exposition. Signal thermique = b².t
  4. Le signal thermique se comporte comme un signal photonique. Son bruit (le bruit thermique) est donc considéré comme égal à b.racine(t)
  5. La valeur du FDC (fond de ciel) est proportionnel au temps d’exposition. Valeur du FDC = a².t

Le signal du FDC est un signal photonique. On considère donc son bruit étant égal à a.racine(t)

Les paramètres constant x, y et b dépendent de la caméra utilisée et du réglage du gain. Le paramètre constant a dépend de la valeur du FDC.

Le bruit de la somme de plusieurs signaux est égal à la somme quadratique des bruits de chacun de ces signaux.

Le bruit est statistiquement l'écart-type du signal (ou le "sigma").

 

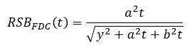
Le rapport signal sur bruit (RSB) du FDC est:

rsbfdc.PNG.bca7d15bef4b53c70719a2ea148996b2.PNG

Vous voyez ce qu'est une image bruitée? Bon bah plus le RSB est faible, plus l'image est bruitée. Le RSB du FDC est une bonne référence car il est à peu près uniforme sur toute l'image et c'est le RSB le plus mauvais de l'image. Le RSB est meilleur là où il y a plus de signal, là où se trouve notre cible. Mais il est très difficile à mesurer car le signal n'est pas le même d'un pixel à l'autre (ne surtout pas utiliser l'écart-type sur une zone hors du FDC, par exemple la statistique sigma dans Siril).

 

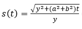
Il existe un indicateur très intéressant et qui est relativement simple à mesurer sur les images:

s.PNG.b2f5694d03fbe39f170b05b28c944411.PNG

Il s'agit du ratio entre le bruit du FDC et du bruit de lecture. Pour les mesurer, voir les premiers post du fil de Colmic. Quand cette indicateur dépasse 3 ("la règle des 3 sigmas"), on peut commencer à faire des approximations intéressantes

 

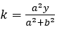
Enfin, un dernier coefficient intéressant:

k.PNG.bf8ccbcdbc3ee50fbb39d4537e213311.PNG

Il caractérise à la fois le capteur et le FDC.

Si s(t) > 3, on peut faire uen première approximation en considérant avec une marge d'erreur acceptable que :

RSBFDC(s(t)) ~ k x s(t)

 

Choix du temps de pose unitaire

Il y a plusieurs aspect à considérer pour choisir son temps de pose unitaire. Je renvoie encore une fois au post de Colmic. Je voulais en approfondir un en particulier: le temps de pose unitaire doit être supérieur au "temps de pose minimum". En fait ce temps de pose minimum ne sert qu'à s'assurer d'une seule chose: que le FDC ne sera pas trop bruitée, pas trop noyé dans le bruit de lecture. Le FDC est le signal le plus faible de l'image et par conséquent le plus bruitée. C'est tellement plus agréable de traiter une image avec un FDC le moins bruitée , le plus lisse possible :). Par contre, ça ne sert qu'à ça! Ça ne garantira pas du tout un beau signal désiré (une belle galaxie, une belle nébuleuse).

 

La démarche à avoir en tête est la suivante: si on vise un certain RSB, il faut choisir un temps de pose total. C'est le temps de pose total qui va déterminer le RSB de l'image empilée, et ce, quelque soit le temps de pose unitaire choisi tant qu'on ne descend pas sous une certaine limite. Mais attention, même si on ne passe pas sous cette limite (qui n'est qu'une tolérance propre à chacun totalement arbitraire, la fameuse "règle des 3 sigmas"), sachez qu’une fois que vous avez choisi le temps de pose total, plus vous diminuerez votre temps de pose unitaire, plus vous diminuerez votre signal désirée sur votre brute unitaire ET sur votre image empilée!

 

Second constat, conséquence du premier: on fait souvent l’amalgame entre RSB et détectivité de la cible. Certes le bruit nuit à la détectivité de la cible mais une fois qu'on a empilé un nombre d'image suffisant, le bruit aura quasiment complètement disparu. Une fois le bruit complétement disparu, si votre temps de pose était trop bas pour faire apparaitre (pour détecter) une partie faible de votre cible, et bien vous ne la verrez jamais que vous ayez respecté ou pas la règle des 3 sigmas...

 

Donc, revenons en à nos moutons, on choisit un temps de pose total qui déterminera le RSB maximal auquel vous pouvez prétendre. Je note ce temps de pose total t1.

Suite de la démarche, on choisit de faire n pose unitaire d'une durée t2. On a donc:

t.PNG.351c46be315cf6ec9ea4b7510d7b7fec.PNG

 

Voici maintenant un graphique qui donne plein d'info en fonction de s(t). Attention, il n'est valable que pour un type de camera et une valeur de FDC donné. Il correspond à un k valant environ 7,69. Ce graphique est valable pour un temps de pose total de 3000s. N'utilisez donc surtout pas les valeurs de ce graphique (sauf si, gros coup de bol, vous avez un k de 7,69 et choisi un temps de pose total de 3000s)! Le but est juste de vous monter comment certains paramètres évoluent selon s(t) et les uns par rapport aux autres. Il y a une valeur particulière de s(t), s(t)=3, "la règle des 3 sigmas". Cette valeur est mise en surbrillance sur le graphique.

 

1875212929_grapheRSB.PNG.8d2174af1614c0b5b751f10df2b6d8c2.PNG

  • RSBFDC(s(t)) = RSB du FDC d'une brute unitaire en fonction de s(t), on s’aperçoit que à partir d'une certaine valeur (aller disons 3 ;) ), RSBFDC(s(t)) devient égal à k x s(t)
  • RSBFDC(t1) = RSB du FDC d'une brute unitaire avec un temps de pose total t1. C'est le RSB max dans notre démarche. Ça correspond aussi au cas où on choisirait de faire qu'une seule pose (n=1 et t1 = t2)
  • RSBFDCemp(t2,n) = RSB du FDC  de l'image empilée avec n brute de durée t2.
  • p(t2,n) = coefficient de perte de RSBFDCemp(t2,n) par rapport au RSB max RSBFDC(t1).

 

Et voilà donc la seconde approximation de la règle des 3 sigmas à maintes reprises abordée que l'on peut faire si s(t) >3 et qu'on visualise très bien sur ce graphique:

si s(t) >3, alors on peut raisonnablement considérer avec une faible marge d'erreur qu'à un temps de pose total fixé t1, quelque soit le temps de pose unitaire t2 choisi, le RSB du FDC de l'image empilée avec n brutes unitaires de temps pose t2 RSBFDCemp(t2,n) est égale au RSB max, à savoir, le RSB du FDC qu'on obtiendrait avec une brute unitaire d'une durée égale au temps de pose total (n = 1).

Si s(t) > 3 alors RSBFDCemp(t2,n) ~ RSBFDC(t1)

 

 

En résumé, sur le choix du temps de pose unitaire:

Tant que ça reste techniquement possible avec votre matériel et votre ciel, tant qu'on atteint pas la saturation (et encore ça dépend, on peut faire volontairement des images saturées pour faire du HDR dans le but de détecter les signaux désirés les plus faibles) et si vous avez le temps (plus on augmente le temps de pose unitaire, plus on risque d'avoir des déchets pour diverses raisons), le mieux est encore de choisir le temps de pose le plus grand possible car les signaux désirés les plus faibles n’apparaitront qu'à partir d’un certain temps de pose unitaire. Si ce signal n'est pas présent dans vos brutes unitaires, ce n'est pas en empilant plusieurs, même des millions, que vous allez le faire sortir. La valeur du signal désirée sur l'image empilée ne dépend que de la valeur du signal désirée dans une brut unitaire. Il ne dépend pas du temps de pose total. Pour un temps de pose unitaire donné, augmenter le temps de pose total (donc augmenter le nombre de poses) permet juste via l'empilement, de diminuer le bruit et donc d'améliorer le RSB. En bref:

  • Si vous voulez plus de signal, augmenter le temps de pose unitaire
  • Si vous voulez moins de bruit, augmenter le temps de pose total

 

EDIT: Comme vous pourrez le lire dans la suite du fil et mes discussions avec Colmic (voir également le retour d'expérience de @Guy53 ), cette conclusion où je vous incite à tenter (avec avertissement quand même) à aller bien au delà des 3 sigmas n'est pas partagé par tout le monde. La théorie c'est bien mais le but c'est que ce soit utile à la pratique. Sauf que quand on étudie théoriquement des phénomènes physiques, on est obligé de simplifier la modélisation de ces phénomènes en négligeant certains aspects. Ce qu'on néglige ne doit pas trop impacter le résultat de l'analyse théorique sinon, la théorie ne peut servir à la pratique. Je précise que, au vu de ce que je développe dans ce post sur le signal et le bruit, il m'arrive de pratiquer bien au delà de 3 sigmas car j'ai l'impression de gagner en détectabilité des signaux les plus faibles. C'est assez difficile à démontrer en pratique car il faut comparer le résultat de 2 expériences menées dans des conditions identiques ce qui est rarement le cas même au cours de la même nuit (la Terre tourne bon sang! Et la météo change aussi!). Dès que je mets la main sur une expérience rigoureuse, je reviendrai! Avec des résultats pratiques qui valideront ou invalideront ma conclusion. Car ce qui compte au final c'est la satisfaction et le plaisir qu'on ressent quand on regarde l'image qu'on a produite. Mon but est bien évidemment de démonter que ma conclusion est valide et de préciser ce qu'il faut respecter pour que ça marche. Il est possible que je n'y parvienne pas... Pour le moment, j'en suis au stade de la théorie et de l'impression.

 

EDIT (27/04/2021) : un cas pratique ici:

 

Modifié par toyof
  • J'aime 2
Posté

Merci @Colmic pour ce nouvel article hyper intéressant, qui suscite des commentaires ajouts non-moins instructifs

Trouver toutes ces informations dans un seul et même article, pour un novice comme moi, c'est vraiment une aubaine. 😉

Posté

Merci @toyof pour cette tentative, tu viens de te rendre compte que la vulgarisation ce n'est pas une chose facile :D C'est même un métier à part entière.

 

En revanche, je suis dubitatif sur ta conclusion :

 

Il y a 9 heures, toyof a dit :
  • Si vous voulez plus de signal, augmenter le temps de pose unitaire
  • Si vous voulez moins de bruit, augmenter le temps de pose total et /ou le temps de pose unitaire

 

Si tu images comme moi à 3 bornes de Paris, sous une pleine Lune et une nuit de Solstice d'été, tu vas te rendre compte que tes 2 lignes ne collent pas.

Si je fais une pose de quelques minutes, sans aucun filtre, je vais saturer tout simplement le capteur rien qu'avec le bruit de photons, avec pour conséquence une image toute blanche.

C'est bien pour cela que dans ma conclusion j'indique bien qu'il convient dans la pratique de rester entre 3x et 5x sigma.

 

Un exemple assez parlant : voici les tout premiers tests que j'ai effectués avec mon ASI6200 en début d'année, dans mon jardin parisien et avec une Lune très présente et très proche de M42.

Première image, M42, filtre L-Pro, 30 secondes de pose seulement :

image.png.3374a42cb804302d3d51fc9ec6c15add.png

 

Sigma 80 (pour rappel le sigma de mon offset est de 5) => je suis déjà à 16x Sigma en seulement 30 secondes de pose et j'ai pourtant un filtre anti-pollution !

 

Cette fois avec un filtre L-Extrême, 180 secondes de pose :

image.png.dec9bde7f6a1040468416b3d50c287e7.png

 

Sigma 54.2 => je suis encore à 10x Sigma

 

A comparer avec mes copies d'écran de la première page sous un ciel bien sombre au zénith et en nouvelle Lune.

Je pense que je vais rajouter ces 2 exemples qui sont parlants.

 

  • J'aime 2
Posté

J'ai ajouté l'exemple ci-dessus dans mon article, je pense qu'il faut que les astrams comprennent bien qu'augmenter indéfiniment le temps de pose unitaire n'est pas non plus la meilleure solution et qu'il faut donner un cadre "normal" d'utilisation.

Connaître son temps de pose mini est important, mais connaître son temps de pose maxi l'est tout autant surtout sous un ciel pollué ou avec présence de Lune.

Posté (modifié)
Il y a 1 heure, Colmic a dit :

En revanche, je suis dubitatif sur ta conclusion :

Oui, même moi... et je la change tout de suite car augmenter le temps de pose unitaire ne diminue pas le bruit, j'ai craqué... En écrivant ça, j'ai confondu le RSB et le bruit.

Et je suis complètement d'accord avec ce que tu dis sur la prise en compte de la qualité du ciel en terme de PL, lune, ciel d'été etc. Dans ma conclusion j'avais bien mis un avertissement:

Il y a 10 heures, toyof a dit :

Tant que ça reste techniquement possible avec votre matériel et votre ciel

 

Je ne vois pas ce qui est contradictoire entre ce que je dis et tes remarques sur la qualité de ciel et les filtres... En plus j'avais fait le même avertissement que toi...

Je peux te dire aussi que si certains astrams ont une qualité de ciel exceptionnel (oui certes, ça devient rare) et un bon matériel, pour quoi devraient-ils rester bloqués à 3 ou 5 sigmas?

 

Modifié par toyof
Posté

Merci pour ce complément

Effectivement j'ai plus de signal en augmentant le temps de pose unitaire ( 180 sec à 240 sec sur l'asi183 )

Comment déterminer sous un ciel de campagne le temps global à poser , en moyenne je fais des séances entre 2 et 3h

Posté
il y a 59 minutes, toyof a dit :

Je peux te dire aussi que si certains astrams ont une qualité de ciel exceptionnel (oui certes, ça devient rare) et un bon matériel, pour quoi devraient-ils rester bloqués à 3 ou 5 sigmas?

 

Parce que si tu augmentes ton temps de pose unitaire sans augmenter pour autant ton temps de pose total, tu vas te heurter à d'autres problèmes, comme un passage d'avion, un autoguidage qui part en couille, une vibration parce que tu as marché à côté de la monture, sans compter le risque très élevé de saturer les étoiles voire le cœur des galaxies.

  • Une fois que tu as dépassé tes 3 sigma, on sait que ton bruit de lecture devient négligeable devant ton bruit de fond de ciel.
  • On sait aussi que plus tu vas empiler d'images, plus tu vas augmenter ta dynamique (1 bit pour 4x plus d'images empilées).
  • Par conséquent, pour un temps de pose TOTAL équivalent, il est par expérience préférable de rester autour de 5x sigma et de faire plus de poses unitaires, qu'on soit sous un ciel parfait ou un ciel pollué.

Pour moi, il vaudra toujours mieux faire 60 x 3 minutes que 30 x 6 minutes, dès l'instant où le bruit de lecture est noyé dans le bruit photonique à partir de 3 minutes.

 

A un moment donné, on peut faire plein de calculs, mais l'expérience de terrain c'est bien aussi ! Le plus important de ces quelques règles c'est d'amener les gens à connaître leur matériel, connaître leur ciel et qu'ils en tirent le meilleur.

Ca sert à rien du tout de les noyer dans des tonnes de formules qu'ils ne retiendront de toutes façons pas, l'idée c'est de les amener à se poser les bonnes questions et qu'ils comprennent pourquoi ils ont de la trame, pourquoi ils n'arrivent pas à sortir de belles couleurs, pourquoi les bras de galaxies ne sortent pas, pourquoi ils ont toujours beaucoup de bruit etc...

 

 

 

Posté
il y a une heure, Petitprost a dit :

Comment déterminer sous un ciel de campagne le temps global à poser , en moyenne je fais des séances entre 2 et 3h

 

Attention, le temps de pose GLOBAL c'est tout simplement le plus longtemps possible, il n'y a aucune limitation.

On le voit bien avec les gars qui sont au Chili et qui posent des centaines d'heures. Il y a toujours un gain.

 

Ici on parle bien de temps de pose UNITAIRE et comment découper une séance de 2 heures par exemple au mieux, si tu as décidé par avance que ça serait 2 heures.

 

En revanche si tu veux connaître le temps de pose total minimum, celui qui te donnera un RSB acceptable sur l'objet imagé, il n'y a à mon sens aucune règle pour le définir, ce n'est que l'expérimentation qui te permettra de savoir où situer le curseur, et dépendra fortement des cibles imagées.

 

Par exemple, sur un champ où il n'y a que du signal partout (genre M42), à partir du moment où le signal est bien supérieur au bruit de fond de ciel, alors on peut se permettre de poser très peu.

En revanche, sur des faibles galaxies perdues dans un fond de ciel immense, il va déjà falloir faire en sorte que ce bruit de fond de ciel devienne négligeable devant le signal (le bruit de lecture étant déjà négligeable devant le bruit de fond de ciel si on a respecté les 3x à 5x sigma sur nos poses unitaires).

 

Est-ce plus clair ?

  • Merci / Quelle qualité! 1
Posté
il y a 7 minutes, Colmic a dit :

l'idée c'est de les amener à se poser les bonnes questions et qu'ils comprennent pourquoi ils ont :

 

 

 

 

...Ok je tente....🤔

 

il y a 10 minutes, Colmic a dit :

de la trame, pourquoi ils n'arrivent pas à sortir de belles couleurs, pourquoi les bras de galaxies ne sortent pas, pourquoi ils ont toujours beaucoup de bruit etc...

 

 

 

Dans l'ordre :

... pas de dithering,

...mon ciel est tout pourri + j'utilise pas le(s) bon(s)filtre,

...temps de pose unitaire trop court(+mon ciel est tout pourri),

....temps de pose total trop bas...( et ciel tout pourri, faut vraiment que je bouge de ma terrasse du 6ème )

 

J'ai bon? 😁

Posté
il y a 12 minutes, Guldur a dit :

J'ai bon? 😁

 

Oui ;)

Bah tu sais question ciel pourri, je suis plus que largement servi, en plus je suis au nord du périph, donc au sud j'ai quoi ?

Posté
il y a 5 minutes, Colmic a dit :

 

Oui ;)

Bah tu sais question ciel pourri, je suis plus que largement servi, en plus je suis au nord du périph, donc au sud j'ai quoi ?


La tour Effel, c’est cool avec son beau gros phare qui illumine le ciel régulièrement, ça peut donner des images sympas ;)

  • Comme je me gausse! 1
Posté (modifié)
il y a 52 minutes, Colmic a dit :

Parce que si tu augmentes ton temps de pose unitaire sans augmenter pour autant ton temps de pose total, tu vas te heurter à d'autres problèmes, comme un passage d'avion, un autoguidage qui part en couille, une vibration parce que tu as marché à côté de la monture, sans compter le risque très élevé de saturer les étoiles voire le cœur des galaxies.

 

Je suis tout à fait d'accord sur ce point aussi Colmic ;) . J'ai fait aussi cet avertissement:

Il y a 12 heures, toyof a dit :

tant qu'on atteint pas la saturation (et encore ça dépend, on peut faire volontairement des images saturées pour faire du HDR dans le but de détecter les signaux désirés les plus faibles) et si vous avez le temps (plus on augmente le temps de pose unitaire, plus on risque d'avoir des déchets pour diverses raisons)

;)

 

 

il y a 52 minutes, Colmic a dit :

il vaudra toujours mieux faire 60 x 3 minutes que 30 x 6 minutes

Bah c'est un principe que tu as et je ne le conteste pas. Pour un débutant c'est certainement un très bon conseil.  Mais pourquoi se priver de faire 30x6min si ton matériel et ta qualité de ciel le permettent, si tu as du temps, que tu acceptes les déchets? Si ton objectif c'est de sortir les signaux les plus faibles de ta cible ou les IFN? Je pense que quelques astrams seront ravis de l'apprendre et qu'ils tenteront d'aller au delà de 3 sigma au moins juste pour voir. Moi j'aime bien me fixer cet objectif et j'obtiens de meilleurs résultats en poussant au max le temps de pose unitaire (et tant pis si je dois en jeter et ne garder que 10% de mes poses) -> expérience du terrain aussi ;). Je ne suis pas le seul d'ailleurs.

 

il y a 52 minutes, Colmic a dit :

Ca sert à rien du tout de les noyer dans des tonnes de formules

Ce n'était pas mon but. Chacun est libre d’approfondir ces sujets ou non, bien entendu. Avec des formules ou pas. Comme je disais, tes premiers posts vont à l'essentiel et contenteront peut-être au moins 95% des astrams! Et encore une fois, c'est du très bon boulot ;)

 

 

 

Modifié par toyof
Posté
il y a 4 minutes, Titophe a dit :

La tour Effel, c’est cool avec son beau gros phare qui illumine le ciel régulièrement, ça peut donner des images sympas ;)

 

Bruce Lee Smirk GIF

Posté
il y a 33 minutes, toyof a dit :

Bah c'est un principe que tu as et je ne le conteste pas. Pour un débutant c'est certainement un très bon conseil.  Mais pourquoi se priver de faire 30x6min si ton matériel et ta qualité de ciel le permettent, si tu as du temps, que tu acceptes les déchets? Si ton objectif c'est de sortir les signaux les plus faibles de ta cible ou les IFN? Moi j'aime bien me fixer cet objectif et j'obtiens de meilleurs résultats en poussant au max le temps de pose unitaire (et tant pis si je dois en jeter et ne garder que 10% de mes poses)

 

Justement tu le dis toi-même, si tu acceptes les déchets.

Quel gain as-tu si en 2 heures tu as perdu 3 poses de 6 minutes alors que tu les aurais toutes gardées en ne posant que 3 ?

Quel gain as-tu si tu perds 2 bits de dynamique sans forcément rien gagner par ailleurs ?

Les IFN ils sortiront tout autant, que tu fasses 60 x 3 minutes ou 30 x  6 minutes, dès l'instant où le bruit de lecture est devenu négligeable.

 

il y a 33 minutes, toyof a dit :

expérience du terrain aussi

 

Rahhh... T'étais encore un jeune padawan ya même pas un an :D Effronté va !

 

EDIT : ma brute d'empilement, avec 90 poses de 120s à F/5 : ils sortent les IFN, ya pas de soucis c'est juste que c'est encore bruité avec ce temps de pose total pas assez long, ça m'empêche juste de pousser les curseurs.

image.thumb.png.45306a6c9dcd89e7e2321fbdb40e797f.png

Posté

Oh la vache, je viens de découvrir le fil de discussion...

Une grande claque dans la tronche. C'est dense en informations. Je n'ai lu que les deux premiers posts, et je crois que je vais aller marcher dehors une petite demi-heure. :)

Merci @Colmic, une fois de plus, pour ton énorme apport à la communauté.

 

Quelques observations concernant le 1er post (désolé, je n'ai pas lu le reste des contributions du post) :

  • il faudrait que tu indiques d'où viennent les courbes
  • le chapitre Empilement et dynamique mériterait d'être d'avantage développé. Dès la première phrase, la question "pourquoi ?" vient en tête. Tu devrais également expliquer la notion de "stop" (peu utilisée dans le monde astro, et que peu de gens connaissent dans la photo "normale")
  • GAIN / gain : il n'y a pas moyen d'avoir deux mots différents, plutôt que de se reposer uniquement sur la casse ?
  • Il faudrait que tu évoques le tripatouillage des RAW par les constructeurs de reflex

Sinon, encore une fois, merci et bravo.

Posté (modifié)

Serait il possible de " bloquer" ce Topic en haut de la page Astrophotographie  du forum comme pour les autres topics de Mr Colmic :god2:

merci

Modifié par Petitprost
  • J'aime 1
Posté (modifié)

Bonjour à tous,

 

Je suis ce topic depuis le départ, mais j'ai une question qui me turlupine.

 

Ma dernière séance avec IC 443 sous un ciel bortle 5 (c'est une appli qui me dit ça) avec filtre Optolong L Pro et lampadaires leds, mais sans Lune, je me suis retrouvé avec des valeurs qui sont assez élevées.

 

Je mets la photo ci-dessous pour illustrer mon propos puisque ce sont celles qui m'ont permis de faire les calculs qui sont concernées.

 

Il me reste encore du temps de pose à accumuler, les 30 x 180 sec ne sont pas suffisants pour faire ressortir la nébuleuse...

 

Je compte poursuivre dès que la météo me le permettra.

 

2021-04-11T16_40_26.png.85741fdda7b89b58f53973e1580927bd.png

 

J'ai suivi la méthodologie de Michel pour relever le sigma sur les brutes et sur l'offset.

L'offset n'était pas un offset, mais un dark flat de 2 sec au même gain que mes flats qui eux aussi ont été pris à 2 sec.

 

Malheureusement, on sort du cadre idyllique où je me situerais dans la fourchette 3 à 5 ou légèrement au-dessus.

 

Je me retrouve avec un facteur de 14 si l'on prend ces chiffres !

 

En gros, quelles conclusions tirer lorsque l'on est au delà de 5, quelles sont les limites à atteindre, les chiffres anormaux ?

 

Dans mon cas, la valeur de sigma oscillait autour de 85 à 90 pour mes brutes et de 6 à 7 pour l'offset.

 

Faut il uniquement réduire le temps de pose à 120 sec par exemple, faut il aussi remettre en cause d'autres aspects, le traitement, les DOF, etc ?

D'ailleurs, convient-il de faire le distinguo entre un offset et un dark flat dans l'interprétation du ratio ?

 

Bref,  peut-on élargir le spectre de ces chiffres dans leur interprétation qui, on l'a souligné n'avait rien de gravé dans le marbre, mais peut servir de base de réflexion avec des chiffres concrets.

 

Merci pour votre aide afin d'y voir plus clair lorsque les chiffres dérapent comme dans mon cas !

 

Philippe

 

 

Modifié par Phil49
Posté
Le 17/04/2021 à 15:02, Colmic a dit :

Rahhh... T'étais encore un jeune padawan ya même pas un an :D Effronté va !

Hé hé ;)! Quand l'élève dépasse la maître!!! Non je déconne...

Tu ne vas pas user de l'argument d'autorité quand même?! :)

 

Ce que je voulais dire c'est que "j'ai l'impression" que j'ai souvent plus de signaux faibles (les IFN, les extension de galaxies, les parties faiblement lumineuses des nébuleuses, etc.) quand je vais bien au delà de quelques sigmas comparé à quand je suis autour de 3-4-5 sigmas... Voila mon expérience du terrain pour être plus précis. Après, je vais être honnête: c'est très difficile de le prouver rigoureusement et ça ne reste qu'une impression car quand je shoote la même cible à 300 ou à 600s, c'est rarement tout à fait les mêmes conditions. La lune, les petits voiles d'altitudes, la hauteur de la cible, etc. Du coup, je t'avoue c'est un mix expérience de terrain / théorie qui me conforte dans cette idée qu'entre une image à 3 sigmas ou une image à 50 sigmas et bah il y une différence visible.

Et puis un truc sur lequel on a peut être pas suffisamment insisté: c'est super dur de mesurer le bruit:

1. Tu prends un carré sur un bias qui ne doit  être ni trop grand ni trop petit sur une zone la plus uniforme possible. Ni trop grand sinon tu as toutes les chances d'embarquer du signal (donc ce n'est plus uniforme), ni trop petit, car une statistique sur un nombre trop faible n'est pas interprétable. Moi, je prends un carré de 32 x 32 pix² pour le calcul du bruit. Et bah sur une même image, tu peux trouver des résultats très différents!

2. Si tu fais pas gaffe, tu arrives vite à la conclusion que ton RSB diminue quand tu augmentes ton temps de pose ou le nombre d'image empilé si dans ton carré tu embarques du signal alors qu'on sait que c'est complètement faux. Le bruit sur une image, ça se voit sans être obligé de le mesurer! Donc quand le sigma est plus élevé sur une image qui visuellement est moins bruitée et qu'en plus la théorie te dit que ce n'est pas normal, il faut commencer à se poser des questions sur ses méthodes de mesure du bruit.

 

Bon aller, je retourne voir la lulu, ça shoote ce soir ;) comme de nombreux soir... Et toi Colmic?

Oui, je suis un petit effronté 😁

Posté

Autour de IC443, il est très difficile de trouver une zone sans signal issu de nébulosités avec juste le fond du ciel "noir"... donc difficile d'appliquer ici la méthode des 3 à 5 sigmas en analysant l'image. Pour ce faire, il faudrait s'écarter un peu de la zone pour trouver un endroit sans nébulosité et faire une image de test.

 

Pour te rendre compte, je poste ici une image que j'ai faite en janvier : ASI183MM sur lunette TS102/520 en Ha-RVB

(40 poses de 600s en Ha pour la luminance, et entre 10 & 15 poses de 180s pour les couches R-V-B)

 

spacer.png

 

Posté (modifié)
Il y a 2 heures, Phil49 a dit :

Dans mon cas, la valeur de sigma oscillait autour de 85 à 90 pour mes brutes et de 6 à 7 pour l'offset.

Es-tu sur APN? J'ai eu ce même souci, voir les débuts du thread. Si tu mesure sur une brute en RAW tu as des résultats foireux car dans le processus un certain nombre d'opérations sont déléguées par Siril à une bibliothèque externe (libraw) dont les résultats sont bizarre, en tout cas pas contrôlables par Siril - et surtout pas exploitables pour des mesures et comparaisons de ce genre. Bref il faut d'abord convertir en FIT avec Siril (ou bien sauvegarder directement en FIT si ton imageur le permet, c'est le cas de Ekos par exemple) puis faire tes mesures à partir du FIT.  Idem pour le bias ou darkflat servant à la mesure.

Modifié par LucaR
Posté (modifié)
Il y a 12 heures, LucaR a dit :

Es-tu sur APN? J'ai eu ce même souci, voir les débuts du thread.

 

Bonjour Lucas,

 

Eh eh, on se retrouve après un passage sur Stellarmate ! 😉

 

Non, je travaille avec une camera ASI 294 MC Pro, ce sont donc bien des FITS et dématricés... 

 

Il y a 12 heures, Titophe a dit :

Autour de IC443, il est très difficile de trouver une zone sans signal issu de nébulosités avec juste le fond du ciel "noir"... donc difficile d'appliquer ici la méthode des 3 à 5 sigmas en analysant l'image. Pour ce faire, il faudrait s'écarter un peu de la zone pour trouver un endroit sans nébulosité et faire une image de test.

 

Mes photos ont beaucoup moins de signal que la tienne, d’ailleurs c'est aussi une question que l'on peut se poser, que moi je me pose !

 

Si le cumul ne permet pas de détecter de signal, à l’œil nu, pour autant, peut on considérer que la zone est équivalente à celle d'un ciel sans objet et donc fournir une valeur de sigma cohérente, nonobstant la PL s'entend !?

 

Voici à titre d’exemple une capture écran de la mesure du sigma sur une brute non calibrée  d'IC 443 que je présentais:

 

Brute_non_calibree_sigma.jpg.f99e5272c73b5af7b9483a1c0fe279d0.jpg

 

La même chose sur une brute calibrée :

 

Rpp_brute_test_sigma.jpg.1c4953397e00b906fd9b03aec0c28cc7.jpg

 

Et enfin, sur mon dark flat :

 

Dark_flat_sigma.jpg.af9da325552580126c81f673e497d10d.jpg

 

Voilà les données de départ !

 

Si l'on me dit que malgré tout le signal est présent et c'est lui qui perturbe le résultat, dès lors, vu que je n'ai pas d'autres zones à échantillonner, comment se faire une idée de la correction à apporter ?

 

Là, on peut raisonnablement supposer que compte tenu de la PL de mon seeing (et pourtant je ne suis pas à Paris !), il est conseillé de baisser le temps de pose à peut-être 120 sec ?

 

Je tenterai cette option dès la prochaine ouverture, mais j'aimerais surtout bien comprendre les facteurs à prendre en compte globalement lorsque l'on sort des valeurs consensuelles....

Les points sur lesquels il est possible de jouer !

Peut-être n'y a t'il pas que la durée d'expo unitaire !?

 

Philippe

 

Modifié par Phil49
Posté
Il y a 9 heures, toyof a dit :

Tu ne vas pas user de l'argument d'autorité quand même?! :)

 

Ah je m'en doutais :D Mais c'est toi qui as commencé ;) 

Loin de moi cette idée, ce que je veux dire c'est "as-tu le recul nécessaire et as-tu bien fait tous les tests comparatifs possibles ?".

Je fais de la CCD depuis 1996 (et de l'argentique depuis 1990), j'ai acheté mon premier APN (Canon Eos 10D) en 2003, disons que j'ai eu le temps de tester plein de choses et me faire une assez bonne idée de ce qui marche et qui marche moins bien.

Pour bien juger on ne peut que comparer sur le même ciel, le même soir, avec plusieurs temps de pose différents, pour un temps de pose total identique.

Si ton temps de pose total n'est pas le même, on ne peut rien en conclure.

Je le répète, à titre personnel, je préfèrerais toujours saucissonner un temps de pose total donné en plus de poses plus courtes dès l'instant où les 3 sigma sont là.

On néglige trop l'impact de la dynamique, de la saturation des pixels si tu poses trop longtemps, sans compter tous les aléas qui peuvent survenir sur une pose longue, et sans compter l'ampglow qui devient ingérable passé 5 minutes de pose pour les capteurs à ampglow.

 

Il y a 9 heures, toyof a dit :

Bon aller, je retourne voir la lulu, ça shoote ce soir ;) comme de nombreux soir... Et toi Colmic?

 

Je te sens vexé ! Remue pas le couteau dans la plaie stp...

Si on est déconfinés à temps, je vais passer 10 jours en Vendée en mai, je vais faire fumer la 6200.

En attendant, je dois me contenter de mon ciel de merde, remarque c'est très bien pour faire des tests en tous genres ;)

Posté
il y a 17 minutes, Colmic a dit :

 

Ah je m'en doutais :D Mais c'est toi qui as commencé ;) 

Loin de moi cette idée, ce que je veux dire c'est "as-tu le recul nécessaire et as-tu bien fait tous les tests comparatifs possibles ?".

Je fais de la CCD depuis 1996 (et de l'argentique depuis 1990), j'ai acheté mon premier APN (Canon Eos 10D) en 2003, disons que j'ai eu le temps de tester plein de choses et me faire une assez bonne idée de ce qui marche et qui marche moins bien.

Pour bien juger on ne peut que comparer sur le même ciel, le même soir, avec plusieurs temps de pose différents, pour un temps de pose total identique.

Si ton temps de pose total n'est pas le même, on ne peut rien en conclure.

Je le répète, à titre personnel, je préfèrerais toujours saucissonner un temps de pose total donné en plus de poses plus courtes dès l'instant où les 3 sigma sont là.

On néglige trop l'impact de la dynamique, de la saturation des pixels si tu poses trop longtemps, sans compter tous les aléas qui peuvent survenir sur une pose longue, et sans compter l'ampglow qui devient ingérable passé 5 minutes de pose pour les capteurs à ampglow.

 

 

Je te sens vexé ! Remue pas le couteau dans la plaie stp...

Si on est déconfinés à temps, je vais passer 10 jours en Vendée en mai, je vais faire fumer la 6200.

En attendant, je dois me contenter de mon ciel de merde, remarque c'est très bien pour faire des tests en tous genres ;)

En tout cas, moi qui ai un âge auquel on peu parler d'expérience (61 ans) mais qui, en matière d'astro, après des débuts prometteurs dans les années 70, n'a plus rien fiat jusqu'à il y a un an, je trouve vos échanges très intéressants. Mon expérience est que, justement, l'expérience est indispensable mais qu'elle peu aussi empêcher d'innover. Il est donc heureux qu'il y ait des débutants pour poser les questions auxquelles, parfois, on ne pense pas mais qui sont pertinentes et les expérimentés pour y répondre... En ce qui me concerne, j'ai peu d'expérience, mais je me soigne, je pratique et je lis beaucoup. Je suis donc suffisamment informé pour pouvoir affirmer que je suis plutôt de l'avis de @Colmic : il vaut mieux respecter la règle des 3xsigma et multiplier les poses sur une durée totale donnée. Ce n'est pas un problème de suivi car PHD2 fait des merveilles mais effectivement de saturation des pixels. Et bravo pour la Vendée, ma fille y habite et c'est super comme région. Ce n'est d'ailleurs pas très loin de chez moi à Laval. Si tu passes à proximité de Laval, dis le moi, je serais heureux de faire connaissance !

Posté (modifié)
Il y a 1 heure, Colmic a dit :

Je te sens vexé !

Bien sur que non :)

Je te taquinais! J'ai même pas shooté cette nuit 😜

 

Je trouve aussi ces discussions ultra passionnantes!

J'ai édité la fin de mon gros post théorique au début de la page. Mon but c'est de partager avec voire d'aider ceux qui pratiquent la même passion que moi. Il me paraissait donc important de faire cet edit au vu de nos échanges.

Modifié par toyof
Posté

Encore un exemple :

J'ai retrouvé une série de l'an dernier faite en Vendée, sous un ciel vraiment excellent, au zénith, par nouvelle Lune.

J'ai tenté le Calamar, réputé très difficile à faire, avec l'ASI2600MC et le L-Extrême.

Poses unitaires de 300s, je pensais n'avoir pas lésiné sur les poses

Au final :

image.png.d3948eb89caac0005e235406e8c5dab6.png

 

Fond de ciel vérifié sur une dizaine de zones différentes : sigma moyen 11.

Sigma de mon bias : 5.

11 / 5 - 15% => je suis à moins de 2x sigma.

Et c'est tout à fait normal sous ce ciel parfait et bien noir, avec en plus un L-Extrême.

Comme quoi tout le monde se fait avoir, même avec de l'expérience ! Il faut dire que j'avais la 2600 et l'Extrême depuis moins d'1 mois et que tous mes essais avaient toujours été faits depuis mon jardin parisien et pollué.

 

Pour autant...

image.thumb.png.e0d60811091cd1ac5aacbb5d012ed792.png

 

Bon ça reste faiblard, mais ça sort quand même.

Dans cet exemple précis, je pense que 10 minutes de pose unitaire n'auraient pas été superflues pour monter à 4 ou 5 sigma.

  • J'aime 2
Posté (modifié)

Re ;)

 

Pour ton dernier exemple Colmic, oui avec un filtre comme le L-extrème ça monte beaucoup plus lentement. Et avec un Halpha 3nm ce serait pire encore.

Mais c'est dans ces configurations qu'il faut vérifier que ce n'est pas le bruit thermique qui te limite.  Pour ça, il suffit de faire un dark à température et de mesurer si le bruit de fond ne dépasse pas ( ou peu ) celui de l'offset.

Si c'est le cas, tu auras beau poser plus longtemps, ton rapport ( sigma de la brute ) / ( sigma du dark ) montera de plus en plus lentement, jusqu'à plus du tout. Et le rapport ( sigma de la brute ) / ( sigma de l'offset ) montera toujours, mais sans aucune amélioration sensible sur la qualité d'image.

 

D'où viennent tes 15% que tu enlèves dans ton calcul ?

 

Maintenant comme je disais plus haut, si on considère que le bruit thermique n'est pas limitant, pour passer de 2 à 3 sigma il te faudrait multiplier ton temps de pose par 8/3. Donc si on considère que tu es à 2 sigma là, tu seras à 3 sigmas en poses de 13 ou 14 minutes environ.

 

le calcul c'est :

 

coefficient = ( rapport sigma voulu ^ 2 - 1 ) / ( rapport sigma mesuré ^ 2 - 1 )

 

Il est également possible d'inclure le bruit thermique dans la balance mais c'est tout de suite plus complexe.

 

Romain

Modifié par Roch
Posté

Sujet très intéressant merci pour ces explications !

 

Petites questions qui me viennent en tête :

- Est-ce juste de dire qu'en Été on augmente sensiblement le temps de pose unitaire (plus grand bruit thermique) pour conserver le même sigma que en Hiver avec la même configuration ?

- Est-ce du coup possible d'assembler plusieurs prises d'un même objet (même setup) à différentes périodes de l'années (Différences de température, de seeing et variation de la pollution lumineuse) ? L'idée est de gagner en qualité au fur et à mesure des sessions pour un même objet.

Posté
Il y a 11 heures, Roch a dit :

D'où viennent tes 15% que tu enlèves dans ton calcul ?

 

C'est la différence entre une brute calibrée et une brute non calibrée, chez moi tout du moins.

Du coup maintenant je sais rapidement le sigma sur une brute non calibrée, je retire 15% au résultat et je suis à peu près bon.

 

Il y a 10 heures, Cocatrix a dit :

- Est-ce juste de dire qu'en Été on augmente sensiblement le temps de pose unitaire (plus grand bruit thermique) pour conserver le même sigma que en Hiver avec la même configuration ?

 

Tu parles pour un APN non refroidi là ?

 

Posté
Il y a 3 heures, Colmic a dit :

Tu parles pour un APN non refroidi là ?

 

Oui exactement.

Posté (modifié)
Il y a 8 heures, Colmic a dit :

C'est la différence entre une brute calibrée et une brute non calibrée, chez moi tout du moins.

Du coup maintenant je sais rapidement le sigma sur une brute non calibrée, je retire 15% au résultat et je suis à peu près bon.

Alors qu'en théorie le bruit ne peut pas être plus faible sur la brute calibrée par rapport au bruit de la brute non calibrée... J'imagine que la mesure du bruit sur la brute non calibrée est perturbée par la présence du signal thermique d'où une surestimation du bruit sur la brute non calibrée. A contrario, j'imagine que la division par le master flat doit certainement avoir pour effet d'"amplifier" le bruit à l'endroit des poussières et sur les bords à cause du vignetage. Mais ce dernier effet semblerait avoir moins d'influence que l'effet inverse de la suppression du signal thermique par soustraction du dark. 🤔 Intéressant... Ça confirme l'idée qu'il est plus facile d'avoir une estimation représentative du bruit sur une brute calibrée que non calibrée via la mesure de l'écart-type (le sigma). D’où ce coeff que tu appliques pour éviter d'avoir à faire la mesure sur la brute calibrée et obtenir malgré tout une mesure représentative du bruit du FDC.

 

 

 

@Colmic, pour info, j'ai fait une session cette nuit sur la trompe d'éléphant. J'ai programmé des prises de vue avec cette séquence: 2 lights de 300s, 1 de 600s, 2 lights de 300s, 1 de 600s, etc. Les conditions étaient pas top encore une fois... La Lune, un léger voile d'altitude, et la trompe est encore assez basse sur l'horizon... Mais avec cette séquence je pense que ça permettra d'avoir une bonne comparaison avec des sigmas différents. J'ai utilisé le L-eXtreme. J’analyse tout ça dès que j'ai un peu de temps... J'ai un peu peur quand même que le sigmas en soit pas si différent que ça entre 300s et 600s. On va voir.  T'as vu, je lâche rien ;) . C'est à la fois un défaut et une qualité mais je veux tout comprendre... Quand il y a un truc qui me turlupine...

 

Modifié par toyof

Rejoignez la conversation !

Vous pouvez répondre maintenant et vous inscrire plus tard. Si vous avez un compte, connectez-vous pour poster avec votre compte.

Invité
Répondre à ce sujet…

×   Collé en tant que texte enrichi.   Coller en tant que texte brut à la place

  Seulement 75 émoticônes maximum sont autorisées.

×   Votre lien a été automatiquement intégré.   Afficher plutôt comme un lien

×   Votre contenu précédent a été rétabli.   Vider l’éditeur

×   Vous ne pouvez pas directement coller des images. Envoyez-les depuis votre ordinateur ou insérez-les depuis une URL.

  • En ligne récemment   0 membre est en ligne

    • Aucun utilisateur enregistré regarde cette page.
×
×
  • Créer...

Information importante

Nous avons placé des cookies sur votre appareil pour aider à améliorer ce site. Vous pouvez choisir d’ajuster vos paramètres de cookie, sinon nous supposerons que vous êtes d’accord pour continuer.