Aller au contenu

Messages recommandés

Posté

Bonjour à toutes et tous,

 

Possédant un C8 sur Nexstar depuis presque un an et demi, je fais surtout de l'astrophoto planétaire.

 

J'ai eu envie de plus gros et dans la seconde quinzaine d'août 2020, j'ai fait l'acquisition d'un C11 XLT sur AVX neuf.

J'ai vraiment galéré avec.

Mais quand je dis vraiment galéré, c'est vraiment.

Sur du détail lunaire, par exemple, là où c'était devenu une routine avec le C8 (de jour ou de nuit, d'ailleurs),  je n'ai jamais sorti une image "propre".

Pour les autres planètes, là où c'était simple avec le C8, avec le C11, ça a toujours été compliqué.

 

Je suis passé par plein d'étapes et d'investigations.

J'ai toujours eu des problèmes de mise au point voire de mise au point instable (et on verra l'hypothèse du pourquoi plus loin).

 

J'ai monté un Crayford Badder Steel Track dessus. C'est plus fin, mais ça vient pas de là. Ayant molette + crayford, j'ai pu m'en rendre compte.

Je vous passe sur les MAP sur Io de Jupiter, la collimation, etc.

 

Dans le traitement des images, quand je regarde les tutos de Sauveur ou d'Astronote ou de Dylan O'Donnel ou de Jean-Luc Dauvergne, je vois bien que 2 ondelettes + 2-3 trucs et bam, l'image est là!

Comme le C8, je dirai (compte-tenue du seeing, de mon savoir-faire qui n'est pas comparable au leur, bien évidemment).

 

J'ai donc fini par me poser la question de la qualité optique de mon tube...

Je suis tombé sur la vidéo de JLD sur l'astigmatisme des Dall Kirkam, SCT, etc.

Puis sur un document de la société d'astronomie nantaise qui décrit très bien avec des images et une "échelle de valeurs". Echelle de valeurs dont je me suis servi pour "comprendre". Voir image jointe.

 

Puis je suis tombé sur ce cours du département de physique de l'université d'Alberta qui traite notamment de l'aberration sphérique.

Et quand je regarde le passage qui décrit comment se comporte le signal lumineux au point (supposé) de focale, alors je comprends parfaitement mon problème de "regrouper les pixels" (Sharpen dans Astrosurface) par 5,6 ou  AVANT de pouvoir utiliser une ondelette et de récupérer du détail. Ca, c'est pour l'étalement en largeur du point focal (ou du regroupement de toutes les composantes du signal lumineux au point focal).

Et sur la profondeur, ça me fait penser à cette "amplification" de la turbulence de l'atmosphère qui rend une MAP très fine quasi impossible ou complétement instable.

 

Et quand je fais un star test du C11 sur une étoile artificielle Pierro Astro 9 picos que j'utilise depuis plus d'un an avec le C8 (qui lui, me donne des images correspondant au manuel de l'utilisateur de Celestron, compte de la turbulence de l'air ambiant, etc), le C11 me donne ça

 

D'où ma question : Est-ce que j'ai un C11 à Lambda sur 2 dans le vert?

 

Tous les avis de spécialistes sont le bienvenu.

 

Mon revendeur (quel qu'il soit, c'est pas le débat) me propose de retourner le C11 et de me rembourser, mais ce que je voudrais, c'est juste un C11 à lambda sur 10 à 550 nm.

Mais bon il parait que "Celestron ne garantie pas de surface de ses miroirs". Ah...ok...

 

D'avance, merci.

 

Philippe

 

 

 

 

C11_TestOptique13112021.JPG

Pardon, j'ai oublié le lien du cours de physique sur l'aberration de sphéricité https://www.youtube.com/watch?v=8R29jGaSdkE&list=PLSrKSt8xhLVrRO5MF6hksLfu2UeZrIiYu&index=28

Posté

Salut,

 

Déjà, désolé pour ton pb.

 

Ensuite, quand tu as choisi ce matériel, tu as surement été prévenu qu'il n'est pas destiné à l'imagerie mais principalement pour l'observation visuelle et disons une "initiation à l'imagerie" car la monture AVX n'est pas prévue pour supporter une masse si importante avec un tel tube optique.

 

Bien curieux que ton revendeur te propose direct de te rembourser. Déjà, il pourrait le reprendre et le faire passer chez l'importateur Celestron France (Medas Vichy) si le matériel a bien sûr été acheté en France, sinon à voir. Il est sous garantie légale puisque moins de 2 ans. Du moins, si j'avais le même problème, je demanderais à ce qu'il soit vérifié par Medas.

 

D'autres avis à venir.

 

Bon ciel.

 

Posté (modifié)
il y a une heure, Phiphi78 a dit :

quand je fais un star test du C11 sur une étoile artificielle Pierro Astro 9 picos

Quelles sont les conditions de ton star test ?

distance et type de l'étoile artificielle ?

Pour passer dans la moulinette de winroddier il faut la même distance intra et extra-focale et un disque d'environ 200 pixels de côté, image non retouchée et non empilée.

Si ton C11 est effectivement à lambda / 2 il n'est pas diffraction limited et c'est un instrument défectueux.

Par contre, lambda/10 sur un célestron à f/10, faut pas déconner, j'en ai jamais vu.

Modifié par lyl
Posté
il y a une heure, Phiphi78 a dit :

c'est juste un C11 à lambda sur 10 à 550 nm.

Il va falloir sortir le chéquier alors, et demander un truc juste pour toi...

J'ai eu un excellent C14, qui est passé de main d'imageur en main d'imageurs. Le second propriétaire lui a fait faire un foucault sur étoile, il a été évalué à L/4,5- L/5 de mémoire.

Je crois me souvenir que les Celestron HAT d'Airylab étaient dans cet ordre de grandeur, car Fred Jabet les contrôlait tous avant le traitement ERF de la lame.

 

Plus généralement, des instruments à lambda sur 10 (interfero, pas un foucault sur 5 zones!!!), ça court pas les rues. Même les lunettes apo ortho de la mort qui tue n'y arrivent pas.

  • J'aime 2
Posté

Merci pour vos réponses.

 

le star test : C11 dans le garage à température depuis deux jours et étoile artificielle à 16 m, dehors.

Pour le diamètre de l'intra et de l'extra focale :  cercles alignés avec ALS collimation. Donc, à 2-3 pixels près, les deux figures ont le même diamètre, même expo, gain et prises à 2 minutes d'écart. Et à F10 avec une ASI 14 MM mini au travers un filtre badder G.

 

La PSF, elle a été faite à F30, ASI 14 MM mini et filtre R0 Badder.

 

Sébastion, pour me donner une idée, un Mewlon 250 ou 300 ou un bon C14, il sont à lambda sur combien?

Posté (modifié)

Bonjour, il faudrait faire le winroddier sur une vraie étoile. L’étoile à 16m c’est vraiment trop peu. Donc, on voit rien de spécial sur les images étant donné le biais introduit par la distance. En plus à 16m, il doit falloir un paquet de tube allonges…
 

Il y a moyen de corriger le front d’onde par rapport à la distance dans WR, une évolution était d’ailleurs prévue, mais il faut connaître la formule pour compenser les aberrations induites et c’est très compliqué et même dans ces cas, 16m c’est trop peu, je dirais minimum 50m… et encore.

Modifié par LaurentL
Posté

L'AVX offre un suivi suffisant en planétaire. Les pieds repliés, elle ne vibre pas. Les pieds déployés, oui, elle vibre. Mais je n'ai pas besoin de l'utiliser pieds déployés.

Je ne fais absolument pas de ciel profond. C'est une autre école et d'autres méthodes.

Et le cas échéant, j'utiliserais mon C8 avec réducteur de focale badder à x0.5 comme je le fais pour le soleil ou les mosaïques lunaires (en 2 images). Je n'ai pas d'exigences en CP. Au-delà d'un live stack pour "voir" une nébuleuse ou une galaxie, ça m'intéresse peu.🙂

 

spacer.png

Je vous mets un image de ce que j'appelle "pas satisfaisant".

Les derniers détails sont perdus dans la "nébuleuses de pixels".

Pris avec une ASI 462 MC, Barlow APM x2, ADC Omegon et ASICAP qui capture et guide via le port ST4, le tout automatisé.

Posté (modifié)
Il y a 1 heure, Phiphi78 a dit :

Sébastion, pour me donner une idée, un Mewlon 250 ou 300 ou un bon C14, il sont à lambda sur combien?

Optique supérieure à λ/20 

Tube optique Dall-Kirkham Takahashi Mewlon-210

Superbe optique, mais très chatouilleux à l'utilisation, ne pardonne pas si pas à température.

La précision de surface des optiques est au moins de λ/20. Ce standard de qualité de la marque induit une forte concentration de la lumière dans le disque d'Airy.

https://www.loisirsplaisirs.com/takahashi/3306-tube-optique-dall-kirkham-takahashi-mewlon-210.html

https://laclefdesetoiles.com/tubes-optiques-seuls/5788-telescope-takahashi-mewlon-210.html

Modifié par yann35
  • J'aime 1
Posté (modifié)
Il y a 2 heures, yann35 a dit :

La précision de surface des optiques est au moins de λ/20.

Donc le front d'onde est à l/10, le miroir secondaire étant sphérique, on peut considérer qu'il ne contribue pas.°

Il y a 3 heures, Phiphi78 a dit :

le star test : C11 dans le garage à température depuis deux jours et étoile artificielle à 16 m, dehors.

Quelle couleur d'étoile ?

Un C11 d'après les formules que j'ai (site telescope optics, reprise de chez Célestron par Vla)

mesure à l/10 : il faut 270m de l'étoile

mesure à l/20 : il faut 540m de l'étoile

en lumière verte 532nm, tu peux difficilement espérer faire une mesure interprétable à mieux de l/5.5 du à l'aberration sphérique de la bête.

Il serait judicieux de le mesurer en HeNe 633nm ou laser rouge équivalent, je pense qu'il existe des étoiles rouges chez Géoptik

Les célestron standard sont contrôlés comme ça, les edge c'est dans le vert, correcteur installé.

 

°: (edit) parce qu'il est facile d'avoir un meilleur état de surface sur le secondaire sphérique plus petit, pas parce qu'il est sphérique mais surtout à cause des dimensions plus raisonnable.

Modifié par lyl
orthographe
  • J'aime 1
Posté (modifié)

C'est compliqué de faire des étoiles artificielles pour de la mesure de gros instruments, tu te retrouves souvent avec des distances impossibles.

Déjà pour faire une mesure sur un instrument de qualité 0.98+, j'ai besoin d'une vingtaine de mètre pour une 80/1200mm

Ex : étoile verte 532nm intra-focale à 10m, l'aberration sphérique est déjà compensée.astroM80-extra-focale-50img.jpg lampe spectrale hydrogène : 20m nécessaire H1.jpg.b27cba8181ec5ffdea650966d6081f78.jpg

Ceux qui ont des bancs optiques simulent des étoiles positionnées à l'infini ou s'arrangent pour produire correctement les interférences avec une référence connue.

Sur un SCT, ça sert à affiner la collimation : id est centrer l'aberration de coma. Pour le reste, c'est assez compliqué.

 

Quant à la taille de l'étoile, elle dépend à la fois de la distance et du diamètre de l'instrument.

Ma 9um convient bien au réfracteur long que je collimate.

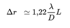
Pouvoir de résolution, Rayleigh :

image.png.71930f019a35937d234f52c34aec2dd9.png

Dans mon cas à L=10m, lambda = 532.10-9 , D=0.08 : deltaR = 1.22*10*532.10-9 / 8.10-2 => 811.3 10-7 ou ~81 um => mon étoile est 9 fois plus petite.

 

Si je mets plus petit ça devient trop sombre, pas assez de lumière. Si je mets une 50um, je vais obtenir un image faussée par un début des mélanges d'interférences due à la taille du trou et une perte de contraste.

 

Donc il vaut mieux prendre le critère de Shuster qui est double de Rayleigh voire encore plus quand on est sur un achromat.

image.png.9f864f07117a9aa772449e265b061ea4.png

Un bon ratio de taille me semble être 1/4 au minimum quand on le fait en couleur sur un achromat. J'ai déjà fait des Ronchi à 1/5, c'est déjà limite, mais ça devrait être correct sur une apo ou un C8.

-----------------

Un petit exemple dans de bonnes conditions : les mêmes que l'image rouge et bleues au-dessus

 

C'est une lampe au Krypton : 3 raies fortes 557-587-474 le reste est résidu négligeable. (edit) : je perce des trous avec un épingle dans un opercule de yaourt que je place le plus près possible du tube.

IMAG0534-Kr.jpg.b487031816f456b95f935ac7df6f0542.jpg

Je peux discriminer 474 (couleur blanche, canal bleu) mais 557 et 587 (canal vert + rouge) ont un focus proche et on a certains anneaux net et d'autres mélangés avec apparition d'orange (du 587) et de vert (du 557)

(j'ai un filtre raie He 588 assez étroit que j'utiliserai la prochaine fois, ça m'apprendra...)

Kr7-drz_587+557.jpgBleu474_de_Kr7-drz_4.jpgKr7-drz_587+557_2-B.jpgimage.png.d1bbc515286ff29bd01d9d00a53ce0b7.png

Pour le C11, tu tombes sur ce cas en lumière blanche pour une des deux images. Il a malgré tout un peu de chromatisme, il ne faut pas être surpris.

D'ou mon conseil de l'étoile monochrome mais dans le rouge. Les sources jaunes et oranges sont rares et chères...

 

Sur ton C11, il faut essayer plutôt de prendre une image d'étoile orange ou rouge, filtrer les IR ainsi que le bleu et le vert, genre un filtre Baader rouge interférométrie. Tu vas capter 40nm de bande passante et ça peut être pas trop mal comme indication. C'est un pis-aller mais c'est l'idée la plus proche pour pouvoir trouver un résultat.

Modifié par lyl
  • J'aime 1
Posté

Merci pour toutes ces précisions.

L'étoile est blanche. Mais elle apparait un peu bleue.

Je la capte dans le bleu, le vert, le rouge. Pas dans l'IR.

Au C8, J'obtiens ça :

 

ASI178MC_C8_B_PSF_BC_14042021_100r__102_reg.png

ASI178MC_C8_G_PSF_GC_14042021_100r__101_reg.png

ASI178MC_C8_R_PSF_RC_14042021_100r__101_reg.png

Posté (modifié)

Essaye déjà de filtrer la rouge-orange dans la même situation, on peut tomber sur quelque chose d'exploitable quitte à extrapoler ensuite.

Modifié par lyl
Posté

Et si je baisse le gain, je dirais qu'il a une PSF qui correspondrait à un L/7-8.

Aujourd'hui, j'ai passé le C11 au banc de réglage Hotech CT advanced collimator.

J'ai refait un star-test que je n'ai pas "développé"  les captures mais le "trou noir" de cercles concentriques s'est réduit.

Par contre, au niveau des réglages sortis d'usine, c'était pourri. Rien n'était aligné.

J'ai dû recentrer le miroir primaire et la lame que j'ai tournée de 22-25° pour tenter de pouvoir rattraper l'astigmatisme léger (axe 1h-7h)

Il faut que je reprenne un peu le centrage du crayford.

Et ensuite peaufiner la collimation à F30. Mais ça, c'est une rigolade par rapport au reste.

@lyl : Je le fais demain. J'ai R ou R610. Je ferai les deux. Merci à tous. Encore.

Posté
Il y a 17 heures, sebastien.lebouc a dit :

Je viens d'aller voir les rapports en ligne de mesure d'airylab sur les mewlon.

ça a l'air touchy, ils ont pour la plupart été recollimaté sur le banc de contrôle.

Ils oscillent entre l/4,2 et l/7,9

Bonjour Sébastien,

Comment tu trouves ces infos sur les rapports Airlab ? (je ne comprends pas et je ne souhaite pas rester ignorant 😜)

Posté

Il faut regarder dans les interférogrammes les valeurs mesurées  de PTV (pic to valley en nm, en bas à gauche du graph) et la longueur d'onde considérée, indiquée aussi en nm.

Exemple: 80nm d'erreur dans une longueur d'onde de 632, ça fait 632/80, soit lambda/7,9.

  • J'aime 1
Posté (modifié)
Le 16/11/2021 à 18:46, Phiphi78 a dit :

et étoile artificielle à 16 m

Ça me semble tout à fait correct par rapport à l’aberration spherique sur tes images.

 

Les C11 corrigent l’aberration sphérique pour les objets à l’infini. Pas à 16m.

 

je prendrais un oculaire Ronchi en faisant un test sur une étoile (une vraie) ou j’utiliserais Winroddier (idem pour la source).

 

Mais je soupçonne surtout que tu as plutôt des problèmes de mise en température le soir…même sur tes images dans des conditions meilleures le miroir est encore à une mauvaise température, et la nuit c’est bien pire.

 

Et là tu as le choix entre un Lymax cooler et/ou de l’isoler juste avant la session pour uniformiser la température dans le tube. De préférence les deux.
 

Ou partir à La Palma, la Floride ou Barbados ;-).

Modifié par sixela
  • J'aime 2
  • Merci / Quelle qualité! 1
Posté

Et le star test sur le ciel, que donne-t'il?

L'étoile artificielle c'est bien si placée à la bonne distance.

Les L/x donnés au début sont surement ceux correspondant au taux d'aberration sphérique, L/10 c'est possible sur un SC, aberration sphérique.

Un L/2 en aberration sphérique doit se voir immédiatement avec une très forte clarté du 1er anneau de diffraction (voir aberrator pour simuler).

Dans la période du moment, le ciel est plutôt agité mais il y aurait quelques moments de relative stabilité pour faire le constat.

Quand même.

Au passage vous verrez une idée de l'astigmatisme de premier ordre en observant la forme des images extrafocales.

Un ronchi pratiqué à la suite pour confirmer.

Quel est la valeur du niveau de turbulence dans votre C8 en le plaçant sur le ciel? Le C8 peut faire tube de comparaison pour la qualité.

1-2H de manip sur le ciel et c'est diagnostiqué pour définir un mauvais tube ou non.

Je ne crois pas que celestron lâche des tubes L/2 aujourd'hui, il y a 10ans et plus sans doute.

Une bonne référence pour pratiquer un star test sur ciel, "star testing astronomical telescopes" de de Suiter, opticien de l'armée us, il y a des images de référence pour comparer avec ce que vous avez.

Posté

Bonsoir,

Hier, j'ai eu 1h de ciel clair ET stable, ce qui n'était pas arrivé dans les Yvelines depuis des mois.

J'ai pu pratiquer un star test sur une des étoiles des Pleïades.

Ne demandez pas laquelle exactement : j'ai pointé sur Les Pléïades et j'ai choisi la plus brillante.

Je suis en train de copier les fichiers et je vais les traiter, puis les poster.

Mais déjà, la première impression est que c'est mieux, beaucoup mieux.

 

Mardi et mercredi soir, j'ai passé un moment avec le Hotech et pratiqué quelques réglages "généraux" du tubes.

Pour décrire rapidement le fonctionnement de cet appareil, il y a d'abord deux premières étapes qui permettent de d'abord de centrer le miroir primaire et la mire, puis de rendre parallèle le primaire et la mire.

Le primaire sert alors de référence pour tout l'alignement des éléments du télescope par rapport à l'axe primaire/mire. Parallélisme, concentricité, orthogonalité.

Et la première conclusion est que : c'est pas bien réglé en sortie d'usine!

Après, c'est aussi une question de tolérances. Un usage visuel ne requiert pas la même précision que du planétaire.

Rien n'était aligné.

Après deux séances, il reste un défaut de concentricité du Steel track mais je vais y remédier.

Etape 3, c'est réglage du centrage du secondaire/lame de Schmidt => c'est beaucoup mieux mais pas encore parfait. Mais comme le centrage du secondaire se fait par rapport au primaire ET au PO. Je vais aussi devoir reprendre.

Etape 4, collimation classique du miroir secondaire. Simple.

 

Donc, mercredi soir, après mise en station polaire puis 3 étoiles,  un petit passage par la lune et à l'oculaire, c'est beaucoup, beaucoup mieux.

Mais je me dis que vérifier la collimation sur une étoile "en vrai", c'est mieux.

Donc, direction Les Pleïades.

 

Premier constat : la collimation à F10 est devenue beaucoup plus facile.

Ca m'a pris 6 minutes...

J'aurais pu peaufiner les 2 derniers %, mais comme un voile d'humidité tombait je voulais aussi tester en shootant la Lune.

 

Elle est même devenue plus facile que sur le C8...qui va avoir sa séance de réglage, aussi. Mais un peu plus tard.

 

Deuxième constat, même à l'œil, en capturant ce star test : c'est beaucoup mieux.

 

Dernière précision : j'ai contacté par mail un "Monsieur" qui connait très bien les SCT et m'a énormément rassuré et indiqué aussi quoi et comment le pratiquer.

 

Dernière dernière précision :  j'ai du coup, pratiqué le star test en L pour laisser apparaître les défauts chromatiques inhérent aux SCT. J'en referai en R, R610, G et B voire IR 742 apprès avoir calé toutes mes concentricités.

 

La dernière image est celle du résultat des réglages. On voit la fonction d'étalement du point qui bave encore un peu.

La troisième est légèrement refocussée pour mieux montrer le décentrage du PO.

IMG_8817.JPG

IMG_8819.JPG

IMG_8820.JPG

IMG_8818.JPG

Posté (modifié)

Intra et extra avec la 174 MM mini, filtre L (UV + IR cut) à F10, 30ms à 200 de gain

Normal et "leveled" :

2021-11-17-2149_2-L-collimC11__174___100r_40T_55reg.jpg

2021-11-17-2149_2-L-collimC11__174___100r_40T_55reg_Leveled.jpg

2021-11-17-2151_1-L-collimC11__174___100r_40T_56reg_Leveled.jpg

2021-11-17-2151_1-L-collimC11__174___100r_40T_56reg.jpg

J'ai fini la collimation, après.

Modifié par Phiphi78
  • 9 mois plus tard...
Posté (modifié)

Bonsoir,

tout d'abord, merci pour votre aide qui m'a pété précieuse et m'a permit de comprendre beaucoup de choses rarement abordées.

Après de nombreux essais, réglages, essais, réglages, j'ai fini par acheté un pieds à coulisse digital et à centrer mon secondaire.

Deux diamètres à 90° en mesurant un rayon entre le plan d'appui intérieur du logement du miroir (surface de référence) et l'extérieur du tube.

Reste une erreur de centrage de 0.30 mm et 0.33 mm au diamètre, soit une concentricité à 0.15 et 0.165 mm au rayon.

 

Il va beaucoup mieux depuis!!!

 

Deux images du 24/08/2022 et du 28/08/2022 :

 

2022-08-24-0149_9_L_____150r_64T_4037reg.png

2022-08-28-0145_7_L_____150r_64T_4161reg.png

Modifié par Phiphi78
  • J'aime 4
Posté (modifié)

Très chouette en effet, le diamètre est présent. (Retouches avec Fitswork et Astrosurface, balance jaune avec matrice de calibrage perso : modèle ASI185MC, + augmentation saturation)

2022-08-28-0145-Jupi_2.jpg.10307c2dc42b68b0ce2890788153f134.jpg

Modifié par lyl
  • 3 semaines plus tard...
Posté (modifié)

Merci lyl.

En effet, les couleurs et les détails sont mieux.

Ces deux nuits là, je crois que c'est la première fois que j'ai pu obtenir des données qui soient vraiment à haute résolution.

Il me manque encore une bonne vraie psf qui corrige la concentration dans figure d'Airy. Je lis actuellement le livre rédigé sous la direction de Christophe Pellier et je découvre et comprends plein de phénomènes d'otiques et du pourquoi et comment les corriger au traitement.

La collimation est bonne et j'obtiens maintenant une "cocarde" mais avec un seul cercle comme la figure plus haut qui montre la valeur de lambda/4.

Il manque un peu de concentration de lumière dans ce deuxième cercle.

Le cercle n'est pas exactement parfaitement formé. Il reste un pouillième de pincement du secondaire. J'évaluerais à lambda/3,5-3,8.

Au Hotech, il reste un léger décentrage du PO. Environ 1 mm.

 

Si le secondaire est aligné, que le PO l'est aussi, alors j'en déduis que le primaire a encore un léger décentrage.

Cet hiver, je démonterai le primaire pour le remonter avec un joint liège.

Je regarderai s'il y a moyen d'affiner son centrage. je sais pas encore comment c'est fait mécaniquement à l'intérieur, mais il doit bien avoir un moyen.

 

J'avais lu des rapports de réglages trouvés en ligne comme tu me l'avais conseillé et pour "compenser/réduire" le léger astigmatisme, après plusieurs essais, j'ai tourné la lame de Schmidt de 30/35°.

 

Pour la mise au point, j'ai carrément changé de méthode :

J'ai essayé la méthode de JLD reprise par JP Ogier de baisser le Gamma dans ASI CAP et c'était mieux.

Mais je préfère utiliser SharpCap et j'ai découvert un nouveau bouton dans le panel d'histogramme, en bas à droite du panel : L'image en couleurs inversées/négatif.

C'est un vrai révélateur de seeing!

Je cherche d'abord le détails fins dans la bande équatoriale, puis dans les bandes équatoriales nord et sud, puis - quand le seeing est bon - les bandes tropicales voire, quand le seeing est excellent, dans les pôles. C'était le cas du 28/08/2022, l'image que tu as reprise : on y voit des détails jusqu'au limbe des pôles.

 

Concernant la colorimétrie :

Au traitement, je perds la colorimétrie que je vois lors des captures.

Je lis sur les forums qu'il y a débat.

C'est un parti pris de traitement que je ne partage pas.

Oui, elle plus jaune mais si beaucoup la traite "orangé" et certains la traite "à l'américaine" en tirant vers le orange/rose, je ne trouve pas que soient les "vraies couleurs".

En tout cas, pas celles perçues à l'écran ou à l'oculaire.

La gamme de tons est plus café, crème et blanc avec, par endroits des bandes rosé tirant au saumon sur des détails de l abande équatoriale sud comme tu l'as traité. D'ailleurs, lorsque Jupiter scintille à l'écran, lorsque ces détails fins de couleurs apparaissent, je sais que le seeing devient bon et lorsqu'ils "tiennent", je sais qu'il est très bon, la MAP bonne, et l'ADC bien réglé.

Note au sujet de l'ADC : L'ADC Pierro Astro vaut son tarif. Il m'a changé la vie par rapport à l'Omegon qui n'a jamais pu aligner les longueurs d'ondes. J'arrive à des 0 et 0,1 pixels avec l'outil de réglage de SC et à ce moment-là, l'indication directionnelle du décalage ne sert plus à rien puisqu'elle tourne autour du centre. Pour le calage de l'ADC par rapport à "l'horizontale", en fait, je fais maintenant varier la force de la correction. Cela entraine un déplacement de la planète sur le capteur. Je cale à l'œil, l'axe de déplacement sur le méridien de la planète de manière à ce que les deux axes soient confondus. Bon, ça reste à l'œil et empirique, mais ça fonctionne bien.

Pour finir avec la colorimétrie, lais la bande équatoriale nord apparaît plus café et café au lait.

Je rencontre le même problème au traitement : la BEN tourne au rouge ou rouge/brun.

Je ne dispose plus de Photoshop (qui est quand même la Rolls!) mais je cherche une alternative, une méthode. Je vais finir par trouver.

 

Et une dernière autocritique sur la colorimétrie : je les trouve "métalliques" alors que je la "vois" plus  dans des tons naturels d'automne.

Les blancs sont gris à cause du bleus, les rouges trop prégnants et le vert ne se mélange pas bien pour se répartir dans les deux autres couleurs.

Mais ça vient peut-être du profil de la 462 MC, faible QE dans le bleu, vert "fort" mais débalancé par un rouge presque trop puissant.

Donc, au moment de faire une balance des blancs, ben , ce déséquilibre à la capture dénature les couleurs.

 

Trouver le bon profil de correction de la 462 MC est sûrement une bonne solution. Mais je en l'ai pas encore trouvé.

 

Modifié par Phiphi78
Posté
Le 03/09/2022 à 00:08, Phiphi78 a dit :

Reste une erreur de centrage de 0.30 mm et 0.33 mm au diamètre, soit une concentricité à 0.15 et 0.165 mm au rayon.

 

C'est pas un problème sur un SCT classique, c'est assez tolérant sur l'axe les aberrations peuvent se compenser jusqu'à 1mm de décalage juste par réglage de l'assiette du secondaire.

 

(Dans les coins c'est le autre chose si jamais tu voulais utiliser un correcteur réducteur large champ comme les Starizona, mais pour le planétaire on peut rattraper les petits défauts sur l'axe juste en collimatant le secondaire avec cette formule. Pas vrai pour un edgeHD par contre.)

Le 25/09/2022 à 10:41, Phiphi78 a dit :

La collimation est bonne et j'obtiens maintenant une "cocarde" mais avec un seul cercle comme la figure plus haut qui montre la valeur de lambda/4.

 

Ben moins t'as de cercles, mieux ça vaut : plus l'énergie est concentrée dans la tâche centrale i.e. moins il y en a dans les anneaux,  meilleure est l'optique.

C'est rapport de strehl : il donne le pourcentage d'énergie dans la tâche centrale. Plus il est élevé, mieux ça vaut. On considère qu'il faut au moins 80% pour atteindre la limite de diffraction du tube. (I e pour atteindre le pouvoir séparateur avec comme critère la limite de diffraction, environ lambda/4,7D).

avec un secondaire de 33% d'obstruction, on en est pas loin si l'optique est parfaite, donc il y a de l'ordre de 20% d'énergie dans les anneaux si tout va bien, pas beaucoup plus.

  • J'aime 1
Posté
Le 25/09/2022 à 10:41, Phiphi78 a dit :

JLD reprise par JP Ogier de baisser le Gamma dans ASI CAP et c'était mieux.

 

C'est plutôt augmenter le gama : quand tu augmente au dessus de 1 (valeur par défaut), tu as plus de contraste, plus facile de faire la mise au point  sur Jupiter.

 

Autre astuce de JLD, utiliser la stabilisation automatique de faire capture. Ça aide bien pour la mise au point. Suite à repasser dans Sharpcap ensuite si on préfère. D'ailleurs ça stabilisé va aussi dans Sharpcap pour le live Stacking. Mais en planétaire il faut le rester au bout de quelques secondes. Ça marche aussi pour la figure d'Airy, si pas trop turbulent. Mais ça vaut pas encore un stacking dans AS3/registax

Posté (modifié)

Ben, voilà la "tête" de ma PSF du 28/08/2022 dans le rouge/IR 610 :

2022-08-27-2111_3_R_____100r_24T_482reg.png

Et une copie d'écran bien zoomée, traitée, niveaux normalisés. Il manque encore un chouille mais il est tellement plus facile à collimater.

Pour la MAP, voici un exemple de SC en mode couleurs inversées. malheureusement, la capture d'écran se fait en NB. Mais je trouve ce procédé plus parlant que le Gamma dans ASICAP ou FC.

Et pour le suivi, je viens de tester de caler la lunette de guidage sur une des lunes (mais pas Io qui orbite trop vite) et cela fonctionne bien.

 

Capture.JPG

Jupiter_L_ZWO ASI462MC_9,0ms___(Temperature)_00001_WithDisplayStretch.png

Modifié par Phiphi78
  • J'aime 1
Posté
Citation
Le 27/09/2022 à 04:35, olivdeso a dit :

dans Sharpcap pour le live Stacking. Mais en planétaire il faut le rester au bout de quelques secondes. Ça marche aussi pour la figure d'Airy, si pas trop turbulent. Mais ça vaut pas encore un stacking dans AS3/registax

J'avais jamais pensé à faire un live stacking dans SC pour la figure d'Airy. Je vais tester. J'utilise assez peu AS!3. Je sais que c'est pas tendance mais je trouve Astrosurface plus performant. AS!3 me transforme le bruit qui contient les détails les plus fins en pointillisme au traitement alors qu'Astrosurface conserve plus de détails fins contenus dans le bruit et permet de les faire ressortir au traitement. J'utilise beaucoup Sharpen dans AS et en fait, 90% du traitement est là. Pour mes captures, c'est plus efficace que PSF + dérotation. Enfin, pour l'instant. Il y a peut-être un truc que je n'ai pas saisi. Une déconvolution me permet, par exemple, de compenser un seeing pas très bon. Mais un soir de très bon seeing comme le 28/08, la déconvolution me tue le détail très fin.

 

  • J'aime 1
Posté (modifié)
Le 25/09/2022 à 10:41, Phiphi78 a dit :

La gamme de tons est plus café, crème et blanc avec, par endroits des bandes rosé tirant au saumon sur des détails de l abande équatoriale sud

Tout à fait, Jupi est une vieille amie, qui sort très blanche car l'équilibre nocturne de l’œil est ainsi, mais elle ne reflète que notre soleil en un peu plus jaune ou crème si on est absolu. Il est très difficile de faire un bon équilibre couleur en photo planétaire mais il est certains que les caméras sortent régulièrement des fausses couleurs plutôt fade si l'on applique pas la matrice 3x3 d'équilibrage visuel que l'on trouve dans les appareils numériques.

 

Dans notre imaginaire culturel, le rose, le brun, l'orange, le "saumon" sont des teintes très sensibles et qui doivent être restituées très précisément. J'ai été également ravies de retrouver des teintes de violet dans les zones à 45° de latitude que l'on a du mal à percevoir même avec un télescope dédié planétaire. Je suis toujours en quête de ces particularités qui ont certainement une explication sur la géophysique de Jupiter.

Le violet ne ressort que si le jaune est bien défini, question de complémentarité des couleurs.

 

Assez curieusement, j'avais fait ça à l'origine pour le champ profond car j'avais beaucoup de fond vert en sortie. Ca part d'un souvenir inoubliable d'Octobre 2017d'Orion au dobson de 203mm à 1700 m d'altitude émergent des sapins, en couleur. Je l'ai poursuivie à l'époque sur 3 jours pour le concours du Calas. (avec une apo 80mm, ma première photo astronomique).

C'est applicable mais le meilleur rendu est pour les planètes. Il semble que la balance jaune en plus de la balance blanc augmente la lisibilité des détails en déformant la palette couleur.

Modifié par lyl
  • J'aime 1

Rejoignez la conversation !

Vous pouvez répondre maintenant et vous inscrire plus tard. Si vous avez un compte, connectez-vous pour poster avec votre compte.

Invité
Répondre à ce sujet…

×   Collé en tant que texte enrichi.   Coller en tant que texte brut à la place

  Seulement 75 émoticônes maximum sont autorisées.

×   Votre lien a été automatiquement intégré.   Afficher plutôt comme un lien

×   Votre contenu précédent a été rétabli.   Vider l’éditeur

×   Vous ne pouvez pas directement coller des images. Envoyez-les depuis votre ordinateur ou insérez-les depuis une URL.

  • En ligne récemment   0 membre est en ligne

    • Aucun utilisateur enregistré regarde cette page.
×
×
  • Créer...

Information importante

Nous avons placé des cookies sur votre appareil pour aider à améliorer ce site. Vous pouvez choisir d’ajuster vos paramètres de cookie, sinon nous supposerons que vous êtes d’accord pour continuer.