Aller au contenu

Messages recommandés

Posté

Bonjour,

 

Je suis maman d'un enfant de tout juste 88 ans passionné par l'espace. Dans les reportages qu'on trouve à la télé ou les lectures de son âge, il ne découvre plus rien et s'en plaint.

Il connait parfaitement le système solaire, ce qu'est une galaxie, un astéroide, une comète, une lune ... Il comprend les phénomènes de gravité, a acquis qu'une étoile en mourant pouvait devenir un trou noir. Il a regardé  un reportage concernant les dernières recherches de Stephen Hawking au moment de son décès concernant la masse d'information contenu par un trou noir, il sait que ceux-ci "recrachent" de la matière et donnent naissance à de nouvelles galaxies, Il se représente la lumière un peu comme une matière faite de particules.On a déjà discuté de l'intrication des particules...

Il s'intéresse plus particulièrement aux trous noirs / blancs et trou de ver et aux notions d'espace temps. Il s'interroge aussi au sujet du big crunch (perso, je ne me souviens plus ce que c'est 😁 )...

 

Bref, vous seriez super sympa de me proposer des livres pour lui faire un beau cadeau de noël (avec beaucoup d'images ^^ ).

 

Posté
Il y a 11 heures, SoniaB a dit :

Je suis maman d'un enfant de tout juste 88 ans

 

Bonjour à tous !!

 

Cela me rappelle l'histoire vraie suivante...

Je discutais avec une personne qui achetait des maisons en viager.

Elle m'expliquait alors avoir coupé court à une visite, la vendeuse de 85 ans lui ayant expliqué être pressée, car elle devait rendre visite à sa mère 😂...

 

Éric

  • Comme je me gausse! 5
Posté
Il y a 15 heures, SoniaB a dit :

Je suis maman d'un enfant de tout juste 88 ans passionné par l'espace.

Ceci prouve bien qu'il n'est jamais trop tard pour s'intéresser à l'astronomie ;). En tout cas bienvenue à toi @SoniaB :).

Si tu veux, tu peux corriger la faute de frappe dans ton message en cliquant sur "éditer" ;)

Posté
il y a 20 minutes, polorider a dit :

Si tu veux, tu peux corriger la faute de frappe dans ton message en cliquant sur "éditer" 

Bonjour @polorider,

 

Oui ce sera possible, mais pas avant d'avoir dix messages au compteur.

 

Ney

  • Merci / Quelle qualité! 1
Posté

Bonjour @SoniaB,

 

Bienvenue sur WebAstro. Alimenter la curiosité insatiable d'un enfant motivé est presque un métier à plein temps. Courage !

 

Pour répondre à votre demande, j'ai reçu ce livre en cadeau : Le grand Atlas de l'Astronomie édité par le journal "Le Monde" et longuement préfacé par Hubert REEVES. J'y ai passé des heures à admirer les photos très nombreuses et de qualité. On y passe en revue toutes les familles d'objets présentes dans le ciel, avec chaque fois des photos magnifiques et un texte d'accompagnement de très bonne tenue. Ce livre devrait plaire à votre enfant :

 

20211122_121516.thumb.jpg.712cc0689b0781b6a84d90f9afbfd277.jpg

20211122_121450.thumb.jpg.bb5b73627b15c05b182bcf9467e47515.jpg

 

Par votre intermédiaire, il pourra également poser ses questions sur le forum, des astrams pointus pourront lui répondre avec grand plaisir j'en suis certain.

Pour mémoire le Big Crunch, qui n'est qu'une hypothèse pour l'instant, serait la réversibilité du Big Bang qui lui est pour l'heure la seule vérité scientifique reconnue et validée par tant d'observations, la dernière en date furent les ondes gravitationnelles. Certains chercheurs envisagent qu'après le Big Bang et la période d'expansion qui dure toujours avec une augmentation constante du taux d'expansion de l'Univers, notre Univers atteindrait une phase d'équilibre et entamerait alors le phénomène inverse jusqu'à s'écraser sur lui-même et éventuellement repartir dans un nouveau cycle d'expansion. Ce n'est qu'une hypothèse parmi des centaines d'autres dont certaines un peu ... disons sinon farfelues du moins terriblement exotiques.

 

Ney

 

 

 

 

  • J'aime 2
Posté

Merci pour votre accueil chaleureux et

merci aussi pour cette proposition. Ca a l'air tellement plus interessant que les sempiternels livres représentant en dessins notre système solaire !

Et oui, en effet, il est toujours en demande. Ce soir par exemple, je vais lui enregistrer les émissions de discovery science "les clés de l'univers". Sa curiosité vient de mon intérêt sur le sujet, mais pour lui, c'est presque une obsession (une bonne obsession :) ) Son grand objectif est de faire des recherches sur le voyage dans le temps... 

 

En ce qui concerne les questions, il en a à profusion ! Pour ce soir, il demande de quelle(s) matière(s) sont fait les trous noirs.

 

Sonia et Erwan (le fameux enfant de ... 88 ans haha )

Posté

Hello

Avec mon fils de 10 je regarde "cosmos", l'émission présenté par Neil de grass. Passionnant, il adore !! ca se trouve en dvd ou blu ray sur amazon. En revanche c'est VOST francais. Mais c'est fantastique, très pédagogique pour les enfants et complets : cosmologie, évolution, biologie etc....

Sinon, je lui ai offert la trilogie de bouquin ecrit par christophe galfard, une référence dans le monde la vulgarisation scientifique. Ca s'appelle "le prince des nuages", mais un peu juste pour 8 ans peut être ?

Posté

Bonjour Petitjean,

Je vais essayer de trouver la trilogie. Il arrive à appréhender des choses vraiment complexes alors peut-être que ce ne sera pas trop juste. Le pradoxe du grand père par exemple a été une évidence opur lui. Alors, je tenterai le coup. On verra. Là où il rejoint les autres enfants de 8 ans, c'est sur l'aspect visuel des livres, sur les illustrations dont il a encore beaucoup besoin.

 

@22Ney44 J'ai commanndé ce livre, je vous dirais après Noël quelle a été sa réaction. Merci :)

Posté
Il y a 2 heures, norma a dit :

Bien sûr, un livre ... Mais à cet âge, je penche de préférence pour un guide et quoi de mieux que les parents, voire un club.

Pour le club, c 'est compliqué : je travaille les mercredi et samedis mais je vais voir pour l'inscrire l'été prochain sur une colonie de vacances autour de l'astronomie. J'ai vu sur le net qu'il y en avait une pas très loin de Marseille.

Posté
Il y a 3 heures, SoniaB a dit :
Il y a 6 heures, norma a dit :

Bien sûr, un livre ... Mais à cet âge, je penche de préférence pour un guide et quoi de mieux que les parents, voire un club.

Pour le club, c 'est compliqué : je travaille les mercredi et samedis mais je vais voir pour l'inscrire l'été prochain sur une colonie de vacances autour de l'astronomie. J'ai vu sur le net qu'il y en avait une pas très loin de Marseille.

Bonsoir Sonia,

 

Pour le club c'est presque plus compliqué que cela. L'astronomie, sauf erreur de ma part, se prépare certes en journée, mais le "dur" de la pratique se passe la nuit. Je ne suis pas certain qu'à la fois cela plaise au jeune, ni que ce soit vraiment sa place compte tenu qu'au moins une fois sur deux le lendemain il y a école.

C'est pour cela que dans la plupart des sujets où il est question d'un enfant qui veut démarrer l'astronomie, les mises en garde des intervenants portent beaucoup sur l’investissement des parents. Un exemple, observer M42, la belle nébuleuse d'hiver, suppose de se mettre des heures au froid. Si un adulte résiste bien au mordant "frigorique", un enfant par son moindre poids va beaucoup moins bien supporter. Il voudra rentrer au chaud, ce qu'on peut comprendre. A la maison c'est instantané, en club ... ben on ne rentre pas, l'observation se poursuivra. Pour que l'enfant puisse rentrer tout de suite, la présence d'un parent qui véhicule est requise à chaque fois. On revient bien sur le point crucial, l’investissement des parents pratiquement condition sine qua non.

 

@norma a bien marqué, je crois, ce point en écrivant "voire" devant "un club". L'idée d'une colonie de vacances à thème astro est une très bonne idée.

 

Ney

Posté (modifié)
Le 21/11/2021 à 20:15, SoniaB a dit :

On a déjà discuté de l'intrication des particules...

 

Je pense qu'il a bien 88 ans finalement ;) 

 

Il y a 8 heures, SoniaB a dit :

On verra. Là où il rejoint les autres enfants de 8 ans, c'est sur l'aspect visuel des livres, sur les illustrations dont il a encore beaucoup besoin.

 

Ouf tu nous rassures ce n'est pas un (petit ?) monstre :D

 

Une lecture adapté à son âge serait cet ouvrage que je recommande chaudement de 8 à 88 ans Copain du ciel | Nature & Découvertes (natureetdecouvertes.com)

 

image.png.bdc33c0b94b20fd841909da460bf840d.png

 

Modifié par LH44
Posté

Bonsoir Sonia,   :)

Bienvenue sur le forum astronomique (et astronautique) Webastro et bienvenue également à ton fiston âgé de huit ans (si ce n'est pas trop indiscret, pourrais-tu nous indiquer son prénom ?   :?:   ).

Ce que tu mentionnes sur les centres d'intérêt de ton fils de huit ans est extraordinaire vu son très jeune âge !… :o   :o   :o   Serait-il déjà un
surdoué de l'astronomie  ?   :?:

Une petite colle pour lui : prend un calendrier de La Poste pour 2022 (sache que je suis un postier retraité   ;)   ) et regarde ce qu'il y a de mentionné au-dessous du mois de février 2022 (à savoir le
comput de 2022) ; demande-lui alors à quoi correspondent selon lui ces mystérieuses données pour 2022 [Épacte : 27 ; Lettre dominicale B ; Cycle solaire 15 ; Nombre d'or : 9 : et enfin Indiction romaine 15] ?

 

s-l1600.jpg

 

S'il t'avoue ne point savoir ce dont il s'agit, eh bien indique-lui que la réponse est dans mon ancien sujet posté sur Webastro le 27 octobre 2011 intitulé Les chiffres mystérieux du calendrier 2011 [voir : https://www.webastro.net/forums/topic/71083-les-chiffres-myst%C3%A9rieux-du-calendrier-2011/ ].

 b08LSUHcJtlOhMV7RRi8N8GlbW8.jpg.6c01f08f

 

Roger le Cantalien.  :rolleyes:

5aac61d4c30e9_index.aspxtypeboutiqueid10

  • J'aime 3
Posté

Bonjour Roger et merci pour ton accueil !

 

Surdoué je ne pense pas mais passionné oui ^^ Du coup il (Erwan) préfère que je lui enregistre les clés de l'univers plutôt que scoobidoo.

Chouette ! encore une énigme :) ! J'avoue être intriguée aussi par ces données et je vais aller fouiller pour trouver les réponses.

 

Sonia

Je suis déçue, sur le calendrier que j'ai acheté, il n'y a pas ces indications.

 

A priori, avant d'aller chercher les réponses, 2 choses m'interpellent : 

- Cycle solaire 15 et Indiction romaine 15 : serait-ce la même chose mais en d'autres termes ?

- Nombre d'or : 9 : je croyais que le nombre d'or était un nombre de référence retrouvé dans tous les domaine (musique comprise) à valeur fixe...

 

Erwan n'est pas décidé ce matin, mais de mon côté je vais faire les recherches tout de suite !

Posté

Bonjour Pyrene

 

Merci pour ce quizz, nous irons y faire un tour sans aucun doute. De là à y participer... j'ai peur que ce soit un peu compliqué.

 

A bientôt !

Posté (modifié)
Il y a 9 heures, SoniaB a dit :

Cycle solaire 15 et Indiction romaine 15 : serait-ce la même chose mais en d'autres termes ?

 

Bonjour,

 

Comme @roger15 est peut-être parti faire de la varappe dans ses montagnes, je réponds pour lui :

 

Non non ! Chacune de ces notions est différente bien que faisant référence à des séquences répétitives, ici de 15 et 28 ans.

 

Il y a 9 heures, SoniaB a dit :

- Nombre d'or : 9 : je croyais que le nombre d'or était un nombre de référence retrouvé dans tous les domaine (musique comprise) à valeur fixe...

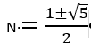
Ici il ne faut pas confondre Nombre d'or du calendrier avec la définition mathématique liée au pentagramme par exemple, et qui vaut exactement image.png.a3e7bea9a8c32b219329a499e07397a6.png  soit environ 1,618033988 .. et -0,618033988. Vous noterez que les premières séquences de décimales sont identiques. En réalité le nombre d'or mathématique est la seule valeur positive de la relation.

 

Ce nombre d'or a à voir avec un astronome grec du Vième siècle avant notre ère ... et je vous laisse découvrir la suite.

 

Ney

 

PS : Samedi soir prochain le 4 décembre, il y a soirée spéciale Qwizz. @Great gig in the sky en sera l'animateur, vous y êtes cordialement invitée.

 

Modifié par 22Ney44
Ajout du PS
Posté

Merci Mon Cher Ney, le Nantais, pour m'avoir suppléé à propos du Nombre d'or du calendrier grégorien.   :be:   :be:   :be:   En revanche, l'Indiction romaine n'a rien à voir avec l'astronomie, c'est simplement une suite de quinze années… Je suppose que c'était pour compliqué un peu plus les éléments du computafin de dissuader un peu plus ceux qui auraient voulu, lors du Moyen Age, tenter de percer les secrets du calendrier   ;)

Si en 2022 ces deux notions auront le même nombre (à savoir
15), en revanche pour l'année 2023 le
Nombre d'or sera égal à 10 et “l'Indiction romaine sera égale à 1. Voir pour toutes les années le lien Internet suivant : https://pgj.pagesperso-orange.fr/paques.htm .

Pour
Sonia : lors du quizz du samedi 4 décembre 2021 à 21 heures pour fêter les 18 ans de Webastro, il y aura forcément des questions assez faciles auxquelles le plus grand nombre sera capable de trouver la solution. Mais l'important sera surtout d'apprendre des choses en astronomie et en astronautique…   ;)

Roger le Cantalien.  :rolleyes:

5aac61d4c30e9_index.aspxtypeboutiqueid10

Posté

J'avoue ne pas avoir eu le temps encore de me pencher sur l'énigme du calendrier (Beaucoup d'innatendus dans ma journée). Merci pour vos explications concernant le nombre d'or, au début quand j'ai vu ce chiffre, je me suis sentie perdue, je revoyais toutes les fois où on peut rencontrer ce nombre (les pyramides, l'architecture en général, les mesures de distance, la suite de fibonacci, bach et sa musique ... etc). Je suis donc rassurée sur ce point ^^ .

 

Je serai là samedi, et peut-être Erwan. Je suis certaine que s'il venait à trouver une réponse il en serait trèèèès fier ! :) J'espère que certaines questions seront à sa portée. Mais comme vous l'avez si bien dit, c'est aussi l'occasion d'apprendre / de découvrir !

 

Sonia

  • 4 semaines plus tard...
Posté

Bonjour à tous et toutes,

 

Tout d'abord, Erwan et moi vous souhaitons de passer d'agréables fêtes de fin d'année.

 

Nous vous remercions pour tous vos conseils. Il a reçu le grand atlas d'astronomie. Les images sont splendides et dorénavent, il a décidé de l'utiliser pour les lectures du soir.

Actuellement, il monte un système solaire motorisé.

 

Merci encore, vous avez fait un heureux !! :)

Posté
il y a 10 minutes, SoniaB a dit :

Merci encore, vous avez fait un heureux !! 

Bonjour Sonia,

 

Heureux également d'avoir un peu contribuer et que Erwan puisse libérer son imaginaire.

 

Ney

 

 

Rejoignez la conversation !

Vous pouvez répondre maintenant et vous inscrire plus tard. Si vous avez un compte, connectez-vous pour poster avec votre compte.

Invité
Répondre à ce sujet…

×   Collé en tant que texte enrichi.   Coller en tant que texte brut à la place

  Seulement 75 émoticônes maximum sont autorisées.

×   Votre lien a été automatiquement intégré.   Afficher plutôt comme un lien

×   Votre contenu précédent a été rétabli.   Vider l’éditeur

×   Vous ne pouvez pas directement coller des images. Envoyez-les depuis votre ordinateur ou insérez-les depuis une URL.

  • En ligne récemment   0 membre est en ligne

    • Aucun utilisateur enregistré regarde cette page.
×
×
  • Créer...

Information importante

Nous avons placé des cookies sur votre appareil pour aider à améliorer ce site. Vous pouvez choisir d’ajuster vos paramètres de cookie, sinon nous supposerons que vous êtes d’accord pour continuer.