Aller au contenu

Messages recommandés

Posté

Danjon et Couder définissent 2 clartés ; pour les étoiles qui dépend du diamètre instrumental et pour les objets étendus qui ressemble à un coefficient d'assombrissement.

1 étant la clarté maxi pour un objet étendu : pupille de sortie valant 6mm.

  • Réponses 179
  • Créé
  • Dernière réponse

Les pipelettes du sujet

Les pipelettes du sujet

Images postées dans ce sujet

Posté (modifié)
Je rejoins Spock, et ce n'est pas la première fois que cette problématique revient sur le plateau.

 

Des définitions pas très claires sont sans doute à l'origine de l'incompréhension.

 

Comment cadrer tout ceci avec ce qui semble une évidence et qu'on ressasse à longueur de topics aux débutants: le diamètre!

 

"Un télescope est un entonnoir à photons"

 

Il semble logique qu'au plus grand est le diamètre, au plus de lumière l'oeil reçoit, et donc que l'objet observé paraît lumineux.

 

Patte.

 

Patte un télescpoe est bien entonnoir à photons!

 

Que fait-on de cette masse de photons récupérés?

Soit on "allume" plus : cas des étoiles qui restent ponctuelles qqsoit le G (jusqu'à Airy),

Soit on "étale" cette quantité de lumière pour rendre l'objet plus gros : cas des objets étendus.

 

Spock fais l'expérience du grossissement sous photoshop ; très simple une image d'un objet céleste que tu diminues. La luminosité reste identique et tu vois de moins en moins de choses... (ne tiens pas compte des étoiles, juste de l'objet étendu)

 

Amicalement, Vincent

 

Ps ; avoir la lumière nécessaire pour le grossissement ET en plus rendre l'objet plus lumineux (à pupille de sortie égale) ça ne serait plus un télescope mais un magiscope ;)

Modifié par Daube-sonne
Posté

Salut,

 

'Bruno, je rejoins aussi Spock et Patte.

 

Je suis tout-à-fait d'accord avec toi sur "un faible grossissement permet d'avoir plus de clarté sur les objets étendus, mais fait perdre en magnitude limite stellaire (sauf si le fond du ciel n'émet aucune lumière). ", je le constate à chaque observation.

Je suis OK aussi sur le pouvoir séparateur.

 

 

En revanche, il faudrait peut-être préciser plus le terme de "clarté" que tu définis. On a l'impression à te lire qu'à pupille de sortie égale, sur les objets étendus, un scope de 495 offre la même clarté qu'un de 200 ?:?:

Et les galaxies Messier sont aussi faibles au 495 qu'au 200 ? Donc là tu associes "clarté" et "brillance" ?

C'est contraire à la base de l'astro instrumentale, non ? En tous cas contraire à tout ce que j'ai pu lire jusqu'à présent ...

Sauf erreur, les J10X50 et la lunette courte 80X21 offrent une pupille de sortie pas trop éloignée, et je confirme assurément que les objets larges sont beaucoup plus lumineux (et plus détaillés) à la lunette qu'aux jumelles. Et cela est vrai aussi sur M51, c'est INCONTESTABLE.

Posté

Coucou !

 

Moi, je ne fais QUE constater une chose. Quand je regarde dans mon 235, puis dans un 400 puis dans un 150 :

- un même et unique objet

- avec un même grossissement

 

Et bien je ne vois pas DU TOUT le même objet. POINT BARRE. Et pour vous guider dans mon avis, ce n'est pas avec le 150 que je vois le mieux. Maintenant, vous direz tout ce que vous voudrez, faites simplement l'expérience et expliquez moi si vous n'êtes pas d'accord.

Posté (modifié)

BBBenj la dessus on est tous d'accord sans exception, on voit mieux dans un 400 que dans un 150 ! Ceci corrobore parfaitement ce que dit Daube-sonne depuis plusieurs posts maintenant :)

Modifié par jgricourt
Posté
Spock fais l'expérience du grossissement sous photoshop ; très simple une image d'un objet céleste que tu diminues. La luminosité reste identique et tu vois de moins en moins de choses... (ne tiens pas compte des étoiles, juste de l'objet étendu)

 

Je comprends ce que tu veut dire sauf que ce n'est pas ce que je constate en pratique NGC 891 m’apparait moins lumineux et la bande de poussière disparait avec le 200mm à 76X soit 2,6mm de sortie ,qu'au 350mm d'un autre astram à 200X par exemple (je ne sait pas le grossissement qui était employé mais c'était visiblement beaucoup plus grand avec la bande de poussiere clairement visible ),donc une pupille de sortie encore moins grande qu'au 200mm, donc d'aprés la théorie moins de clarté qu'au 200mm.

 

Je t'invite à faire l’expérience avec plusieurs télescopes crescendo au même moment sur cet objet dés que tu pourra .

 

Tu part du principe qu'avec une même pupille de sortie tout les instrument on la même clarté parce qu’il grossissent plus ,je n'arrive pas à constater ce fait en pratique .

 

Enfin bref il il y a surement quelque chose qui nous échappe à mon avis.

Posté
BBBenj la dessus on est tous d'accord sans exception, on voit mieux dans un 400 que dans un 150 ! Ceci corrobore parfaitement ce que dit Daube-sonne depuis plusieurs posts maintenant :)

 

Merci pour ton soutien!

Posté

En revanche, il faudrait peut-être préciser plus le terme de "clarté" que tu définis. On a l'impression à te lire qu'à pupille de sortie égale, sur les objets étendus, un scope de 495 offre la même clarté qu'un de 200 ?:?:

Et les galaxies Messier sont aussi faibles au 495 qu'au 200 ? Donc là tu associes "clarté" et "brillance" ?

 

Et bien je réponds pour Bruno : à pupille de sortie égale les objets étendus sont affectés par une même clarté ; ils subissent le même assombrissement. Donc pour un objet donné un 495 ne le montrera pas plus "lumineux" qu'un 200, ni même qu'à l'oeil nu !

 

Attention : un plus gros diamètre peut être dit fort justement "plus lumineux" qu'un petit mais ne montrera pas les objets plus lumineux : le surplus de lumière sert à montrer l'objet avec la même intensité sur une plus grande surface (objet plus gros).

 

Amicalement

Posté (modifié)
Je comprends ce que tu veut dire sauf que ce n'est pas ce que je constate en pratique NGC 891 m’apparait moins lumineux et la bande de poussière disparait avec le 200mm à 76X soit 2,6mm de sortie ,qu'au 350mm d'un autre astram à 200X par exemple (je ne sait pas le grossissement qui était employé mais c'était visiblement beaucoup plus grand avec la bande de poussiere clairement visible ),donc une pupille de sortie encore moins grande qu'au 200mm, donc d'aprés la théorie moins de clarté qu'au 200mm.

 

Comme je te l'ai dit la résolution de l'oeil by night n'est pas du tout la même qu'en plein jour.

La bande de poussière d'une galaxie est d'autant mieux vu qu'on peut grossir car son épaisseur n'est pas énorme.

Faut un gros diamètre pour que le G soit suffisant et que ton oeil perçoise le détail.

 

Ce qu'il faut comprendre c'est simple : le grossissement pour une même clarté (donc même pupille de sortie) est ce qui va nous permettre d'accéder aux détails et aux couleurs (pour objets étendus).

 

Vincent

Amicalement

Modifié par Daube-sonne
Posté
Et bien je réponds pour Bruno : à pupille de sortie égale les objets étendus sont affectés par une même clarté ; ils subissent le même assombrissement. Donc pour un objet donné un 495 ne le montrera pas plus "lumineux" qu'un 200, ni même qu'à l'oeil nu !

 

Attention : un plus gros diamètre peut être dit fort justement "plus lumineux" qu'un petit mais ne montrera pas les objets plus lumineux : le surplus de lumière sert à montrer l'objet avec la même intensité sur une plus grande surface (objet plus gros).

 

Amicalement

 

 

C'est la que ça manque de logique si tu dilue le gain de lumiere dans le grossissement ,alors les bras de M51 ne devrait pas plus etre visible dans le 495 que dans le 114mm ou qu'a l'oeil nu.

 

Enfin moi j’arrête la on pourrait continuer comme ça pendant des milliers d'années.

 

Longue vie et prospérité.;)

Posté

Coucou !

à pupille de sortie égale les objets étendus sont affectés par une même clarté

Sauf que, sauf le respect (et l'amitié) que je te dois, la pupille de sortie, on n'en a rien à braire !!

 

Et oui, ce qui nous intéresse, c'est ce que nous avons dans l'oculaire.

 

La Lune

Et oui, la Lune à 10x dans un 114, bon, c'est joli, ça claque bien et c'est sympa.

 

La Lune à 10x dans un 1000, c'est tout simplement inregardable tellement c'est lumineux. Voilà ce qui nous intéresse.

 

 

M51

Dans un 114, à 50x, tu distingues une vague tache lumineuse et c'est tout.

 

Dans un 1000, à 50x, ça déchire sa race ! (voyez comme je maîtrise le Jeune Première Langue, hein ?) On voit tout et même le reste. Les petits détails et tout. Et ne venez pas sur le terrain de la résolution. Non, on est presque obligé de mettre des lunettes de soleil pour ne pas être ébloui...

 

 

Alors, OK, sur le plan de la théorie, la pupille de sortie par ci, la pupille de sortie par là... Et patati et patata...

 

N'empêche que vous ne m'ôterez pas de la tête qu'il n'y a qu'une seule chose qui compte : ce qu'on a dans l'oculaire. Et à même 50x, mieux avoir un T1000 et mettre des filtres sinon on se crame la rétine que de regarder dans un 114.

 

Encore une fois, pas d'offense aux gentils possesseurs de 114 ! Je le fus et j'en garde des souvenirs... mitigés ! Mais c'était la faute à une monture chewing-gum et à des oculaires en bois massif.

Posté (modifié)

Souvent, les gens emploient le mot "luminosité" pour parler d'une notion de densité de brillance vue dans l'oculaire, ou quelque chose de ce genre. Ainsi, une nébuleuse assez brillante mais très étendue voit sa "densité de brillance" diminuer car son éclat se dilue sur une grande surface apparente.

 

Eh bien cette notion s'appelle la clarté. Elle n'est pas utilisé qu'en France puisque j'avais lu il y a quelques années un article sur la vision des bras spiraux de galaxies qui se reposait sur cette notion, et c'était sur un site américain (par contre, je ne l'ai pas dans mes favoris, c'est un site que quelqu'un avait indiqué dans une discussion... laquelle ?)

 

Résumons la théorie (Danjon et Couder).

 

(Je reviens, je n'arrive plus à retrouver les notes de lecture...)

 

Pendant ce temps, Spock, je t'invite à relire ce que j'avais écrit plus haut, parce que là, tu contestes une théorie qui n'existe pas. Personne n'a dit qu'on ne voit pas mieux les bras spiraux ou les bandes d'absorption avec un grand diamètre.

 

...

 

Me revoilà. Tout ce qui suit sont des citations extraites de Danjon et Couder, ou du moins de mes notes de lecture (mes commentaires étant entre crochets).

 

La clarté [d'un objet ponctuel] est le rapport entre le flux reçu et le flux émis. Si D est le diamètre de l'instrument et d le diamètre de la pupille, on a :

 

C = (D/d)² = g²

 

où g est le grossissement équipupillaire.

 

Observation visuelle des astres présentant une étendue sensible :

 

L'objet [étendu] qui émet le flux initial est grossi d'un facteur G, son aire est donc multipliée par G². Chaque unité de surface de la rétine reçoit donc un éclairement égal à l'éclairement initial multiplié par le rapport C/G² [on reçoit C fois plus de lumière, mais elle est diluée dans un espace G² fois plus grand]. C'est ce rapport qui définit la clarté dans le cas des astres d'étendue sensible [car la clarté continue d'être le rapport flux émis/flux reçu] :

 

Gamma = C/G² = (g/G)².

 

(Si G<g la formule cesse d'être valable.)

 

Gamma = 1 pour le grossissement équipupillaire, et elle est inférieure à 1 pour les grossissements supérieurs.

 

Lorsqu'on observe à fort grossissement une planète, la clarté diminue très vite. Les instruments de grand diamètre sont avantagés :

- à grossissement égal, ils possèdent une clarté plus grande ;

- à clarté égale, ils supportent des grossissements plus élevés.

 

Perception des objets peu lumineux :

 

Les objets peu lumineux sont vus plus nettement non pas en raison de leur clarté, qui est faible, mais par un effet du grossissement. En effet, la limite d'acuité visuelle est voisine de 1' pour des objets bien éclairés, mais s'élève à 12' au seuil de perception.

 

[Et elle est largement moins bonne en vision décalée. Essayez de lire ce texte du coin de l'oeil... Spock, j'espère que tu vois l'utilité de cette remarque (elle met en avant l'influence de la résolution, par exemple pour les bras spiraux ou les bandes d'absorption).]

 

Comparaison des clartés C et Gamma :

 

La clarté C [objets ponctuels] ne dépend que du diamètre de l'objectif tandis que Gamma [objets étendus] dépend de plus du grossissement. Cela est essentiel pour interpréter les résultats d'observation. Par exemple, l'observation d'une comète fait intervenir les deux notions :

- la chevelure est bien visible à faible grossissement (d'après Gamma) ;

- le noyau est mieux vu à grossissement élevé (car Gamma diminue tandis que C reste fixe : la chevelure s'éteint et le noyau se laisse voir).

C'est pourquoi le grossissement doit toujours être indiqué si on veut exploiter des observations.

 

[On aurait pu prendre l'exemple de M51. J'ai remarqué au 300 mm et au 495 mm que la structure spirale, dans son ensemble, est plus "brillante" à faible grossissement. Par exemple c'est seulement à faible grossissement que je vois le pont de matière qui lie M51 et sa voisine. Avec un grossissement moyen (entre D/2 et D) je vois mieux les détails des bras, par exemple les petites régions HII, mais les bras sont plus fins et il y a du noir entre eux - et non de la nébulosité comme à faible grossissement. Les petits détails jouent en effet le rôle d'objets ponctuels puisqu'étant faibles, leur résolution est moins bonne (v. remarque plus haut).]

 

-------------

Voilà, tout ça c'est la théorie. Et l'intérêt de la théorie, c'est de l'utiliser pour interpréter la pratique. Pour moi, les deux sont compatibles. Par exemple quand je relis mes notes d'observation, je constate qu'au 300 mm je vois presque toujours les noyaux des galaxies, pas au 200 mm. Et j'avais remarqué, au 495 mm, que la "texture nébuleuse" des galaxies n'est pas plus brillante au 495 mm qu'au 200 mm : mais bien sûr les galaxies sont plus lumineuses globalement et on voit des détails dessus.

Modifié par 'Bruno
Posté (modifié)

'Bruno le site américain dont tu parle ce ne serait pas celui ci par hasard:

 

http://www.clarkvision.com/visastro/index.html

 

Il a écrit un bouquin que je cherche désespérément ... :(

 

Sinon j'ai bien compris ton discours sur la clarté, tu donnes un nom à un rapport de deux grandeurs, le seul soucis c'est que même si intuitivement tout ça a un sens j'ai dû mal à raccrocher tes explications à la rigueurs des formules de la photométrie classique (bon je cherche de mon côté).

 

Ce que tu as expliqué illustré avec M51:

 

m51-mag-animate-txt.gif

 

© R. N. Clark

Modifié par jgricourt
Posté

Serge : j'ai surtout recopié Danjon et Couder !

 

Jgricourt : oui, je crois que c'est ce site, merci !!!! :) (Par contre, du coup je ne suis pas sûr qu'il parle de clarté. En fait c'était peut-être juste qu'on en parlait dans la discussion où quelqu'un m'avait donné le lien...)

Posté
Souvent' date=' les gens emploient le mot "luminosité" pour parler d'une notion de densité de brillance vue dans l'oculaire, ou quelque chose de ce genre. Ainsi, une nébuleuse assez brillante mais très étendue voit sa "densité de brillance" diminuer car son éclat se dilue sur une grande surface apparente.

 

Eh bien cette notion s'appelle la clarté. Elle n'est pas utilisé qu'en France puisque j'avais lu il y a quelques années un article sur la vision des bras spiraux de galaxies qui se reposait sur cette notion, et c'était sur un site américain (par contre, je ne l'ai pas dans mes favoris, c'est un site que quelqu'un avait indiqué dans une discussion... laquelle ?)

 

Résumons la théorie (Danjon et Couder).

 

(Je reviens, je n'arrive plus à retrouver les notes de lecture...)

 

Pendant ce temps, Spock, je t'invite à relire ce que j'avais écrit plus haut, parce que là, tu contestes une théorie qui n'existe pas. Personne n'a dit qu'on ne voit pas mieux les bras spiraux ou les bandes d'absorption avec un grand diamètre.

 

...

 

Me revoilà. Tout ce qui suit sont des citations extraites de Danjon et Couder, ou du moins de mes notes de lecture (mes commentaires étant entre crochets).

 

[i']La clarté [d'un objet ponctuel] est le rapport entre le flux reçu et le flux émis.[/i] Si D est le diamètre de l'instrument et d le diamètre de la pupille, on a :

 

C = (D/d)² = g²

 

où g est le grossissement équipupillaire.

 

Observation visuelle des astres présentant une étendue sensible :

 

L'objet [étendu] qui émet le flux initial est grossi d'un facteur G, son aire est donc multipliée par G². Chaque unité de surface de la rétine reçoit donc un éclairement égal à l'éclairement initial multiplié par le rapport C/G² [on reçoit C fois plus de lumière, mais elle est diluée dans un espace G² fois plus grand]. C'est ce rapport qui définit la clarté dans le cas des astres d'étendue sensible [car la clarté continue d'être le rapport flux émis/flux reçu] :

 

Gamma = C/G² = (g/G)².

 

(Si G<g la formule cesse d'être valable.)

 

Gamma = 1 pour le grossissement équipupillaire, et elle est inférieure à 1 pour les grossissements supérieurs.

 

Lorsqu'on observe à fort grossissement une planète, la clarté diminue très vite. Les instruments de grand diamètre sont avantagés :

- à grossissement égal, ils possèdent une clarté plus grande ;

- à clarté égale, ils supportent des grossissements plus élevés.

 

Perception des objets peu lumineux :

 

Les objets peu lumineux sont vus plus nettement non pas en raison de leur clarté, qui est faible, mais par un effet du grossissement. En effet, la limite d'acuité visuelle est voisine de 1' pour des objets bien éclairés, mais s'élève à 12' au seuil de perception.

 

[Et elle est largement moins bonne en vision décalée. Essayez de lire ce texte du coin de l'oeil... Spock, j'espère que tu vois l'utilité de cette remarque (elle met en avant l'influence de la résolution, par exemple pour les bras spiraux ou les bandes d'absorption).]

 

Comparaison des clartés C et Gamma :

 

La clarté C [objets ponctuels] ne dépend que du diamètre de l'objectif tandis que Gamma [objets étendus] dépend de plus du grossissement. Cela est essentiel pour interpréter les résultats d'observation. Par exemple, l'observation d'une comète fait intervenir les deux notions :

- la chevelure est bien visible à faible grossissement (d'après Gamma) ;

- le noyau est mieux vu à grossissement élevé (car Gamma diminue tandis que C reste fixe : la chevelure s'éteint et le noyau se laisse voir).

C'est pourquoi le grossissement doit toujours être indiqué si on veut exploiter des observations.

 

[On aurait pu prendre l'exemple de M51. J'ai remarqué au 300 mm et au 495 mm que la structure spirale, dans son ensemble, est plus "brillante" à faible grossissement. Par exemple c'est seulement à faible grossissement que je vois le pont de matière qui lie M51 et sa voisine. Avec un grossissement moyen (entre D/2 et D) je vois mieux les détails des bras, par exemple les petites régions HII, mais les bras sont plus fins et il y a du noir entre eux - et non de la nébulosité comme à faible grossissement. Les petits détails jouent en effet le rôle d'objets ponctuels puisqu'étant faibles, leur résolution est moins bonne (v. remarque plus haut).]

 

-------------

Voilà, tout ça c'est la théorie. Et l'intérêt de la théorie, c'est de l'utiliser pour interpréter la pratique. Pour moi, les deux sont compatibles. Par exemple quand je relis mes notes d'observation, je constate qu'au 300 mm je vois presque toujours les noyaux des galaxies, pas au 200 mm. Et j'avais remarqué, au 495 mm, que la "texture nébuleuse" des galaxies n'est pas plus brillante au 495 mm qu'au 200 mm : mais bien sûr les galaxies sont plus lumineuses globalement et on voit des détails dessus.

 

 

Tout-à-fait 'Bruno c'est de la théorie. Je ne la remets pas du tout en cause, en mon temps aussi je me suis intéressé aux maths et à la physique. Nos avis convergent dans le mot que tu utilises juste ci dessus, "globalement". Je voulais dire moi aussi que selon tout ce que j'ai pu lire sur des observations à gros diamètre ou faire à plus faible diamètre, c'est bien "globalement" qu'un objet apparaît plus lumineux dans un plus gros diamètre (à pupille de sortie égale). Sans passer par des formules, c'est juste un constat visuel subjectif.

Posté (modifié)
Tout-à-fait 'Bruno c'est de la théorie. Je ne la remets pas du tout en cause, en mon temps aussi je me suis intéressé aux maths et à la physique. Nos avis convergent dans le mot que tu utilises juste ci dessus, "globalement". Je voulais dire moi aussi que selon tout ce que j'ai pu lire sur des observations à gros diamètre ou faire à plus faible diamètre, c'est bien "globalement" qu'un objet apparaît plus lumineux dans un plus gros diamètre (à pupille de sortie égale). Sans passer par des formules, c'est juste un constat visuel subjectif.

 

Justement le bouquin évoqué plus haut tente d'expliquer objectivement ce que les observateurs constatent par eux même. Voir la notion de Optimum Magnified Visual Angle expliqué ici:

 

http://www.clarkvision.com/visastro/omva1/index.html

 

('Bruno l'étude réalisée par ce R.N Clark me donne justement ce lien avec la photométrie que je recherchais !)

 

 

PS: R.N Clark est ingénieur au JPL et a participé à la mise au point d’appareils de mesure optoelectronique sur les missions Cassini et Mars.

Modifié par jgricourt
Posté (modifié)

Bonsoir,

 

La luminosité globale n'a vraiment que peu d'intérêt pour nos observation, pour cette raison quand on parle de luminosité on comprend facilement qu'il s'agit de la luminosité par unité de surface.

 

Il est évident qu'une M31 remplissant tout l'oculaire donne à voir une image globalement plus lumineuse que cette même M31 petitoune perdu dans l'obscurité du champ d'une paire de jumelle (globalement noir donc).

Et ce, même si la pupille de sortie dans le gros télescope est plus petite à celle de la paire de jumelle. Bref quoi en dire de cette luminosité globale... pas grand chose pour améliorer sa pratique.

 

Et je ne parle pas du fond du ciel (objet étendu s'il en est) pour qui la notion de luminosité globale serait encore plus inappropriée ; le SQM donne lui dans la luminosité par unité de surface ! C'est bien cette valeur qui permet des comparaisons. La luminosité globale n'en permet aucune ! Un peu comme si pour annoncer la quantité d'eau de pluie tombée on mesurait des litres à la place de la hauteur en millimètres...

 

Revenons à la clarté, ce n'est pas la luminosité d'un objet mais un coefficient qui l'affecte. C'est donc là aussi un abus de langage de parler de la clarté d'un objet, mais ce n'est pas méchant on comprend ce que ça veut dire, comme on comprend que la luminosité doit s'entendre par unité de surface.

Dans le cas d'un objet étendu ce coefficient (clarté) est compris entre 0 (très très fort grossissement) et 1 (grossissement équipupilaire, le plus faible) ; ça veut bien dire qu'un objet étendu ne peut pas être plus lumineux dans un instrument qu'à l'œil nu. Au mieux en utilisant le grossissement qui donne 6mm de pupille de sortie il sera aussi lumineux.

 

Faut comprendre maintenant que si on en voit plus dans les gros scopes, ce n'est pas dû aux à priori (dont parle Serge) ; un gros diamètre montre l'objet plus brillant (qui est donc faux) mais au grossissement qui permet à l'œil en vision scotopique d'accéder aux détails.

 

Les objets peu lumineux sont vus plus nettement non pas en raison de leur clarté' date=' qui est faible, mais par un effet du grossissement. En effet, la limite d'acuité visuelle est voisine de 1' pour des objets bien éclairés, mais s'élève à 12' au seuil de perception.[/quote']

 

Ah ben j'avais bon pour les 12' de mémoire !

 

 

Amicalement, Vincent

Modifié par Daube-sonne
Posté
Coucou !

 

Sauf que, sauf le respect (et l'amitié) que je te dois, la pupille de sortie, on n'en a rien à braire !!

 

Et oui, ce qui nous intéresse, c'est ce que nous avons dans l'oculaire.

 

On est d'accord mais pour ça faut fixer des paramètres pour pouvoir comparer des instruments entre-eux.

 

Lis la suite tu vas comprendre.

 

La Lune

Et oui, la Lune à 10x dans un 114, bon, c'est joli, ça claque bien et c'est sympa.

 

La Lune à 10x dans un 1000, c'est tout simplement inregardable tellement c'est lumineux. Voilà ce qui nous intéresse.

 

Exemple super intéressant car justement tu as tellement rien à braire de la pupille de sortie que dans les deux cas tu dépasses les 6mm de la pupille de ton œil :cheesy:

Si bien que tu diaphragmes par ta pupille d'œil ces deux instruments ; ils deviennent précisément deux jolies lunettes de 60mm !

 

Ta Lune aura la même luminosité dans ces conditions (théorique parce que pour arriver à 10x sur un T1000 faut trouver l'oculaire...) avec les deux instruments.

 

Ce qu'il faut comprendre c'est qu'un objet étendu ne peut pas être plus intense en luminosité (par unité de surface) qu'à l'œil nu.

C'est le grossissement qui permet d'extraire les détails.

 

Un autre exemple quand tu dis x50 avec un T1000, tu as le sentiment que ça va te brûler la rétine tellement ça sera lumineux.

Et bien non car ton T1000 à ce grossissement devient un vulgaire 300mm.

Tu ne peux pas faire passer dans ton œil un faisceau plus large que 6mm, tu comprends pourquoi on parle de pupille de sortie c'est un paramètre important pour appréhender l'utilisation et l'exploitation d'un instrument.

A x50 un T1000 aura une pupille de sortie de 20mm ! Ça rentre pas et ta propre pupille ne laissera passer que 6mm des 20mm ; en gros elle ne verra que 300mm du miroir primaire de 1000mm.

 

Bon quand est ce qu'on se boit une mousse pour parler de pupilles dilatées ?:D

Posté
Justement le bouquin évoqué plus haut tente d'expliquer objectivement ce que les observateurs constatent par eux même. Voir la notion de Optimum Magnified Visual Angle expliqué ici:

 

http://www.clarkvision.com/visastro/omva1/index.html

 

('Bruno l'étude réalisée par ce R.N Clark me donne justement ce lien avec la photométrie que je recherchais !)

 

Très intéressant ton lien, je le lirai à tête reposée...

Posté
[Et elle est largement moins bonne en vision décalée. Essayez de lire ce texte du coin de l'oeil... Spock, j'espère que tu vois l'utilité de cette remarque (elle met en avant l'influence de la résolution, par exemple pour les bras spiraux ou les bandes d'absorption).]

 

Et bien justement ,on utilise la vision décalé sur les petit instrument parcequ'il n'y à pas assez de lumière ,si on passe à un instrument plus grand ,la vision décalé n'est plus nécessaire .

 

M31 à100X254 je perçoit 2 à 3 bandes de poussière encore mieux à 50X254

 

M31 à 50X 114 1 seule pourtant la clarté est censé être à peut prés la même en théorie et n'allez pas me dire que M31 n'est pas assez grande pour ne pas y voir ces bandes de poussières ,c'est du n'importenawak la.:confused:

 

 

Lorsqu'on observe à fort grossissement une planète, la clarté diminue très vite. Les instruments de grand diamètre sont avantagés :

- à grossissement égal, ils possèdent une clarté plus grande ;

- à clarté égale, ils supportent des grossissements plus élevés.

 

si je regarde M51 à 33X200

ensuite à 50X 300

c'est la même clarté pourtant dans le premier cas j'aurais du mal à apercevoir les bras dans le second plutôt facilement et je ne pense pas que la faible différence de grossissement y soi pour quelque chose.

 

pire selon Danjon et Couder si je grossis 100X au 300mm je perd de la lumière par rapport au 200 qui ne permettais déja pas de voir clairement les bras à 33X rappelons le et si je perd encore de la lumière mon acuité visuelle et censé diminuer ,manque de bol je vois encore mieux les bras spiraux,il y a un bleme .

 

Autre casse tête en réduisant le grossissement tu augmente la pupille de sortie certes tu dépasse 6mm tu diaphragme mais en contrepartie tu diminue encore le grossissement donc tu augmente la clarté puisque tu concentre la lumière de l'objet sur une surface plus petite ,donc au final ça compense (the big casse tête:be:)

Posté (modifié)

Ca y est j'ai réussi à démontrer de manière rigoureuse que M51 n'est pas plus lumineuse à l'oeil nu qu'au T1000 à pupille égale, ma nuit de sommeil à été fructueuse :)

 

Pour cela je suis parti d'une formule que j'avais redémontré il y a quelques temps ici même et qui permet de déterminer la magnitude de surface d'un objet étendu à partir de sa magnitude visuelle donnée dans n'importe quel bon bouquin d'astro. Cette formule s'écrit de la manière suivante:

 

gif.latex?\bg_white%20\begin{align}%20SB_a%20&=%20m_a%20+%202.5%20Log(\frac{\pi%20ab}{4})%20\notag%20\\%20SB_a%20&=%20m_a%20+%202.5%20Log(s_a)%20\notag%20\end{align}

 

 

a et b son les dimensions de l'objet exprimé en arcminute (ici une ellipse)

ma = la magnitude visuelle de l'objet

sa = surface dans le ciel de cet objet

SBa = la magnitude surfacique exprimée en mag/arsec2

 

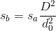
Aussi nous avons besoin d'une autre formule bien connue celle là (mais aussi facile à redémontrer) qui indique la différence de magnitude d'un même objet vu à l'oeil nu et au travers d'un instrument de plus gros diamètre:

 

gif.latex?\bg_white%20\begin{align}%20m_b%20&=%20m_a%20-%202.5%20Log(\frac{D^2}{d_0^2})%20\notag%20\end{align}

 

 

m_a = magnitude visuelle de l'objet à l'oeil nu de pupille d_0

m_b = magnitude visuelle du même objet au travers de l'instrument de diamètre D

 

Au passage ce que 'Bruno appel la clarté de l'instrument pas toujours très bien comprise, c'est en fait la partie D^2/d0^2 de l'équation !

 

gif.latex?\bg_white%20\begin{align}%20m_b%20&=%20m_a%20-5%20\;%20Log%20(\text{Clart%C3%A9})%20\notag%20\end{align}

 

Maintenant si on repart de la première formule pour calculer la magnitude surfacique de l'objet agrandi par l'instrument donc sa surface vaut:

 

gif.latex?\bg_white%20\begin{align}%20s_b%20&=%20s_a%20G^2%20\notag%20\\%20s_b%20&=%20s_a%20\frac{D^2%20}{d_0^2%20}%20\notag%20\end{align}

 

que l'on remplace dans le calcul précédent:

 

B)%20\notag%20\\%20SB_b%20&=%20m_b%20+%202.5%20Log(s_a%20\frac{D^2%20}{d_0^2%20})%20\notag%20\\%20SB_b%20&=%20m_b%20+%202.5%20Log(s_a)%20+%202.5%20Log(\frac{D^2%20}{d_0^2%20})%20\notag%20\end{align}' alt='cool.gif.0594534b6bbf7ef6d666cf9e8059bb38.gif' alt='B)'>%20\notag%20\\%20SB_b%20&=%20m_b%20+%202.5%20Log(s_a%20\frac{D^2%20}{d_0^2%20})%20\notag%20\\%20SB_b%20&=%20m_b%20+%202.5%20Log(s_a)%20+%202.5%20Log(\frac{D^2%20}{d_0^2%20})%20\notag%20\end{align}'>

 

Vous devinez la suite, on remplace ce qui lie mb à ma c'est à dire l'instrument:

 

gif.latex?\bg_white%20\begin{align}%20SB_b%20&=%20m_b%20+%202.5%20Log(s_a)%20+%202.5%20Log(\frac{D^2%20}{d_0^2})%20\notag%20\\%20SB_b%20&=%20m_a%20-%202.5%20Log(\frac{D^2}{d_0^2})%20+%202.5%20Log(s_a)%20+%202.5%20Log(\frac{D^2%20}{d_0^2})%20\notag%20\\%20SB_b%20&=%20m_a%20+%202.5%20Log(s_a)%20\notag%20\\%20SB_b%20&=%20SB_a%20\notag%20\end{align}

 

 

Conclusion à l'oeil nu ou au travers d'un instrument avec un grossissement équipupillaire la magnitude de surface d'un objet étendu est rigoureusement la même ! La physique à parlé maintenant l'expérience des uns et des autres peut être très différentes et pour aller plus loin dans l'étude il faut faire ce qu'à fait un certain R.N. Clark pour tenir compte aussi d'autres aspects dont je ne parlerai pas ici vu déjà la longueur peut être déjà imbuvable de mon post ;)

 

 

PS: évidement je précise que pour un objet ponctuel, autrement dit une étoile, la différence de magnitude est flagrante et sa valeur est donnée par la formule indiquée plus haut.

Modifié par jgricourt
Posté (modifié)
Autre casse tête en réduisant le grossissement tu augmente la pupille de sortie certes tu dépasse 6mm tu diaphragme mais en contrepartie tu diminue encore le grossissement donc tu augmente la clarté puisque tu concentre la lumière de l'objet sur une surface plus petite ,donc au final ça compense (the big casse tête:be:)

 

La formule donnée par Bruno est la première donnée par Danjon et Couder en effet elle peut laisser penser qu'on puisse dépasser 1 en clarté si on ne fait pas bien attention aux conditions d'utilisation de la formule.

 

Gamma = C/G² = (g/G)²

 

(Si G<g la formule cesse d'être valable.)

 

Écrite autrement on pourrait l'exprimer en fonction de la pupille de sortie effective PSe : càd celle vraiment vu par l'oeil et qui est donc limité à 6mm

 

Gamma = (PSe/6)² avec ici obligatoirement PSe< 6 mm

 

(formule non donnée par Danjon et Couder mais équivalente)

 

Enfin Danjon et Couder donne une deuxième formule qui ressemble du point de vue du sens à celle-là et concluent :

"la clarté pour les objets d'étendue sensible est égale à la fraction éclairée de la pupille de l'œil"

 

On comprend bien ici la fraction puisqu'on a un rapport, et comme il s'agit de surface ce rapport est au carré.

 

 

M31 à 50X 114 1 seule pourtant la clarté est censé être à peut prés la même en théorie et n'allez pas me dire que M31 n'est pas assez grande pour ne pas y voir ces bandes de poussières ,c'est du n'importenawak la.

 

Même constat que toi sur mon 127mm à D/2 je perçois 1 bande mais ne désespère pas déceler la deuxième sur un ciel exceptionnel car je la sens pas loin.

 

Ce que je veux te dire c'est qu'il faut essayer de parler en nuances ; tu as tendance (ce n'est pas un reproche c'est juste pour te signaler où se trouve la faille dans tes assertions) à caricaturer "je vois / je vois pas".

 

Avec mon 300mm au même G (x70) donc à D/4, elle a la même taille, elle bénéficie donc d'une meilleure clarté, la deuxième bande d'absorption est nettement perceptible.

Je ne dis pas que je la vois nettement ! Je dis que je la sens bien mieux.

 

Tout cela n'infirme pas la théorie.

 

 

Amicalement, Vincent

Modifié par Daube-sonne
Posté (modifié)
Avec mon 300mm au même G (x70) donc à D/4, elle a la même taille, elle bénéficie donc d'une meilleure clarté,

 

Je pense que c'est le "donc" qui n'est pas clair.

 

Là ici, je me dis oui d'ac logique: on voit mieux avec un gros.

Cependant - faudrait que je lise tout cela à mon aise, et seulement quand j'aurai atteint ma dose minimale de kawa nécessaire au fonctionnement neuronal - j'ai justement eu l'impression que c'est exactement ce que Mr Spock s'attend d'entendre dire, or que ce "donc" au long du fil menait à des conclusions différentes, style "elle bénéficie donc de la même clarté"

 

La différence après les deux doncs: "meilleure" et "même".

 

Pffffiou, à plus tard, ça ira mieux!

 

Patte.

Modifié par syncopatte
Posté (modifié)
Ca y est j'ai réussi à démontrer de manière rigoureuse que M51 n'est pas plus lumineuse à l'oeil nu qu'au T1000 à pupille égale, ma nuit de sommeil à été fructueuse :)

 

Ah ben bravo !

 

Voilà ce qui arrive aux astram quand ils ne peuvent pas observer, ils cogitent au lieu de dormir... C'est malin ;)

Modifié par Daube-sonne
Posté (modifié)
Je pense que c'est le "donc" qui n'est pas clair.

 

Là ici, je me dis oui d'ac logique: on voit mieux avec un gros.

Cependant - faudrait que je lise tout cela à mon aise, et quand j'aurai atteint ma dose minimale nécessaire au fonctionnement neuronal de Kawa - j'ai justement eu l'impression que c'est exactement ce que Mr Spock s'attend d'entendre dire, or que ce "donc" au long du fil menait à des conclusions différentes, style "elle bénéficie donc de la même clarté"

 

Pffffiou, à plus tard, ça ira mieux!

 

Patte.

 

Bien oui si on compare à G identique, l'objet étendu bénéficie d'une meilleure clarté (instrumentale j'ai envie de rajouter même si c'est un pléonasme) dans un plus gros diamètre.

A clarté identique, donc à pupille de sortie identique, l'objet étendu bénéficie d'un plus fort grossissement dans un plus gros diamètre.

 

Bon café patte, je vais m'en faire un deuxième tiens !

Modifié par Daube-sonne
Posté

Coucou !

 

Sincèrement, qui, quand il a l’œil dans son tuyau, dit qu'il est à Pupille ? Ou à Pupille/2 ? Ou même à 2xPupille ?

 

PERSONNE !!

 

Par contre, on parle tous de grossissement (ou indirectement de focale d'oculaire, ce qui revient strictement au même).

 

Conclusion :

M31 à x100 dans un 114, c'est pourri ET C'EST PEU LUMINEUX.

M31 à x100 dans un T1000, c'est extraordinaire et ça déborde de partout, ET C'EST TRÈS LUMINEUX.

 

Je vous trouve bien prise de tête avec votre diamètre équipupilaire alors que c'est une notion, certes importante, mais totalement inutilisée...

 

On a tous un certain diamètre, et on veut tous grossir idéalement pour voir l'objet. Beaucoup sur certaines NP, peu sur l'essentiel des galaxies, énormément sur les planètes. Et on fait avec les limites de notre engin. Du 2D ou approchant en règle générale. Soit du x230 sur un 114, du x470 sur mon C9, du x600 sur le dob de Daube-Sonne et ainsi de suite.

 

Et Orion, pour l'avoir en grand, on dépasse rarement le x60. Et x60 dans un 114, c'est joli mais peu détaillé, assez peu brillant (j'avais un 114, je m'en souviens...), dans un C9, on perçoit beaucoup plus de détails parce que DISTINCTEMENT on a plus de lumière. Dans le 400 de Moebius, on est presque obligé de sortir les filtres pour ne pas être ébloui.

 

Encore une fois, sincèrement, sur le terrain, qu'est-ce qui compte ? Hein ? Le grossissement...

Posté (modifié)
Coucou !

 

Sincèrement, qui, quand il a l’œil dans son tuyau, dit qu'il est à Pupille ? Ou à Pupille/2 ? Ou même à 2xPupille ?

 

PERSONNE !!

 

Euh moi je ne raisonne qu'en grossissement relatif (et suis obliger de convertir pour communiquer avec les autres...)

 

Le grossissement relatif c'est la même chose que la pupille de sortie, d'ailleurs je raisonne indistinctement aussi avec la pupille en mm.

 

L'intérêt ? Pouvoir simplement transposer ces découvertes ces observations à d'autres instruments.

Savoir à l'avance vers quels grossissements s'orienter, et éviter des écueils aussi ; l'été dernier, à Sirène, le gars voulait voir les dentelles à 1xD à l'OIII, évaluant en plus la transmission du 620mm foyer fixe (5 miroirs...), je savais qu'on ne verrait rien...

Les "à priori" nous amène à l'estimation inverse ; un 620mm ! L'OIII qui bouffe de la lumière sera largement à l'aise ; les dentelles vont m'éblouir...

 

Et qu'en je dis rien, c'est rien on ne les a pas vues du tout. A peine senties sans le filtre et encore.

A 1xD elles sont pourtant visibles (tout juste) dans un instrument avec une bonne transmission.

Mais ce n'est qu'à ~D/4 qu'elles pètent derrière un OIII et quelque soit l'instrument !

 

M31 à x100 dans un T1000, c'est extraordinaire et ça déborde de partout, ET C'EST TRÈS LUMINEUX

Pas plus que dans un 600mm à x100 (tu as encore diaphragmer ton T1000, tu ne l'aimes pas décidément :D ) ou dans un 114 à x19...

 

Amicalement, Vincent

Modifié par Daube-sonne

Rejoignez la conversation !

Vous pouvez répondre maintenant et vous inscrire plus tard. Si vous avez un compte, connectez-vous pour poster avec votre compte.

Invité
Répondre à ce sujet…

×   Collé en tant que texte enrichi.   Coller en tant que texte brut à la place

  Seulement 75 émoticônes maximum sont autorisées.

×   Votre lien a été automatiquement intégré.   Afficher plutôt comme un lien

×   Votre contenu précédent a été rétabli.   Vider l’éditeur

×   Vous ne pouvez pas directement coller des images. Envoyez-les depuis votre ordinateur ou insérez-les depuis une URL.

  • En ligne récemment   0 membre est en ligne

    • Aucun utilisateur enregistré regarde cette page.

×
×
  • Créer...

Information importante

Nous avons placé des cookies sur votre appareil pour aider à améliorer ce site. Vous pouvez choisir d’ajuster vos paramètres de cookie, sinon nous supposerons que vous êtes d’accord pour continuer.