Aller au contenu

Messages recommandés

Posté (modifié)

http://image-sensors-world.blogspot.com/2019/07/rumor-on-5-new-sony-full-frame-sensors.html

 

Je suis toujours interrogatif sur ces quads Bayer (comme l'IMX294 et peut-être ce nouveau capteur).

Mais après moults demandes et "tanneries", il semblerait que l'IMX 294 utilise  un vrai binning hard donc

obligatoirement lecture des 4 pixels  avant numérisation. Et le bruit de lecture annoncé s'applique

à un groupe de 4 pixels.

 

Là, pour l'IMX521, faut-il comprendre qu'il a deux modes de lecture différenciés ??

Quid du bruit de lecture ???  est-ce aussi avantageux que pour  l'IMX294 ??

Et au final à quoi ça sert de lire l'image en mode bin1x puisque elle ne se lira pas comme

une image couleur classique ??

 

Albéric

Modifié par xs_man
  • J'aime 1
Posté

Le mode HDR est bénéfique

Mon expérience sur les CMOS Gpixel est que le mode HDR 16 bits (qui est une combinaison speciale d'un étage haute sensibilité et d'un étage haute capacité) donne un meilleur bruit de lecture que l'étage haute sensibilité 12 bits seul) au prix d'une double lecture des amplis.

 

Sony a choisi une méthode un peu différente avec des pixels différents (temps d'exposition différent). Le IMX521 sera lisible en full 61Mpix et en HDR 15Mp. 

Le mode 61Mp devra effectivement avoir un algorithme spécifique de dématriçage mais les algos étant quand-même assez bons, je ne suis pas inquiet sur ce point

 

 

Pour répondre à COLMIC sur le 16 bits non utilisé dans l'APN mais disponible sur le capteur :  le traitement interne est en 16 bits mais la sauvegarde est en 14 bits (non compressé) et 12 bits compressé.

Les 16 bits ne servent pas vraiment à grand chose en sortie puisque le capteur n'a pas 16 bits de dynamique réelle.

 

 

 

  • J'aime 1
  • kiwi74 a épinglé ce sujet
Posté

Ce genre de précommandes commence à fleurir un peu partout, à tous les prix (j'ai vu 8000$ sur un autre site) !!!

Tant qu'on n'a pas un tarif indicatif provenant précisément de QHY ou de ZWO, ça veut pas dire grand chose...

Posté
Le 07/08/2019 à 08:45, kiwi74 a dit :

Sujet épinglé !!!

 

YESSSSSSSSSSSSS  !!!!

ENFIN CE POST ACCÈDE A L’IMMORTALITÉ DU FORUM !

 

Quel honneur ! :be::chuisundieu:

  • Comme je me gausse! 1
Posté
Le 23/08/2019 à 14:38, Colmic a dit :

Yes j'ai vu ça ce matin en me connectant sur leur FB

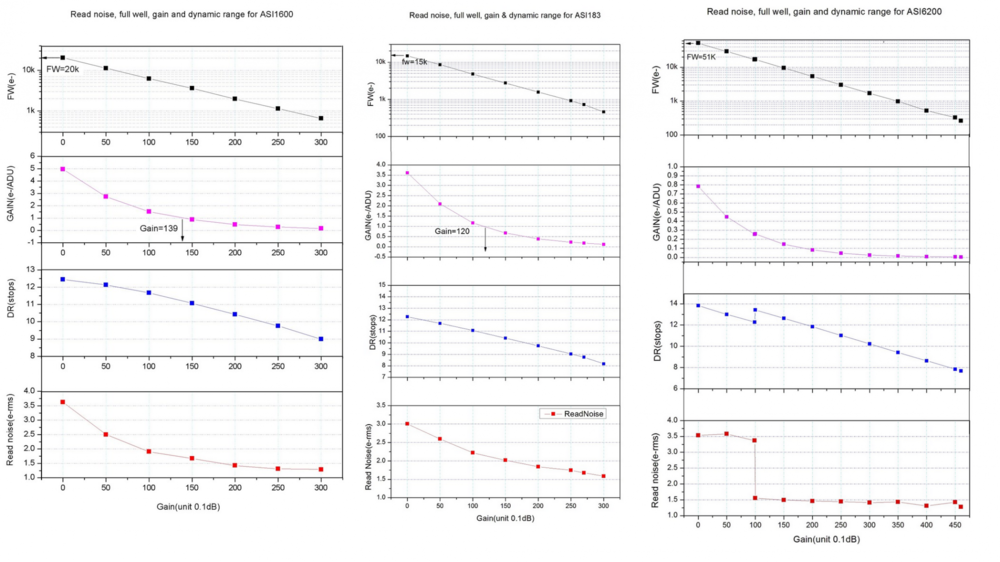
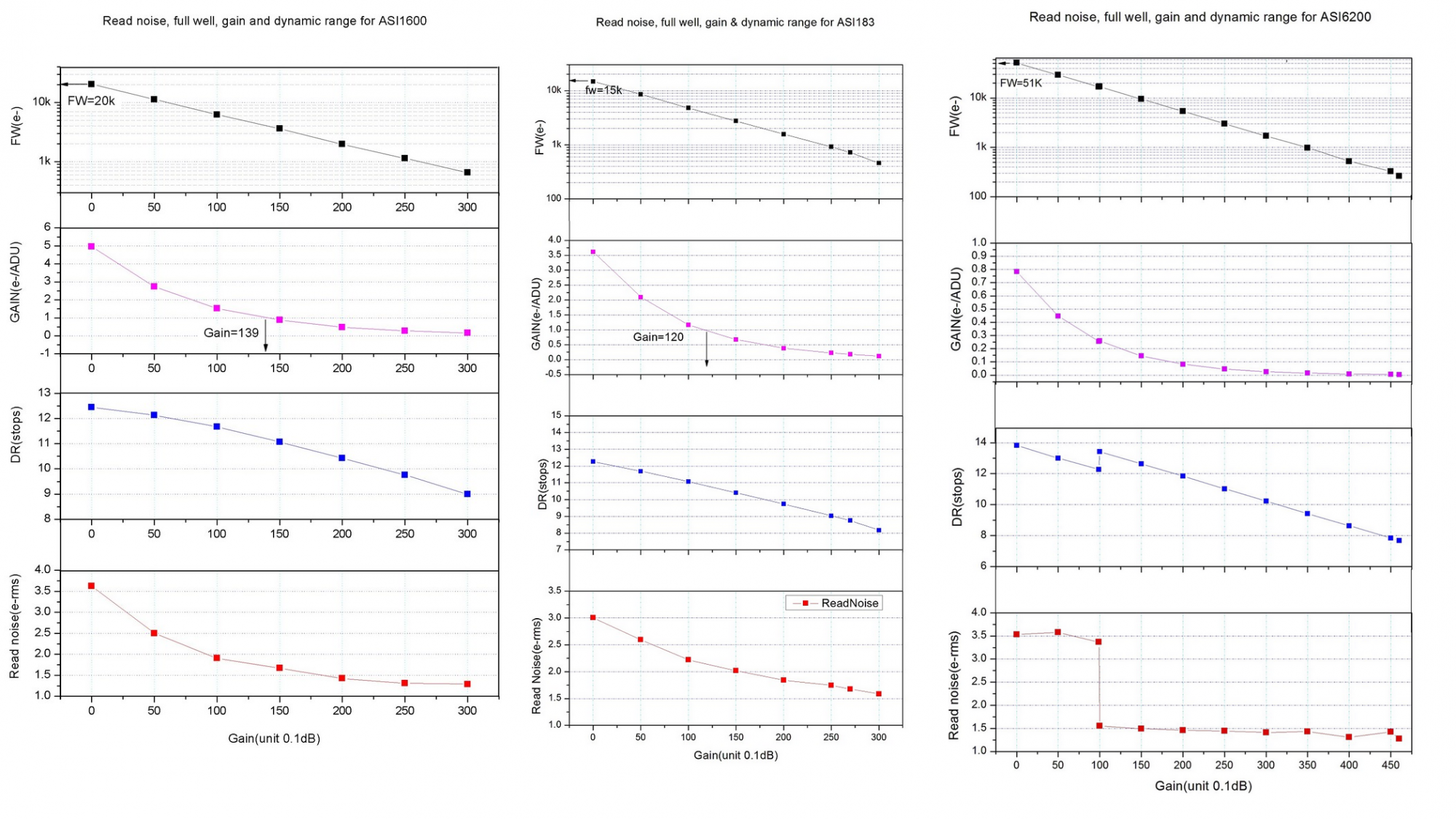
J'ai fait un comparatif des graphes avec ASI1600 et 183 :

image.thumb.png.650e1f8e03a516c76f65fcabf94e23b3.png

 

 

Dommage que l'on  n'ai pas aussi  les courbes de QE, c'est un paramètre crucial !

 

Albéric

Posté

Suffit de demander :

 

Depuis le facebook :

About QE of QHY600
Since sony has not release the absolutely QE curve. There is only a relativity QE curve (see attached image). We can only guess the QE value of it based on some information we gathered on the social media.One month before there is a post appears on the social media and indicate some absolutely QE of the new SONY SENSOR. It is :
IMX284 3.91um 24MP FSI QE52% FWC 32keIMX??? 3.96um 24MP BSI QE89% FWC 53keIMX??? 3.96um 54MP BSI QE89% FWC 54ke
From this data. The 3.96um pixel size is very close to the 3.76um pixel size of QHY600. If there is no great structure improvement for the IMX??? than IMX455, like the Stacked BSI technology, we should consider the QHY600 QE is similar with this sensor. Maybe a little less than it but should not too faraway.Also from the QE of QHY183M. It is 84% for 2.4um. So we have a guess that the QHY600 QE should between 84% to 89% and more close to 89%.

 

image.png.5acc3fc418d36b885cb70f6c70c8ff38.png

 

Attention, comme l'IMX183 et certains capteurs BSI de dernière génération, le QE est optimal dans le bleu et retombe un peu dans le halpha...

Ceci dit, si l'extrapolation de nos amis de QHY est exact, c'est quand même assez énorme !

  • J'aime 1
Posté

Hello,

 

Après comme les gens leur disent dans les commentaires, ils pourraient aussi le mesurer, le QE absolu..... mais bon ca a l'air prometteur tout ca (sauf le fullwell que j'attendais plus élevé, mais 20ke ca ira bien :) )

 

A+

Posté
Il y a 12 heures, Colmic a dit :

Suffit de demander :

...

 So we have a guess that the QHY600 QE should between 84% to 89% and more close to 89%.

...

Attention, comme l'IMX183 et certains capteurs BSI de dernière génération, le QE est optimal dans le bleu et retombe un peu dans le halpha...

Ceci dit, si l'extrapolation de nos amis de QHY est exact, c'est quand même assez énorme !

 

89% me parait pour le moins optimiste quand même !

Aller un bon 84% dans le vrai monde réel, ce sera déjà un beau score.

 

Avec un read noise de 1.5 e- pour des pixels de 3.75 microns, c'est vraiment top !

 

Albéric

 

 

  • J'aime 1
Posté
Il y a 3 heures, xs_man a dit :

89% me parait pour le moins optimiste quand même !

Aller un bon 84% dans le vrai monde réel, ce sera déjà un beau score.

 

Je suis d'accord avec ça, même 80% serait déjà excellent compte-tenu de la taille des pixels.

 

J'ai posté ceci hier sur le topic dédié à ce capteur sur le forum d'en face : http://www.astrosurf.com/topic/126302-nouvelles-caméras-asi-6200-et-qhy-600/

 

Citation

 

si je fais donc un comparatif rapide :

 

ASI1600 :

- gain unitaire 139 : 11.2 bits, Full Well 4000e-, RN 1.7e-

- gain 200 (ha) : 10.5 bits, FW 2000e-, RN 1.4e-

 

ASI183 :

- Gain unitaire 111 : 10.8 bits, FW 4000e-, RN 2.2e-

- Gain 270 (ha) : 8.8 bits, FW 700e-, RN 1.7e-

 

ASI6200 : on met le gain à 110/120 histoire d'être certain que l'ampli a bien déclenché, comme sur le A7S avec ses 2000 ISO.

- Gain ISOless 110 : 13.2 bits, FW 16000, RN 1.5e-

 

 

Il y a 5 heures, astro-sam a dit :

 (sauf le fullwell que j'attendais plus élevé, mais 20ke ca ira bien :) )

 

Si tu compares les FW de l'ASI1600 et de l'ASI183 à gain équivalent, ya quand même pas photo :)

Posté (modifié)

on a la courbe de bruit chez qhy aussi... 1.1e- en poussant un peu le gain ? pas mal :)

 

https://m.facebook.com/QHYCCD/photos/pcb.1876484202454854/1876481999121741/?type=3&source=49

 

Et pour un full well de 500e- ce qui reste somme toute correct.

 

Par contre c'est étrange, le gain n'est pas sur une échelle logarithmique comme habituellement... ce qui fait que toutes les valeurs "intéressantes" sont collées au bout...

 

Bon, je comptais pas acheter de full frame tout de suite, mais j'avoue ce capteur attire bien l'oeil... on fera difficilement mieux pour ce prix dans les 5 ans à venir à mon avis ;)

Modifié par Roch
Posté
Il y a 3 heures, Roch a dit :

Bon, je comptais pas acheter de full frame tout de suite, mais j'avoue ce capteur attire bien l'oeil... on fera difficilement mieux pour ce prix dans les 5 ans à venir à mon avis 

 

Je partage ton avis, pas la moindre version réduite de ce capteur en monochrome à l'horizon...

 

Après avoir économisé un bon moment, on aura peut-être à choisir entre la QHY600 et la QHY2020.

Du moins en poses courtes et si on veut  plus de champ qu'avec l'IMX 290.

 

Albéric

Posté (modifié)

Par contre au vu des photos des protos ,elles ne vont pas être légères les méméres !

QHYCCD a clairement pris le parti d'optimiser sa forme pour les SC hyperstar ou les

astrographes sans miroir secondaire.

 

Albéric

Modifié par xs_man
Posté
il y a une heure, xs_man a dit :

Par contre au vu des photos des protos ,elles ne vont pas être légères les méméres !

 

Le modèle long  de la camera sur la photo est equipé d'une carte avec une sortie des datas avec une double fibre optique en plus de l'USB3 (modèle pro).

Il existe le modèle court, uniquement USB3.

 

Elle sera pas bcp plus lourde qu'une ASI1600 (modèle non-pro), en gros dans les 600-700g.

Posté
Le 26/08/2019 à 23:08, xs_man a dit :

 

YESSSSSSSSSSSSS  !!!!

ENFIN CE POST ACCÈDE A L’IMMORTALITÉ DU FORUM !

 

Quel honneur ! :chuisundieu:

 

Faut bien rendre à Albéric ce qui appartient à César ! :be: 

 

Posté
Il y a 9 heures, Colmic a dit :

Elle sera pas bcp plus lourde qu'une ASI1600 (modèle non-pro), en gros dans les 600-700g.

 

Rien à voir avec une grosse CCD... Cool ! :)

Posté
Il y a 10 heures, Colmic a dit :

 

Le modèle long  de la camera sur la photo est equipé d'une carte avec une sortie des datas avec une double fibre optique en plus de l'USB3 (modèle pro).

Il existe le modèle court, uniquement USB3.

 

Elle sera pas bcp plus lourde qu'une ASI1600 (modèle non-pro), en gros dans les 600-700g.

 

OK !

Bon c'est rassurant !

 

Vu les images postées  par Thierry sur l'autre forum avec une ASI 1600, les images de  Lune entière à très haute

résolution vont progressivement devenir la norme ! Surtout en full-frame, avec des télescope de 300/400  en

peu de tuiles, on aura la Lune complète.   C'est le stockage et le traitement qui vont devenir scabreux !

 

Idem en imagerie solaire, j'attends avec impatience un disque solaire complet en très haute résolution avec

un gros scope !

 

Albéric

 

Posté
il y a 50 minutes, kiwi74 a dit :

 

Faut bien rendre à Albéric ce qui appartient à César ! :be: 

 

 

Je t'envoie le chèque sous pli discret, tu seras le seul au courant...   :be:

 

Albéric

Posté (modifié)

Une question que je me pose quand même, c'est s'il existe un correcteur de champ pour newton suffisamment bon pour supporter les 60mp et les pixels de 3.75 en bord de champ.

Quand je regarde les graphes du asa 3", qui pourtant fait référence, je ne suis pas très rassuré... :D surtout pour un gros diamètre, car ces correcteurs sont plutôt optimisés pour une focale autour de 1m, et pas 2...

 

Et que dire de la tolérance au tip/tilt...

bref pas simple ;)

Modifié par Roch
Posté
il y a 25 minutes, Roch a dit :

Une question que je me pose quand même, c'est s'il existe un correcteur de champ pour newton suffisamment bon pour supporter les 60mp et les pixels de 3.75 en bord de champ.

Quand je regarde les graphes du asa 3", qui pourtant fait référence, je ne suis pas très rassuré... :D surtout pour un gros diamètre, car ces correcteurs sont plutôt optimisés pour une focale autour de 1m, et pas 2...

 

Et que dire de la tolérance au tip/tilt...

bref pas simple ;)

 

Oui,  c'est le gros inconvénient, le tilt estdéjà un soucis sur la 294, alors un capteur full-frame !

 

Et lâcher 5000 € pour au final cropper en 4/3, c'est vraiment pas génial...

 

Albéric

 

 

Posté (modifié)
il y a 36 minutes, PIX-astro a dit :

Bande de chochotte ! 🤣

Personne n'a jamais fait un test avec un A7R à 42Mpix ?

 

Sinon vous me prêtez une caméra pour mon 500mm et son réducteur 4"...

 

On est peureux, on n'a que de petits capteurs pour le planétaire. :be:

Le full frame, c'est comme les  grands requin blanc pour nous, c'est effrayant !

 

Albéric

Modifié par xs_man
  • Comme je me gausse! 1
Posté (modifié)
Il y a 6 heures, Roch a dit :

Et que dire de la tolérance au tip/tilt...

Vi c'est certain va falloir s'appliquer. Sur mon RASA nativement (réglage usine) avec les pixels de 6,4 um du 6D, il y a un leger tilt (que j'ignore à ce stade) qui évidement avec des pixels presque 2 fois plus petit, ce verra 2 fois plus voir 4 fois si c'est lié à la surface du pixel. Et la faudra se lancer dans la collim du bouzin! Sur le post de Qiu pour la qhy600, il indique une tolérance de montage de 20 um. Et sur le RASA, il y un réglage au niveau du correcteur sur la lame et plus la bague de tilt sur la cam! faudra faire la procédure @olivdeso en testant différentes orientations de cam pour s'en sortir lol

Reste à trouver 5500€ pour voir si c'est facile ou pas!

Christophe

Modifié par chris277
  • J'aime 1

Rejoignez la conversation !

Vous pouvez répondre maintenant et vous inscrire plus tard. Si vous avez un compte, connectez-vous pour poster avec votre compte.

Invité
Répondre à ce sujet…

×   Collé en tant que texte enrichi.   Coller en tant que texte brut à la place

  Seulement 75 émoticônes maximum sont autorisées.

×   Votre lien a été automatiquement intégré.   Afficher plutôt comme un lien

×   Votre contenu précédent a été rétabli.   Vider l’éditeur

×   Vous ne pouvez pas directement coller des images. Envoyez-les depuis votre ordinateur ou insérez-les depuis une URL.

  • En ligne récemment   0 membre est en ligne

    • Aucun utilisateur enregistré regarde cette page.
×
×
  • Créer...

Information importante

Nous avons placé des cookies sur votre appareil pour aider à améliorer ce site. Vous pouvez choisir d’ajuster vos paramètres de cookie, sinon nous supposerons que vous êtes d’accord pour continuer.